Студопедия

КАТЕГОРИИ:


Архитектура-(3434)Астрономия-(809)Биология-(7483)Биотехнологии-(1457)Военное дело-(14632)Высокие технологии-(1363)География-(913)Геология-(1438)Государство-(451)Демография-(1065)Дом-(47672)Журналистика и СМИ-(912)Изобретательство-(14524)Иностранные языки-(4268)Информатика-(17799)Искусство-(1338)История-(13644)Компьютеры-(11121)Косметика-(55)Кулинария-(373)Культура-(8427)Лингвистика-(374)Литература-(1642)Маркетинг-(23702)Математика-(16968)Машиностроение-(1700)Медицина-(12668)Менеджмент-(24684)Механика-(15423)Науковедение-(506)Образование-(11852)Охрана труда-(3308)Педагогика-(5571)Полиграфия-(1312)Политика-(7869)Право-(5454)Приборостроение-(1369)Программирование-(2801)Производство-(97182)Промышленность-(8706)Психология-(18388)Религия-(3217)Связь-(10668)Сельское хозяйство-(299)Социология-(6455)Спорт-(42831)Строительство-(4793)Торговля-(5050)Транспорт-(2929)Туризм-(1568)Физика-(3942)Философия-(17015)Финансы-(26596)Химия-(22929)Экология-(12095)Экономика-(9961)Электроника-(8441)Электротехника-(4623)Энергетика-(12629)Юриспруденция-(1492)Ядерная техника-(1748)

Тема: Основные понятия теории электромагнитного поля и основные магнитные величины 1 страница




Основные методы расчёта магнитных цепей.

Расчёт разветвлённой магнитной цепи с помощью электрической схемы замещения.

 

Сформируем для реальной магнитной цепи электрическую схему замещения.

 

 

1. Первый и второй законы Кирхгофа для магнитной цепи (аналитический метод).

2. Графическая реализация первого и второго законов Кирхгофа, МЭГ, М2У и т.д.

3. Использование формальной аналогии между магнитной и электрической цепью.

4. Однократный расчёт без применения магнитных характеристик.

 

Магнитное поле, во всех точках которого векторы магнитной индукции равны по величине и параллельны, называется …

    однородным
      равномерным
      стационарным
      соленоидальным

ЗАДАНИЕ N 12 сообщить об ошибке
Тема: Свойства ферромагнитных материалов. Определения, классификация, законы магнитных цепей


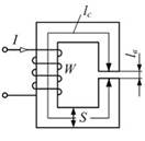
В изображенной магнитной цепи намагничивающая обмотка с числом витков плотно навита на кольцевой сердечник сечением из литой стали. Средняя длина сердечника Кольцо имеет разрез (воздушный зазор) При магнитодвижущая сила (МДС) катушки

     
       
       
       

Решение:
При по кривой намагничивания литой стали напряженность магнитного поля МДС намагничивающей обмотки

ЗАДАНИЕ N 1 сообщить об ошибке
Тема: Магнитные цепи с постоянными магнитными потоками

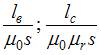
Сердечник электромагнитного устройства постоянного тока выполнен из электротехнической стали с заданной зависимостью . Если длина средней линии сердечника а площадь поперечного сечения S, то магнитное сопротивление сердечника равно …

   
     
     
     

 

Решение:
Магнитное сопротивление сердечника

ЗАДАНИЕ N 2 сообщить об ошибке
Тема: Магнитные цепи с переменными магнитными потоками


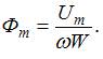
В идеализированной индуктивной катушке с ферромагнитым магнитопроводом при амплитуда магнитного потока равна …

   
     
     
     

 

Решение:
В идеализированной катушке
где − число витков в катушке.
Магнитный поток

Амплитуда магнитного потока

ЗАДАНИЕ N 3 сообщить об ошибке
Тема: Свойства ферромагнитных материалов. Определения, классификация, законы магнитных цепей


В изображенной магнитной цепи магнитодвижущая сила намагничивающей обмотки . При магнитное сопротивление цепи

   
     
     
     

ЗАДАНИЕ N 4 сообщить об ошибке
Тема: Основные понятия теории электромагнитного поля и основные магнитные величины

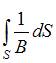
Магнитный поток Ф через площадь S равен …

   
     
     
     

 

Решение:
Магнитный поток Ф через площадь S равен где − скалярное произведение

ЗАДАНИЕ N 1 сообщить об ошибке
Тема: Магнитные цепи с постоянными магнитными потоками

Сердечник электромагнитного устройства постоянного тока выполнен из электротехнической стали с заданной зависимостью . Если длина средней линии сердечника а площадь поперечного сечения S, то магнитное сопротивление сердечника равно …

   
     
     
     

 

Решение:
Магнитное сопротивление сердечника

ЗАДАНИЕ N 2 сообщить об ошибке
Тема: Магнитные цепи с переменными магнитными потоками


В идеализированной индуктивной катушке с ферромагнитым магнитопроводом при амплитуда магнитного потока равна …

   
     
     
     

 

Решение:
В идеализированной катушке
где − число витков в катушке.
Магнитный поток

Амплитуда магнитного потока

ЗАДАНИЕ N 3 сообщить об ошибке
Тема: Свойства ферромагнитных материалов. Определения, классификация, законы магнитных цепей


В изображенной магнитной цепи магнитодвижущая сила намагничивающей обмотки . При магнитное сопротивление цепи

   
     
     
     

ЗАДАНИЕ N 4 сообщить об ошибке
Тема: Основные понятия теории электромагнитного поля и основные магнитные величины

Магнитный поток Ф через площадь S равен …

   
     
     
     

 

Решение:
Магнитный поток Ф через площадь S равен где − скалярное произведение векторов и .

