Студопедия

КАТЕГОРИИ:


Архитектура-(3434)Астрономия-(809)Биология-(7483)Биотехнологии-(1457)Военное дело-(14632)Высокие технологии-(1363)География-(913)Геология-(1438)Государство-(451)Демография-(1065)Дом-(47672)Журналистика и СМИ-(912)Изобретательство-(14524)Иностранные языки-(4268)Информатика-(17799)Искусство-(1338)История-(13644)Компьютеры-(11121)Косметика-(55)Кулинария-(373)Культура-(8427)Лингвистика-(374)Литература-(1642)Маркетинг-(23702)Математика-(16968)Машиностроение-(1700)Медицина-(12668)Менеджмент-(24684)Механика-(15423)Науковедение-(506)Образование-(11852)Охрана труда-(3308)Педагогика-(5571)Полиграфия-(1312)Политика-(7869)Право-(5454)Приборостроение-(1369)Программирование-(2801)Производство-(97182)Промышленность-(8706)Психология-(18388)Религия-(3217)Связь-(10668)Сельское хозяйство-(299)Социология-(6455)Спорт-(42831)Строительство-(4793)Торговля-(5050)Транспорт-(2929)Туризм-(1568)Физика-(3942)Философия-(17015)Финансы-(26596)Химия-(22929)Экология-(12095)Экономика-(9961)Электроника-(8441)Электротехника-(4623)Энергетика-(12629)Юриспруденция-(1492)Ядерная техника-(1748)

Шкалирование по Гуттману




Многие из сложностей, связанных со шкалированием по Лайкерту, могут быть при определенных условиях преодолены посредством использования более сложной методики, известной под названием шкалирования по Гуттману. Эта методика исходит из допущения, что некоторые типы поведения (и отношений) связаны друг с другом так, что следование одним из них достигается с большим трудом, чем следование другим. По-видимому, самой лучшей аналогией тут может служить пример с человеком, стоящим на лестнице-стремянке. Если человек стоит на пятой по счету от земли перекладине, то, по всей видимости, он взобрался туда, ступая сначала на первую, потом на вторую, третью, четвертую перекладины. Возможно, но менее вероятно, что этот человек перескочил при движении вверх через одну (или более) перекладину. Совсем маловероятно, чтобы он мог без особого неудобства для себя встать на пятую перекладину, ступая прямо с земли. Таким образом, данный субъект достиг пятой перекладины, проделав целую серию все более высоко расположенных движений, и мы имеем полное основание [c.256] допустить, что для достижения более высокой позиции он преодолел нижние.

Точно так же если мы знаем, что некий индивид принял участие в голосовании на президентских выборах (что, как известно из многих исследований, является одним из самых обычных и наименее обязывающих политических действий), то мы не можем с какой-либо долей уверенности утверждать, что этот человек также активно участвует в деятельности какой-либо политической организации (намного более обязывающее и менее обычное действие) или что он баллотировался на какой-либо государственный пост (одно из самых редких политических действий). Однако с другой стороны, если мы знаем о данном индивиде, что он активно участвует в деятельности какой-либо политической организации, то мы можем с достаточной уверенностью утверждать, что он также участвует и в таком менее значительном политическом действии, как голосование на выборах (хотя не можем утверждать, что он сделал и следующий шаг, а именно баллотировался кандидатом на выборах). И далее, если данный индивид баллотировался в качестве кандидата на государственный пост, то у нас есть все основания полагать, что он также принимал участие в голосовании и в деятельности некоторой политической организации. На практике подобные допущения оказываются верными не всегда, но очень часто.

Некоторые отношения связаны друг с другом очень похожим образом. Это иллюстрирует табл. 8.2, в которой представлен один из альтернативных способов измерения степени предубежденности того или иного индивида против студентов 2. Процедура схожа с той, которая используется при шкалировании по Лайкерту, и состоит в том, что респондентов просят ответить, согласны они или нет с каждым пунктом (утверждением) из некоторой серии. Тому ответу, который в большей степени отражает измеряемое свойство (например, предубежденность), приписывается знак “+”, а альтернативным ответам – знак “–”. Так, к примеру, согласие с пунктом 1 будет оценено как “+” (наличие предубежденности). Тогда как несогласие с пунктом 2 получит оценку “–” (отсутствие предубежденности). Сами утверждения, как нетрудно видеть, связаны между собой таким образом, что различные ответы на них отражают степень предубежденности (или свободы от таковой) респондента. На деле, чем ближе “угроза” общения со студентами касается самого респондента или его семьи, тем ему, по-видимому, труднее освободиться от предубеждения. Это значит, что между пунктами шкалы существует, по меньшей мере в потенции, вполне логичное отношение порядка, отсутствующее в Лайкертовых шкалах.

