Студопедия

КАТЕГОРИИ:


Архитектура-(3434)Астрономия-(809)Биология-(7483)Биотехнологии-(1457)Военное дело-(14632)Высокие технологии-(1363)География-(913)Геология-(1438)Государство-(451)Демография-(1065)Дом-(47672)Журналистика и СМИ-(912)Изобретательство-(14524)Иностранные языки-(4268)Информатика-(17799)Искусство-(1338)История-(13644)Компьютеры-(11121)Косметика-(55)Кулинария-(373)Культура-(8427)Лингвистика-(374)Литература-(1642)Маркетинг-(23702)Математика-(16968)Машиностроение-(1700)Медицина-(12668)Менеджмент-(24684)Механика-(15423)Науковедение-(506)Образование-(11852)Охрана труда-(3308)Педагогика-(5571)Полиграфия-(1312)Политика-(7869)Право-(5454)Приборостроение-(1369)Программирование-(2801)Производство-(97182)Промышленность-(8706)Психология-(18388)Религия-(3217)Связь-(10668)Сельское хозяйство-(299)Социология-(6455)Спорт-(42831)Строительство-(4793)Торговля-(5050)Транспорт-(2929)Туризм-(1568)Физика-(3942)Философия-(17015)Финансы-(26596)Химия-(22929)Экология-(12095)Экономика-(9961)Электроника-(8441)Электротехника-(4623)Энергетика-(12629)Юриспруденция-(1492)Ядерная техника-(1748)

Расчет погрешности измерений




Вывод рабочей формулы

На каплю действуют две силы (рис.10) mg - сила тяжести, F - сила поверхностного натяжения. Отрыв капли происходит,если F меньше или равно mg.

 

, откуда следует:

- для исследуемой жидкости,

- для воды,

 

где r- радиус капли в месте ее отрыва,

Vk - объем капли исследуемой жидкости,

- плотность исследуемой жидкости, Рис.10

Vk0 - объем капли воды.

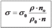
Разделив полученные выражения одно на другое, после сокращений,

имеем: , т.к. V =n0 Vk о=nVk, где Vk - объем одной капли, n, n0 - число капель исследуемой жидкости и воды соответственно. Получаем рабочую формулу:

 

Таблица для записи результатов измерений

 

Жидкость Число капель в 2 мл Δn Плотность, ρ σ σизм=σ ± Δσ Табл. знач.
      кг/м3 10-3Н/м 10-3Н/м 10-3Н/м
Вода                   73,0
n1,ср.= Δn1,ср.
Спирт этиловый                     22,3
n2,ср.= Δn2,ср.
                 

 

; ; ; ; ;

;

Выводы:_______________________________________________________________________________________________________________________________________________________________________________________________

 

 
 


Контрольные вопросы преподавателя:

1. Рассказать о свойствах поверхностного слоя жидкости

2. Какова причина возникновения дополнительной потенциальной энергии поверхностного слоя?

3. Дать определение коэффициента поверхностного натяжения жидкости.

4. Перечислить параметры, влияющие на величину поверхностного натяжения.

5. Вывести формулу Лапласа.

6. Что собой представляют капиллярные явления?

7. В чем отличия смачивающих и несмачивающих жидкостей?

8. Где в природе встречаются капиллярные явления?

9. Вывести формулу высоты подъема или опускания жидкости в капилляре.

10. Рассказать о методах измерения коэффициента поверхностного натяжения.

11. Дать определение поверхностно-активных веществ и привести примеры их использования

12.Для чего измеряют коэффициент поверхностного натяжения биологических жидкостей?

 

 




Поделиться с друзьями:


Дата добавления: 2015-06-26; Просмотров: 494; Нарушение авторских прав?; Мы поможем в написании вашей работы!


Нам важно ваше мнение! Был ли полезен опубликованный материал? Да | Нет



studopedia.su - Студопедия (2013 - 2026) год. Все материалы представленные на сайте исключительно с целью ознакомления читателями и не преследуют коммерческих целей или нарушение авторских прав! Последнее добавление




Генерация страницы за: 0.007 сек.