Студопедия

КАТЕГОРИИ:


Архитектура-(3434)Астрономия-(809)Биология-(7483)Биотехнологии-(1457)Военное дело-(14632)Высокие технологии-(1363)География-(913)Геология-(1438)Государство-(451)Демография-(1065)Дом-(47672)Журналистика и СМИ-(912)Изобретательство-(14524)Иностранные языки-(4268)Информатика-(17799)Искусство-(1338)История-(13644)Компьютеры-(11121)Косметика-(55)Кулинария-(373)Культура-(8427)Лингвистика-(374)Литература-(1642)Маркетинг-(23702)Математика-(16968)Машиностроение-(1700)Медицина-(12668)Менеджмент-(24684)Механика-(15423)Науковедение-(506)Образование-(11852)Охрана труда-(3308)Педагогика-(5571)Полиграфия-(1312)Политика-(7869)Право-(5454)Приборостроение-(1369)Программирование-(2801)Производство-(97182)Промышленность-(8706)Психология-(18388)Религия-(3217)Связь-(10668)Сельское хозяйство-(299)Социология-(6455)Спорт-(42831)Строительство-(4793)Торговля-(5050)Транспорт-(2929)Туризм-(1568)Физика-(3942)Философия-(17015)Финансы-(26596)Химия-(22929)Экология-(12095)Экономика-(9961)Электроника-(8441)Электротехника-(4623)Энергетика-(12629)Юриспруденция-(1492)Ядерная техника-(1748)

Показатели, характеризующие вариацию значений признака




36.

32.

31.

30.

29.

28.

27.

26.

25.

24.

23.

22.

21.

20.

19.

17.

16.

15.

14.

13.

12.

11.

10.

9.

8.

7.

5.

4.

1.

КВАНТОВАЯ ФИЗИКА - 2011

 

6.1. Спектр атома водорода. Правило отбора

6.2. Дуализм свойств микрочастиц. Соотношение неопределенностей Гейзенберга

6.3. Уравнения Шредингера (общие свойства)

6.4. Уравнение Шредингера (конкретные ситуации)

 

- - + -

 

 

2. На рисунке изображены стационарные орбиты атома водорода согласно модели Бора, а также условно изображены переходы электрона с одной стационарной орбиты на другую, сопровождающиеся излучением кванта энергии. В ультрафиолетовой области спектра эти переходы дают серию Лаймана, в видимой – серию Бальмера, в инфракрасной – серию Пашена.



Наибольшей частоте кванта в серии Лаймана соответствует переход

- -

- +

 

 

3. На рисунке изображены стационарные орбиты атома водорода согласно модели Бора, а также условно изображены переходы электрона с одной стационарной орбиты на другую, сопровождающиеся излучением кванта энергии. В ультрафиолетовой области спектра эти переходы дают серию Лаймана, в видимой – серию Бальмера, в инфракрасной – серию Пашена.



Наибольшей длине волны кванта в серии Лаймана соответствует переход

- -

+ -

 

 

+ - - - -

 

 

-

-

-

-

+

 

 

6. Закон сохранения момента импульса накладывает ограничения на возможные переходы электрона в атоме с одного уровня на другой (правило отбора). В энергетическом спектре атома водорода (рис.) запрещенным переходом является…

 

-4s – 3p -4f – 3d +3s – 2s -3p – 2s

 

 

- - +4d - 2s -

 

 

-

-

+

-

 

 

Если протон и нейтрон двигаются с одинаковыми скоростями, то отношения их длин волн де Бройля равно

-2 -½ -4 +1

 

 

+ -

- -

 

 

- -

- +

 

 

Длина волны де Бройля увеличится в два раза, если кинетическая энергия микрочастицы…

+уменьшится в 4 раза

-увеличится в 4 раза

-уменьшится в 2 раза

-увеличится в 2 раза

 

 

-

-

-

+

-

 

 

+ - - -

 

 

- - + -

 

 

-

-

-

+

 

 