===============================================================

Таблица 8.2

Типичные пункты шкалы Гуттмана

===============================================================

Укажите, пожалуйста, согласны Вы или не согласны с каждым из следующих утверждений:

1. Если бы мне было дано выбирать, я бы предпочел не видеть студентов в нашей округе.
2. Я не возражаю против появления студентов в нашей округе.
3. Я бы не возражал, если бы какие-нибудь студенты захотели поселиться у нас в округе.
4. Я бы не хотел, чтобы у нас в округе жили студенты.
5. Я ничего не имел бы против, если бы кто-то из нашей семьи привел к нам в гости студента.
6. Мне не понравилось бы, если бы кто-то из нашей семьи собрался сочетаться браком со студентом / студенткой.

--------------------------------------------------------------------------------------------------------------

Источник: В сокращенном виде приводится по кн.: Bogardus E. Social Distance. – Yellow Springs, Ohio: Antioch Press, 1959.

=================================================================

Более того, шкалирование по Гуттману обеспечивает не только адекватный способ вычисления степени признака, характерной для данного респондента, но и прежде всего способ оценки степени соответствия определенного набора компонентов допущению об их упорядочиваемости (assumption of ordinality). Эти способы могут быть проиллюстрированы с помощью табл. 8.3, где отображены ответы 170 гипотетических респондентов на утверждения, приведенные в табл. 8.2.

Некоторые детали этой таблицы нуждаются в пояснении. Начать с того, что пункты упорядочены в направлении слева направо в порядке возрастания числа полученныхими при ответах плюсов (+). Это число получается в результате подсчета числа (n) всех тех случаев, когда ответ на данный пункт получил оценку “+”. (В данной таблице эти числа, помеченные внизу каждого столбца, выбраны произвольным образом.) [c.258]

Основное допущение заключается в том, что число плюсов должно уменьшаться по мере возрастания трудности следования определенному типу поведения / отношения (или по мере возрастания его экстремальности). В данном примере результаты такого упорядочения совпадают с нашими ожиданиями в том смысле, что наблюдаемое упорядочение соответствует нашему изначальному упорядочению. Однако так бывает далеко не всегда.

Каждая строка таблицы представляет группу респондентов, давших на предложенные шесть пунктов вполне определенный набор ответов. Так, первая строка сверху представляет тех 10 респондентов (n =10), чьи ответы на все шесть вопросов свидетельствуют о наличии у них сильной предубежденности против студентов. Вторая строка сверху представляет тех 20 респондентов, чьи ответы указывают на наличие предубежденности по всем пунктам, кроме пункта 1, и т. д. Первые семь строк таблицы представляют те наборы ответов, которые полностью соответствуют допущению о [c.259] том, что данные шесть пунктов связаны между собой отношением порядка. Группы респондентов, для которых характерен любой из этих семи наборов ответов, называются типами идеальной шкалы (perfect scale types).

При шкалировании по Гуттману количество типов идеальной шкалы всегда на единицу больше числа пунктов данной шкалы, поскольку полное отсутствие измеряемого свойства (отсутствие предубежденности, как в строке 7) рассматривается как идеальная оценка (perfect score). Каждой идеальной оценке приписывается число от 1 до i +1, где i – количество пунктов (items) шкалы, причем 1 обозначает тех респондентов, которые в наименьшей степени обладают измеряемым свойством, а i +1 – тех из них, кто обладает им в наибольшей степени. Таким образом, каждому респонденту приписывается соответствующая оценка. Так, в нашем примере каждый из 10 респондентов строки 1 (чьи ответы отражают самую высокую степень предубежденности) получает оценку 7 (i +1 = 6+1 =7), каждый респондент из строки 2 – оценку 6 и т. д. до оценки 1, выставляемой каждому респонденту из строки 7. Эти оценки ранжируют (упорядочивают) всех респондентов соответственно степени их предубежденности против студентов.

Нам осталось объяснить строки 8, 9 и 10. Один или более ответов из этих строк не укладываются в предсказанный нами заранее порядок пунктов. На самом деле это ответы тех, кто, взбираясь по лестнице, перескочил через одну или более ступенек. О подобных наборах ответов принято говорить, что они содержат одну или более ошибок (errors). Термин “ошибка” обозначает здесь не оплошность респондента, а несоответствие данных случаев основному допущению шкалирования по Гуттману. Встречая подобные ошибки – а они вполне обычны, – мы вынуждены обратиться к следующей процедуре.

