Студопедия

КАТЕГОРИИ:


Архитектура-(3434)Астрономия-(809)Биология-(7483)Биотехнологии-(1457)Военное дело-(14632)Высокие технологии-(1363)География-(913)Геология-(1438)Государство-(451)Демография-(1065)Дом-(47672)Журналистика и СМИ-(912)Изобретательство-(14524)Иностранные языки-(4268)Информатика-(17799)Искусство-(1338)История-(13644)Компьютеры-(11121)Косметика-(55)Кулинария-(373)Культура-(8427)Лингвистика-(374)Литература-(1642)Маркетинг-(23702)Математика-(16968)Машиностроение-(1700)Медицина-(12668)Менеджмент-(24684)Механика-(15423)Науковедение-(506)Образование-(11852)Охрана труда-(3308)Педагогика-(5571)Полиграфия-(1312)Политика-(7869)Право-(5454)Приборостроение-(1369)Программирование-(2801)Производство-(97182)Промышленность-(8706)Психология-(18388)Религия-(3217)Связь-(10668)Сельское хозяйство-(299)Социология-(6455)Спорт-(42831)Строительство-(4793)Торговля-(5050)Транспорт-(2929)Туризм-(1568)Физика-(3942)Философия-(17015)Финансы-(26596)Химия-(22929)Экология-(12095)Экономика-(9961)Электроника-(8441)Электротехника-(4623)Энергетика-(12629)Юриспруденция-(1492)Ядерная техника-(1748)

Над установкой ТВЧ для удаления избытков тепла устанавливаем зонт




 

Исходные данные: a=1,6 м; b=4,2 м; h=1,8 м; d=0,30 м; tпов=827 оС; tв=21 оС; нормируемая скорость движения воздуха в помещении vв=0,4 м/с;

 

Расчёт:

 

· Количество теплоты поступающей с поверхности источника:

 

где, tпов,tв – температура нагретой поверхности и воздуха в помещении, оС

Fг,Fв – площади горизонтальных и вертикальных поверхностей источника, м2

Значение коэффициента n принимается в зависимости от tпов (т.к. tпов =827 оС – n=1,24)

 


· Размеры приёмного отверстия зонта над вытянутом (a/b<2) источником рекомендуется принимать следующими:

Осевая скорость в конвективном потоке на уровне всасывания, м/с:

i – высота расположения зонта над источником тепловыделений, м

 

 

 


· Расход, удаляемый через зонд, вычисляется по формуле при a/b>2:

Кп – коэффициент учитывающий геометрические и режимные особенности системы, источник – отсос, Кп =1;

Кт - коэффициент учитывающий токсичность вредных выделений от источника, т.к. источник выделяет только теплоту, то Кт =1;

КL - коэффициент учитывающий скорость движения воздуха в помещении вблизи приёмника, для данного случия a/b>2

 

 


L0 – расход воздуха в конвективном потоке, возникающем от нагретого источника в сечении приёмного отверстия отсоса, м3

a,b – характерные размеры,

Vв – подвижность воздуха вблизи источника теплоты, м/с

 


Над камерными эл/печами для удаления избытков тепла устанавливаем зонты – козырьки.

Исходные данные: рабочее отверстие b=0,8 м; h=0,4 м; tв=21 оС; температура в печи tг=927 оС

Расчёт:

· Во избежание чрезмерного окисления металла в печи, избыточное давление поддерживается равным 0. В этом случае избыточное давление на уровне верхней кромки будет равно:

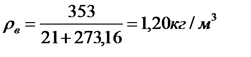
Рв, ρг, кг/м3- плотность окружающего воздуха и дымовых газов

Тогда величина среднего избыточного давления будет равна:


 

 



 

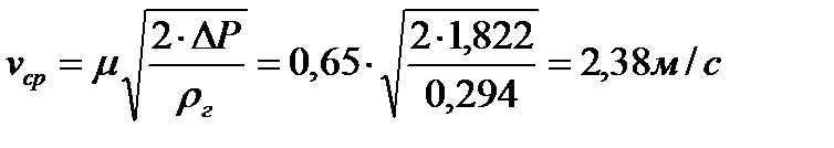
· Средняя скорость выхода газов из рабочего отверстия равна:

 


μ - коэффициент расхода рабочего отверстия (μ =0,65)

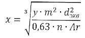
· Характерное расстояние x, на которое ось струи пересекает плоскость приёмного отверстия зонта определяется по формуле:




· Определяем вылет зонта-козырька:

 

 


· Определяем ширину зонта:

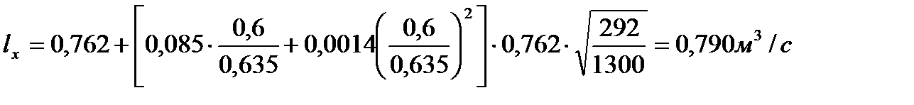
· Определяем объёмный расход газов выходящих из рабочего отверстия:

 

 


· Определяем расход смеси газов и воздуха в сечении приёмного отверстия зонта:

 

 


· Определяем расход воздуха удаляемого из помещений вместе с дымовыми газами:

· При искусственной вытяжке, температура газовоздушной смеси не должна превышать 80 оС, т.к. условие tсм<80 оС не выполняется, то определяют расход воздуха задаваясь требуемой температурой смеси:

 





Поделиться с друзьями:


Дата добавления: 2015-06-27; Просмотров: 737; Нарушение авторских прав?; Мы поможем в написании вашей работы!


Нам важно ваше мнение! Был ли полезен опубликованный материал? Да | Нет



studopedia.su - Студопедия (2013 - 2026) год. Все материалы представленные на сайте исключительно с целью ознакомления читателями и не преследуют коммерческих целей или нарушение авторских прав! Последнее добавление




Генерация страницы за: 0.011 сек.