Студопедия

КАТЕГОРИИ:


Архитектура-(3434)Астрономия-(809)Биология-(7483)Биотехнологии-(1457)Военное дело-(14632)Высокие технологии-(1363)География-(913)Геология-(1438)Государство-(451)Демография-(1065)Дом-(47672)Журналистика и СМИ-(912)Изобретательство-(14524)Иностранные языки-(4268)Информатика-(17799)Искусство-(1338)История-(13644)Компьютеры-(11121)Косметика-(55)Кулинария-(373)Культура-(8427)Лингвистика-(374)Литература-(1642)Маркетинг-(23702)Математика-(16968)Машиностроение-(1700)Медицина-(12668)Менеджмент-(24684)Механика-(15423)Науковедение-(506)Образование-(11852)Охрана труда-(3308)Педагогика-(5571)Полиграфия-(1312)Политика-(7869)Право-(5454)Приборостроение-(1369)Программирование-(2801)Производство-(97182)Промышленность-(8706)Психология-(18388)Религия-(3217)Связь-(10668)Сельское хозяйство-(299)Социология-(6455)Спорт-(42831)Строительство-(4793)Торговля-(5050)Транспорт-(2929)Туризм-(1568)Физика-(3942)Философия-(17015)Финансы-(26596)Химия-(22929)Экология-(12095)Экономика-(9961)Электроника-(8441)Электротехника-(4623)Энергетика-(12629)Юриспруденция-(1492)Ядерная техника-(1748)

Налоговая база. Единый социальный налог (взнос) зачисляется в государст­венные внебюджетные фонды:

Единый социальный налог

Единый социальный налог (взнос) зачисляется в государст­венные внебюджетные фонды:

- Пенсионный фонд РФ;

- Фонд социального страхования;

- фонды обязательного медицинского страхования РФ. Налог является средством реализации прав граждан на государственное пенсионное, социальное обеспечение и медицин­скую помощь.

Налогоплательщиками налога являются организации всех форм собственности, индивидуальные предприниматели и фи­зические лица.

Объектом налогообложения признаются выплаты и иные вознаграждения, начисляемые в пользу работников, за исклю­чением средств, остающихся в распоряжении организации, ин­дивидуального предпринимателя и физического лица после уп­латы налога на доходы организацией, индивидуальным пред­принимателем и физическим лицом.

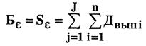
Налоговая база определяется как сумма любых выплат и вознаграждений в денежной и натуральной формах, исчисля­емых работодателем в пользу работников,

(3.32)

где J - количество работников в организации, на которых начисляются выплаты, j = 1... J;

n - количество любых выплат, из которых исчисляется на­лог j-му работнику, i=1...n;

Двып i - сумма i-го вознаграждения или выплаты, начисляе­мых j-му работнику.

Вместе с тем налоговым законодательством предусматрива­ется, что не подлежат налогообложению суммы доходов по 25 по­зициям и предоставляется около 10 льгот различным категори­ям налогоплательщиков по уплате налога, в частности, не подле­жат налогообложению государственные пособия, компенсацион­ные выплаты за питание, неиспользованный отпуск, возмеще­ние иных расходов, суммы страховых платежей и единой мате­риальной помощи, стоимость проезда работников и т. д.

<== предыдущая лекция | следующая лекция ==>
Исчисление налога. Налоговые ставки на подоходный налог с физических лиц устанавливаются в размере 13% на все виды доходов и 35% на доходы от выручки | Исчисление налога
Поделиться с друзьями:


Дата добавления: 2014-01-03; Просмотров: 324; Нарушение авторских прав?; Мы поможем в написании вашей работы!


Нам важно ваше мнение! Был ли полезен опубликованный материал? Да | Нет



studopedia.su - Студопедия (2013 - 2025) год. Все материалы представленные на сайте исключительно с целью ознакомления читателями и не преследуют коммерческих целей или нарушение авторских прав! Последнее добавление




Генерация страницы за: 0.01 сек.