Студопедия

КАТЕГОРИИ:


Архитектура-(3434)Астрономия-(809)Биология-(7483)Биотехнологии-(1457)Военное дело-(14632)Высокие технологии-(1363)География-(913)Геология-(1438)Государство-(451)Демография-(1065)Дом-(47672)Журналистика и СМИ-(912)Изобретательство-(14524)Иностранные языки-(4268)Информатика-(17799)Искусство-(1338)История-(13644)Компьютеры-(11121)Косметика-(55)Кулинария-(373)Культура-(8427)Лингвистика-(374)Литература-(1642)Маркетинг-(23702)Математика-(16968)Машиностроение-(1700)Медицина-(12668)Менеджмент-(24684)Механика-(15423)Науковедение-(506)Образование-(11852)Охрана труда-(3308)Педагогика-(5571)Полиграфия-(1312)Политика-(7869)Право-(5454)Приборостроение-(1369)Программирование-(2801)Производство-(97182)Промышленность-(8706)Психология-(18388)Религия-(3217)Связь-(10668)Сельское хозяйство-(299)Социология-(6455)Спорт-(42831)Строительство-(4793)Торговля-(5050)Транспорт-(2929)Туризм-(1568)Физика-(3942)Философия-(17015)Финансы-(26596)Химия-(22929)Экология-(12095)Экономика-(9961)Электроника-(8441)Электротехника-(4623)Энергетика-(12629)Юриспруденция-(1492)Ядерная техника-(1748)

Введение. Явление взаимной индукции является частным случаем открытого М




Явление взаимной индукции является частным случаем открытого М. Фарадеем (1831 г.) явления электромагнитной индукции, заключающегося в наведении электродвижущей силы в контуре при изменении потока вектора индукции магнитного поля B через площадь, ограниченную этим контуром. Наблюдать явление взаимной индукции можно с помощью двух контуров 1 и 2, отстоящих друг от друга на некотором расстоянии (рис. 2).

 

Рис. 2

 

Когда по одному из контуров (например, по контуру 1) протекает электрический ток I1, то в пространстве, окружающем этот ток, возбуждается магнитное поле. Индукция магнитного поля B в тех точках, где расположен контур 2, зависит от силы тока I1 и расстояния между контурами 1 и 2. Если линии индукции магнитного поля тока I1 пересекают площадь, ограниченную контуром 2, то такие контуры называются магнитосцепленными. Поток вектора B через поверхность магнитосцепленного контура 2 Φ2,1 = ∫BndS зависит от силы тока I1, протекающего в

S

контуре 1, и от площади и расположения контура 2 (под расположением контура 2 подразумевается не только расстояние между контурами 1 и 2, но и их пространственная ориентация). Теория и опыт показывают, что в неферромагнитных средах:

 

Φ2,1 = L2,1∙ I1 (1)

Коэффициент пропорциональности в равенстве (1) L2,1 называется коэффициентом взаимной индуктивности контуров. Он показывает, какой поток (выраженный в веберах) пронизывает данный контур при протекании в другом, магнитосцепленным с ним, контуре тока силой в 1 А. За единицу измерения коэффициента взаимной индуктивности в СИ принят генри (Гн). Взаимной индуктивностью в 1 Гн обладают такие два магнитосцепленных контура, которые отвечают следующему требованию: при протекании в одном контуре постоянного тока силой 1 А, поток вектора индукции возбужденного им магнитного поля через площадь, ограниченную вторым контуром, равен 1 Вб (1 Вб = 1 Тл∙м2).

Все приведенные выше рассуждения можно повторить для случая, когда в контуре 2 протекает ток I2, и показать, что поток вектора индукции магнитного поля тока I2 через площадь, ограниченную контуром 1, будет выражаться такой же зависимостью:

 

Φ1,2 = L1,2∙ I2 (1`)

 

Согласно теореме взаимности рассматриваемого явления и предположения, что контуры размещены в неферромагнитной среде с постоянной, не зависящей от силы тока магнитной проницаемостью μ≈1, следует, что:

 

L2,1 = L1,2

 

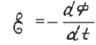
По закону Фарадея для электромагнитной индукции электродвижущая сила, которая наводится в контуре, прямо пропорциональна скорости изменения потока вектора индукции магнитного поля (в дальнейшем магнитного потока) через площадь поверхности, ограниченной контуром:

(2)

 

(знак “-“ соответствует правилу, установленному Х. Ленцом для этого явления).

 

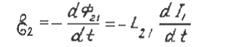
Одним из способов изменения магнитного потока Φ через площадь поверхности, ограниченной каким-либо из контуров, согласно (1) и (1`), является изменение силы тока в другом, магнитосцепленном с ним контуре. И тогда, если в контуре 1 произойдет изменение силы тока, то в контуре 2 будет наводиться электродвижущая сила, которая, согласно закону Фарадея (2), будет зависеть от скорости изменения тока I1:

 

(3)

 

Точно так же при изменении силы тока I2 в контуре 2 в контуре 1 будет наводиться электродвижущая сила:

 

(4)

 




Поделиться с друзьями:


Дата добавления: 2015-06-27; Просмотров: 313; Нарушение авторских прав?; Мы поможем в написании вашей работы!


Нам важно ваше мнение! Был ли полезен опубликованный материал? Да | Нет



studopedia.su - Студопедия (2013 - 2026) год. Все материалы представленные на сайте исключительно с целью ознакомления читателями и не преследуют коммерческих целей или нарушение авторских прав! Последнее добавление




Генерация страницы за: 0.01 сек.