-

-

-

+

 

 

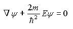
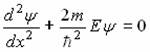
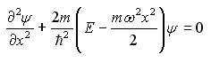
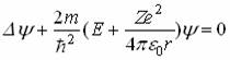
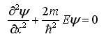
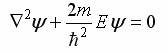
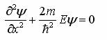
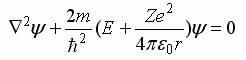
18. Стационарным уравнением Шредингера для линейного гармонического осциллятора является уравнение

-

-

+

-

 

 

-

-

-

+

 

 

-

+

-

-

 

 

-

-

+

 

 

- + - -

 

 

+ - - -

 

 

- + - -

 

 

- - - +

-

-

+

 

 

-

-

+

 

 

- -

+ -

 

 

-

-

+

-

 

 

+

-

-

-

 

 

- -

- +

 

 

- + - -

 

 

33. Волновая функция частицы в потенциальной яме с бесконечно высокими стенками шириной L имеет вид:

.

Величина импульса этой частицы в основном состоянии равна

- + - -

 

 

34. На рисунке приведены некоторые из возможных ориентации момента импульса для электронов в d-состоянии. Какие еще значения может принимать проекция момента импульса на направление Z внешнего магнитного поля?

- - + +

 

 

35. На рисунке приведена одна из возможных ориентации момента импульса электрона в р -состоянии. Какие еще значения может принимать проекция момента импульса на направление Z внешнего магнитного поля?

 

- - + +

 

 

- - - + -

 

 

Для анализа вариационных рядов используются три группы показателей:

- показатели центра распределения;

- показатели степени вариации;

- показатели формы распределения.

 

Показатели центра распределения

Для характеристики центра распределения в вариационном ряду применяются: среднее значение признака, медиана, мода.

 

Показатели степени вариации признака

Часто при описании статистических данных приходится оперировать понятием «однородность». Значимость однородности в статистическом анализе трудно переоценить, так как она напрямую влияет на точность рассчитываемых показателей и качество аналитических выводов. Чем однороднее данные, тем надежнее и адекватнее реалиям результаты статистического анализа.

Однородность – понятие относительное и растяжимое. Она не имеет точных границ и критериев. Под однородными данными следует понимать некоторый уровень их рассеяния, при котором рассчитываемые статистические показатели (средняя и проч.) будут давать надежную и качественную характеристику анализируемой совокупности.

Основным мерилом разброса (и однородности) данных являются показатели вариации: дисперсия σ2, среднеквадратическое отклонение σ, среднее линейное отклонение a. Однако все они не дают характеристики степени разброса данных. Для преодоления этой проблемы был придуман так называемый коэффициент вариации, который рассчитывается как соотношение стандартного отклонения и средней величины.

В статистике принято считать, что, если значение коэффициента менее 33%, то совокупность данных является однородной, если более 33%, то – неоднородной..

Для указанных данных коэффициент вариации составил 24%, то есть совокупность вроде как однородная получилась (менее 33%).

Теперь увеличим диапазон разброса до плюс/минус 80.

Чисто визуально отчетливо видно, что данные стали более рассеяны. Коэффициент вариации на этот раз составил 45%, следовательно, совокупность стала неоднородной.

Чем более однородны данные, тем ближе они находятся к среднему значению. Чем менее однородны, тем больше рассеяны и находятся дальше друг от друга и от своей средней.

Теперь посмотрим, как измеряется вариация, с помощью каких показателей и что они обозначают.




Поделиться с друзьями:


Дата добавления: 2015-06-04; Просмотров: 1007; Нарушение авторских прав?; Мы поможем в написании вашей работы!


Нам важно ваше мнение! Был ли полезен опубликованный материал? Да | Нет



studopedia.su - Студопедия (2013 - 2025) год. Все материалы представленные на сайте исключительно с целью ознакомления читателями и не преследуют коммерческих целей или нарушение авторских прав! Последнее добавление




Генерация страницы за: 0.01 сек.