Студопедия

КАТЕГОРИИ:


Архитектура-(3434)Астрономия-(809)Биология-(7483)Биотехнологии-(1457)Военное дело-(14632)Высокие технологии-(1363)География-(913)Геология-(1438)Государство-(451)Демография-(1065)Дом-(47672)Журналистика и СМИ-(912)Изобретательство-(14524)Иностранные языки-(4268)Информатика-(17799)Искусство-(1338)История-(13644)Компьютеры-(11121)Косметика-(55)Кулинария-(373)Культура-(8427)Лингвистика-(374)Литература-(1642)Маркетинг-(23702)Математика-(16968)Машиностроение-(1700)Медицина-(12668)Менеджмент-(24684)Механика-(15423)Науковедение-(506)Образование-(11852)Охрана труда-(3308)Педагогика-(5571)Полиграфия-(1312)Политика-(7869)Право-(5454)Приборостроение-(1369)Программирование-(2801)Производство-(97182)Промышленность-(8706)Психология-(18388)Религия-(3217)Связь-(10668)Сельское хозяйство-(299)Социология-(6455)Спорт-(42831)Строительство-(4793)Торговля-(5050)Транспорт-(2929)Туризм-(1568)Физика-(3942)Философия-(17015)Финансы-(26596)Химия-(22929)Экология-(12095)Экономика-(9961)Электроника-(8441)Электротехника-(4623)Энергетика-(12629)Юриспруденция-(1492)Ядерная техника-(1748)

Масштабирование




Пример.

Решение.

Диапазон 0 – 10 В соответствует битам. Это вся шкала 0 – 10 В. Изменение в 1 бит соответствует или 10 мВ. Т.е. точность, с которой PLC распознает вход от термопары, есть ±5 мВ или ±10˚С.

АDC преобразование сопровождается потерей в разрешении, которая зависит от числа битов.

8-ми битовый байт представляет Integer в пределе 0 – 255. Если измеряемый сигнал с датчика (например, расхода) лежит в пределах 0–1800 л/мин, один бит представляет примерно 7 л/мин (1800/255). Это означает, что расход 138 л/мин не может обрабатываться 8-ми битовой системой, (от 134 л/мин она перепрыгнет к 141 л/мин).

Эти вычисления должны быть закончены в пределах интервала дискретизации 1/fs, чтобы обеспечить работу в реальном масштабе времени. В этом примере частота дискретизации равна 10 кГц, поэтому для обработки достаточно 100 мкс, если не требуется производить существенных дополнительных вычислений.

Аналоговые величины могут быть преобразованы в физические величины, например, инженерные единицы (EU), такие как 0С, использованием функции или блока линеаризации.

Как преобразовать входной аналоговый сигнал в инженерные единицы?

Пусть мы имеем 4-20мА сигнал от температурного преобразователя с диапазоном 800 – 1500 0С. Он подсоединяется через 250 Ом резистор к аналоговому модулю с 0 – 10В пределами. Аналоговый модуль даёт 12 бит разрешение, читая от 0 до 4095. Аналоговый сигнал температуры во входном модуле будет от 1 до 5В:

(4*10-3 А*250 Ом=1000*10-3 =1В) и даёт для числа от 410 до 2048. Рассмотрим график:

Рис. 2 Преобразование входного аналогового сигнала в инженерные единицы

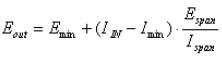
Диапазон инженерных единиц: 800 – 1500 – это характеристика датчика

Еspan = 700 - полная шкала инжеренерных единиц

Ispan = (2048 - 410) =1638 - полный диапазон аналогового входа. Если входной сигнал на входе модуля IIN , Imin минимальный сигнал на входном модуле (410)

Е min - минимальный входной сигнал в инженерных единицах (800)

Наклон м.б. рассчитан , это постоянная величина.




Поделиться с друзьями:


Дата добавления: 2014-01-03; Просмотров: 1771; Нарушение авторских прав?; Мы поможем в написании вашей работы!


Нам важно ваше мнение! Был ли полезен опубликованный материал? Да | Нет



studopedia.su - Студопедия (2013 - 2025) год. Все материалы представленные на сайте исключительно с целью ознакомления читателями и не преследуют коммерческих целей или нарушение авторских прав! Последнее добавление




Генерация страницы за: 0.011 сек.