Студопедия

КАТЕГОРИИ:


Архитектура-(3434)Астрономия-(809)Биология-(7483)Биотехнологии-(1457)Военное дело-(14632)Высокие технологии-(1363)География-(913)Геология-(1438)Государство-(451)Демография-(1065)Дом-(47672)Журналистика и СМИ-(912)Изобретательство-(14524)Иностранные языки-(4268)Информатика-(17799)Искусство-(1338)История-(13644)Компьютеры-(11121)Косметика-(55)Кулинария-(373)Культура-(8427)Лингвистика-(374)Литература-(1642)Маркетинг-(23702)Математика-(16968)Машиностроение-(1700)Медицина-(12668)Менеджмент-(24684)Механика-(15423)Науковедение-(506)Образование-(11852)Охрана труда-(3308)Педагогика-(5571)Полиграфия-(1312)Политика-(7869)Право-(5454)Приборостроение-(1369)Программирование-(2801)Производство-(97182)Промышленность-(8706)Психология-(18388)Религия-(3217)Связь-(10668)Сельское хозяйство-(299)Социология-(6455)Спорт-(42831)Строительство-(4793)Торговля-(5050)Транспорт-(2929)Туризм-(1568)Физика-(3942)Философия-(17015)Финансы-(26596)Химия-(22929)Экология-(12095)Экономика-(9961)Электроника-(8441)Электротехника-(4623)Энергетика-(12629)Юриспруденция-(1492)Ядерная техника-(1748)

Вопрос 4




Спроектировать параметрический стабилизатор напряжения с заданными параметрами.

Заданы В, мА, мА, В, В.

 

Рис. 6. Схема параметрического стабилизатора напряжения (а),

и его вольтамперная характеристика(б)

 

2.1 В соответствии с ТЗ выберем стабилитрон и выпишем его параметры: 2С518А при Iст.ном = 5мА

Uст=18 В, Iст.min доп=1мА, Iст. max доп=45мА, Ом

2.2 Определим из условия работы в рабочей зоне стабилитрона.

Где В,

,, мА. мА.

Ом.

Выбираем номинальное значение сопротивления из ряда Е48 Ом.

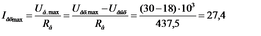
2.3 Рассчитаем максимальный ток через стабилитрон.

Где мА.

мА

Значение удовлетворяет условию .

2.4 Определим величину изменения выходного напряжения.

В.

2.5 Определим коэффициент нестабильности по напряжению.

%.

2.6 Вычислим мощность рассеивания на стабилитроне и на резисторе :

< Рдоп

Вт < 1Вт

Ом.

Выбираем резистор : МЛТ-0,5-130 Ом.

 




Поделиться с друзьями:


Дата добавления: 2015-06-04; Просмотров: 269; Нарушение авторских прав?; Мы поможем в написании вашей работы!


Нам важно ваше мнение! Был ли полезен опубликованный материал? Да | Нет



studopedia.su - Студопедия (2013 - 2026) год. Все материалы представленные на сайте исключительно с целью ознакомления читателями и не преследуют коммерческих целей или нарушение авторских прав! Последнее добавление




Генерация страницы за: 0.009 сек.