Прежде всего следует подсчитать, какое число изменений в строке минимально необходимо для того, чтобы получить идеальную оценку. К примеру, в строке 8 плюс в столбце 1 можно изменить на минус, в результате получим оценку 5; или, наоборот, изменив минус в столбце 2 на плюс, получим оценку 7. И в том, и в другом случаях мы внесли изменение [c.260] только в один пункт, поэтому мы можем сказать, что строка 8 содержит одну ошибку. Это обстоятельство отмечено в столбце под названием “Ошибка” – “Error” (e). Затем мы умножаем число ошибок (т.e. 1) на число случаев, в которых встретились данные ошибки (т.e. 30), и результат заносим в следующий столбец. И наконец, каждому случаю мы приписываем ту оценку шкалы, которую он получил бы, если бы не было ошибок (ошибки). Хотя в строке 8 всего одна ошибка, у нас имеется выбор из двух возможных исправлений – либо на оценку 5, либо на оценку 7. За исключением тех случаев, когда есть какое-то веское основание предпочесть одну из этих оценок другой, стандартная практика заключается в том, чтобы приписывать каждому из 30 респондентов ту или иную оценку шкалы (5 или 7) случайным образом.

Далее переходим к строке 9 и повторяем ту же процедуру. Здесь нам придется произвести минимум два изменения, обратив два минуса в плюсы. И опять мы отмечаем число ошибок, умножаем его на число случаев и приписываем каждому определенную оценку шкалы. Здесь, однако, возможна только одна оценка, поскольку возможен только один вариант внесения исправлений.

Затем эта же процедура повторяется для строки 10, равно как и для любых других наборов ответов, отклоняющихся от основного допущения шкалы.

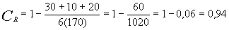
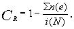
Работая со строками 8, 9 и 10, мы, конечно, приписывали оценки отдельным случаям (респондентам) так, как если бы они идеально укладывались в нашу шкалу, хотя нам известно, что это не соответствует действительности. Значит, в той мере, в какой мы полагаемся на оценки шкалы, характеризующие случаи из строк 8–10, мы рискуем прийти к ошибочным выводам. Встает вопрос, сколь велик этот риск. К счастью, шкалирование по Гуттману дает нам возможность ответить на него. Вспомним, что мы отмечали общее число ошибок в шкале. Оценка риска, по сути дела, требует, чтобы мы определили величину этой общей ошибки, т. e. оценили – то ли она относительно мала и потому пренебрежима, то ли настолько велика, что делает недействительной саму шкалу. Ответить на этот вопрос позволяет вычисление статистики, называемое коэффициентом воспроизводимости по Гуттману (the Guttman coefficient of reproducibility – СR) и определяемое по следующей формуле: [c.261]

где n - число случаев в строках, содержащих ошибки,
е - число ошибок в каждой строке,
i - число пунктов шкалы,
N - общее число случаев.

Подставив соответствующие значения, получим коэффициент воспроизводимости для нашего примера:

В данной формуле величина Σ n (e) обозначает общее число ошибок в шкале, тогда как величина i (N) обозначает общее число возможных ошибок, когда ни один из пунктов или респондентов не укладываются в шкалу. Таким образом, дробь говорит нам, какая доля всех возможных ошибок имела место в действительности. Вычитая эту долю ошибок из единицы, мы устанавливаем долю тех элементов (вхождений) шкалы, которые свободны от ошибок. Принято считать обоснованной любую шкалу Гуттмана с коэффициентом CR > 0,90 и выше; шкалы с более низким коэффициентом рассматриваются как сомнительные и обычно в аналитических целях не используются 3.

Таким образом, мы видим, что применительно к пунктам, поддающимся естественному упорядочению по степени трудности, шкалирование по Гуттману является сильным средством, с помощью которого мы можем объединять несколько показателей в единую суммарную величину, адекватно отображающую какое-то более общее свойство (признак) респондента. [c.262]




Поделиться с друзьями:


Дата добавления: 2014-01-03; Просмотров: 577; Нарушение авторских прав?; Мы поможем в написании вашей работы!


Нам важно ваше мнение! Был ли полезен опубликованный материал? Да | Нет



studopedia.su - Студопедия (2013 - 2026) год. Все материалы представленные на сайте исключительно с целью ознакомления читателями и не преследуют коммерческих целей или нарушение авторских прав! Последнее добавление




Генерация страницы за: 0.008 сек.