Студопедия

КАТЕГОРИИ:


Архитектура-(3434)Астрономия-(809)Биология-(7483)Биотехнологии-(1457)Военное дело-(14632)Высокие технологии-(1363)География-(913)Геология-(1438)Государство-(451)Демография-(1065)Дом-(47672)Журналистика и СМИ-(912)Изобретательство-(14524)Иностранные языки-(4268)Информатика-(17799)Искусство-(1338)История-(13644)Компьютеры-(11121)Косметика-(55)Кулинария-(373)Культура-(8427)Лингвистика-(374)Литература-(1642)Маркетинг-(23702)Математика-(16968)Машиностроение-(1700)Медицина-(12668)Менеджмент-(24684)Механика-(15423)Науковедение-(506)Образование-(11852)Охрана труда-(3308)Педагогика-(5571)Полиграфия-(1312)Политика-(7869)Право-(5454)Приборостроение-(1369)Программирование-(2801)Производство-(97182)Промышленность-(8706)Психология-(18388)Религия-(3217)Связь-(10668)Сельское хозяйство-(299)Социология-(6455)Спорт-(42831)Строительство-(4793)Торговля-(5050)Транспорт-(2929)Туризм-(1568)Физика-(3942)Философия-(17015)Финансы-(26596)Химия-(22929)Экология-(12095)Экономика-(9961)Электроника-(8441)Электротехника-(4623)Энергетика-(12629)Юриспруденция-(1492)Ядерная техника-(1748)

Тема 4. Статистическое наблюдение

Структурные средние величины (мода и медиана)

Для определения структуры совокупности используют особые средние показатели, к которым относятся медиана и мода или так называемые структурные средние. Если средняя арифметическая рассчитывается на основе использования всех вариантов значений признака, то медиана и мода характеризуют величину того варианта, который занимает определенное среднее положение в ранжированном вариационном ряду

Мода — наиболее типичное, чаще всего встречаемое значение признака. Для дискретного ряда модой будет являться вариант с наибольшей частотой. Для определения моды интервального ряда сначала определяют модальный интервал (интервал, имеющий наибольшую частоту). Затем в пределах этого интервала находят то значение признака, которое может являться модой.

Чтобы найти конкретное значение моды интервального ряда, необходимо использовать формулу (3.2)

. (3.2)

где ХМо - нижняя граница модального интервала; iМо - величина модального интервала; fМо - частота модального интервала; fМо-1 - частота интервала, предшествующего модальному; fМо+1 - частота интервала, следующего за модальным.

Мода имеет широкое распространение в маркетинговой деятельности при изучении покупательского спроса, особенно при определении пользующихся наибольшим спросом размеров одежды и обуви, при регулировании ценовой политики.

Медиана — значение варьирующего признака, приходящееся на середину ранжированной совокупности. Для ранжированного ряда с нечетным числом индивидуальных величин (например, 1, 2, 3, 6, 7, 9, 10) медианой будет величина, которая расположена в центре ряда, т.е. четвёртая величина - 6. Для ранжированного ряда с четным числом индивидуальных величин (например, 1, 5, 7, 10, 11, 14) медианой будет средняя арифметическая величина, которая рассчитывается из двух смежных величин. Для нашего случая медиана равна (7+10)/2= 8,5.

Для нахождения медианы дискретного ряда сначала необходимо определить ее порядковый номер по формуле (3.3):

N Me = (3.3)

Медиана дискретного ряда соответствует варианте, для которой кумулятивная частота ³.

Численное значение медианы интервального ряда определяют по накопленным частотам в дискретном вариационном ряду. Для этого сначала следует найти интервал нахождения медианы в интервальном ряду распределения. Медианным называют первый интервал, где сумма накопленных частот превышает половину наблюдений от общего числа всех наблюдений (³).

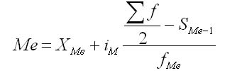
Численное значение медианы обычно определяют по формуле (3.4)

. (3.4)

где xМе - нижняя граница медианного интервала; iМе - величина интервала; SМе-1 - накопленная частота интервала, которая предшествует медианному; fМе - частота медианного интервала.

Для определения медианы графическим методом используют накопленные частоты, по которым строится кумулятивная кривая. Вершины ординат, соответствующих накопленным частотам, соединяют отрезками прямой. Разделив пополам последнюю ординату, которая соответствует общей сумме частот и проведя к ней перпендикуляр пересечения с кумулятивной кривой, находят ординату искомого значения медианы.

Медиана обладает свойством минимальности. Его суть заключается в том, что сумма абсолютных отклонений значений Х от медианы представляет собой минимальную величину по сравнению с отклонением X от любой другой величины

Для одномодального симметричного ряда распределения средняя арифметическая, медиана и мода совпадают. Для асимметричных распределений они не совпадают.
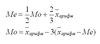
К. Пирсон на основе выравнивания различных типов кривых определил, что для умеренно асимметричных распределений справедливы такие приближенные соотношения между средней арифметической, медианой и модой (3.5) (3.6):

(3.5), (3.6).

 

<== предыдущая лекция | следующая лекция ==>
Сущность и значение средних величин в статистике. Виды средних величин | Получение исходных данных
Поделиться с друзьями:


Дата добавления: 2014-01-03; Просмотров: 584; Нарушение авторских прав?; Мы поможем в написании вашей работы!


Нам важно ваше мнение! Был ли полезен опубликованный материал? Да | Нет



studopedia.su - Студопедия (2013 - 2026) год. Все материалы представленные на сайте исключительно с целью ознакомления читателями и не преследуют коммерческих целей или нарушение авторских прав! Последнее добавление




Генерация страницы за: 0.009 сек.