Студопедия

КАТЕГОРИИ:


Архитектура-(3434)Астрономия-(809)Биология-(7483)Биотехнологии-(1457)Военное дело-(14632)Высокие технологии-(1363)География-(913)Геология-(1438)Государство-(451)Демография-(1065)Дом-(47672)Журналистика и СМИ-(912)Изобретательство-(14524)Иностранные языки-(4268)Информатика-(17799)Искусство-(1338)История-(13644)Компьютеры-(11121)Косметика-(55)Кулинария-(373)Культура-(8427)Лингвистика-(374)Литература-(1642)Маркетинг-(23702)Математика-(16968)Машиностроение-(1700)Медицина-(12668)Менеджмент-(24684)Механика-(15423)Науковедение-(506)Образование-(11852)Охрана труда-(3308)Педагогика-(5571)Полиграфия-(1312)Политика-(7869)Право-(5454)Приборостроение-(1369)Программирование-(2801)Производство-(97182)Промышленность-(8706)Психология-(18388)Религия-(3217)Связь-(10668)Сельское хозяйство-(299)Социология-(6455)Спорт-(42831)Строительство-(4793)Торговля-(5050)Транспорт-(2929)Туризм-(1568)Физика-(3942)Философия-(17015)Финансы-(26596)Химия-(22929)Экология-(12095)Экономика-(9961)Электроника-(8441)Электротехника-(4623)Энергетика-(12629)Юриспруденция-(1492)Ядерная техника-(1748)

Криптосистемы RSA реализуются как аппаратным, так и программным путем

Теперь разработчикам криптоалгоритмов с открытым ключом на базе RSA приходится избегать применения чисел длиной менее 200 десятичных разрядов. Самые последние публикации предлагают применять для этого числа длиной не менее 250-300 десятичных разрядов.

Один из наиболее быстрых алгоритмов, известных в настоящее время, алгоритм NFS (Number Field Sieve) может выполнить факторизацию большого числа N (с числом десятичных разрядов больше 120) за число шагов, оцениваемых величиной

CAB

3 1 2


 

Безопасность и быстродействие криптосистемы RSA

Безопасность алгоритма RSA базируется на трудности решения задачи факторизации (разложение на множители) больших чисел.

Криптостойкость алгоритма RSA определяется тем, что после формирования секретного ключа КВ2 и открытого ключа КВ1 "стираются" значения простых чисел Р и Q, и тогда исключительно трудно определить секретный ключ КВ2 по открытому ключу КВ1, поскольку для этого необходимо решить задачу нахождения делителей Р и Q модуля N.

Разложение величины N на простые множители Р и Q позволяет вычислить функцию и затем определить секретное значение КВ2, используя уравнение

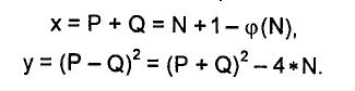
Другой способ криптоанализа алгоритма RSA – вычисление или подбор значения функции

Если установлено значение , то сомножители Р и Q вычисляются из системы

Зная , можно определить х, у; потом можно определить числа Р и Q из следующих соотношений:

Однако эта атака не проще задачи факторизации модуля N.

Задача факторизации является трудно разрешимой задачей для больших значений модуля N.

 

Сначала авторы алгоритма RSA предлагали для вычисления модуля N выбирать простые числа Р и Q случайным образом, по 50 десятичных разрядов каждое. Считалось, что такие большие числа N очень трудно разложить на простые множители. Один из авторов алгоритма RSA, Р. Райвест, полагал, что разложение на простые множители числа из почти 130 десятичных цифр, приведенного в их публикации, потребует более 40 квадриллионов лет машинного времени. Однако этот прогноз не оправдался из-за сравнительно быстрого прогресса компьютеров и их вычислительной мощности, а также улучшения алгоритмов факторизации.

 

 

 

В 1994 г. было факторизовано число со 129 десятичными цифрами. Это удалось осуществить математикам А. Ленстра и М. Ма-насси посредством организации распределенных вычислений на 1600 компьютерах, объединенных сетью, в течение восьми месяцев. По мнению А. Ленстра и М. Манасси, их работа компрометирует криптосистемы RSA и создает большую угрозу их дальнейшим применениям.

 

 

 

 

В сделана попытка расчета оценок безопасных длин ключей асимметричных криптосистем на ближайшие 20 лет исходя из прогноза развития компьютеров и их вычислительной мощности, а также возможного совершенствования алгоритмов факторизации. Эти оценки (табл.4.1) даны для трех групп пользователей (индивидуальных пользователей, корпораций и государственных организаций), в соответствии с различием требований к их информационной безопасности. Конечно, данные оценки следует рассматривать как сугубо приблизительные, как возможную тенденцию изменений безопасных длин ключей асимметричных криптосистем со временем.

Таблица. Оценки длин ключей для асимметричных криптосистем, бит

Год Отдельные пользователи Корпорации Государственные организации
       
       
       
       
       

 

 

Для аппаратной реализации операций зашифрования и расшифрования RSA разработаны специальные процессоры. Эти процессоры, реализованные на сверхбольших интегральных схемах (СБИС), позволяют выполнять операции RSA, связанные с возведением больших чисел в колоссально большую степень по модулю N, за относительно короткое время.

 

И все же аппаратная реализация RSA примерно в 1000 раз медленнее аппаратной реализации симметричного криптоалгоритма DES.

 

Одна из самых быстрых аппаратных реализаций RSA с модулем N=512 бит на сверхбольшой интегральной схеме имеет быстродействие 64 Кбит/с. Лучшими из серийно выпускаемых СБИС являются процессоры фирмы CYLINK, выполняющие 1024-битовое шифрование RSA.

 

<== предыдущая лекция | следующая лекция ==>
Действия пользователя В. 1) Расшифровывает принятую криптограмму c1, c2, | Перегрузка (переопределение) операций
Поделиться с друзьями:


Дата добавления: 2014-01-03; Просмотров: 331; Нарушение авторских прав?; Мы поможем в написании вашей работы!


Нам важно ваше мнение! Был ли полезен опубликованный материал? Да | Нет



studopedia.su - Студопедия (2013 - 2026) год. Все материалы представленные на сайте исключительно с целью ознакомления читателями и не преследуют коммерческих целей или нарушение авторских прав! Последнее добавление




Генерация страницы за: 0.011 сек.