ЗАДАНИЕ N 5 сообщить об ошибке
Тема: Магнитные цепи с постоянными магнитными потоками


В изображенной магнитной цепи магнитное сопротивление воздушного зазора магнитное сопротивление ферромагнитного участка

   
     
     
     

ЗАДАНИЕ N 6 сообщить об ошибке
Тема: Основные понятия теории электромагнитного поля и основные магнитные величины

Магнитной индукцией В является величина, измеряемая в …

    Тл
      Вб
      А/м
      А

 

Решение:
Магнитной индукцией В является величина, измеряемая в Тл.
В веберах (Вб) измеряется магнитный поток.
В А/м измеряется напряженность магнитного поля Н.
В А измеряется магнитный потенциал .

ЗАДАНИЕ N 7 сообщить об ошибке
Тема: Свойства ферромагнитных материалов. Определения, классификация, законы магнитных цепей

Неразветвленной однородной является магнитная цепь …

   
     
     
     

ЗАДАНИЕ N 8 сообщить об ошибке
Тема: Магнитные цепи с переменными магнитными потоками

Мощность, потребляемая идеализированной катушкой с ферромагнитным сердечником, затрачивается на покрытие …

    магнитных потерь в сердечнике от гистерезиса и вихревых токов
      электрических потерь в намагничивающей катушке
      магнитных потерь в сердечнике от гистерезиса
      магнитных потерь в сердечнике от вихревых токов

 

Решение:
Потребляемая идеализированной катушкой мощность затрачивается на покрытие магнитных потерь в сердечнике от гистерезиса и вихревых токов.

ЗАДАНИЕ N 11 сообщить об ошибке
Тема: Основные понятия теории электромагнитного поля и основные магнитные величины


При на расстоянии от оси бесконечно длинного круглого провода (см. рис.) величина напряженности магнитного поля

     
       
      157,6
      314,2

ЗАДАНИЕ N 12 сообщить об ошибке
Тема: Свойства ферромагнитных материалов. Определения, классификация, законы магнитных цепей

Магнитопроводы электромагнитных устройств не выполняют из …

    электротехнической меди
      низкоуглеродистой электротехнической стали
      листовой электротехнической (железокремнистой) стали
      железоникелевых сплавов (пермаллоев)

ЗАДАНИЕ N 13 сообщить об ошибке
Тема: Магнитные цепи с постоянными магнитными потоками


В изображенной магнитной цепи магнитное сопротивление воздушного зазора магнитное сопротивление ферромагнитного участка

   
     
     
     

ЗАДАНИЕ N 14 сообщить об ошибке
Тема: Магнитные цепи с переменными магнитными потоками


Вольт-амперная характеристика обмотки с магнитопроводом изображена под номером …

     
       
       
       

 

Решение:
Вольт-амперная характеристика обмотки с магнитопроводом изображена под номером 1.

ЗАДАНИЕ N 19 сообщить об ошибке
Тема: Магнитные цепи с постоянными магнитными потоками


В изображенной магнитной цепи при , длине воздушного зазора магнитное напряжение на воздушном зазоре

     
       
       
       

ЗАДАНИЕ N 20 сообщить об ошибке
Тема: Магнитные цепи с переменными магнитными потоками


В изображенной на рисунке схеме замещения обмотки с магнитопроводом ЭДС от потока в магнитопроводе учитывается с помощью элемента с сопротивлением …

   
     
     
     

 

Решение:
Элемент учитывает ЭДС от потока в магнитопроводе.

ЗАДАНИЕ N 21 сообщить об ошибке
Тема: Основные понятия теории электромагнитного поля и основные магнитные величины


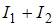
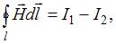
По закону полного тока

   
     
     
     

 

Решение:
По закону полного тока
где и − токи, пересекающие поверхность, охваченную контуром интегрирования l.

ЗАДАНИЕ N 22 сообщить об ошибке
Тема: Свойства ферромагнитных материалов. Определения, классификация, законы магнитных цепей


В изображенной магнитной цепи кольцевой сердечник сечением из литой стали имеет разрез (воздушный зазор) Средняя длина сердечника При магнитное напряжение на воздушном зазоре




Поделиться с друзьями:


Дата добавления: 2015-07-02; Просмотров: 893; Нарушение авторских прав?; Мы поможем в написании вашей работы!


Нам важно ваше мнение! Был ли полезен опубликованный материал? Да | Нет



studopedia.su - Студопедия (2013 - 2025) год. Все материалы представленные на сайте исключительно с целью ознакомления читателями и не преследуют коммерческих целей или нарушение авторских прав! Последнее добавление




Генерация страницы за: 0.01 сек.