Студопедия

КАТЕГОРИИ:


Архитектура-(3434)Астрономия-(809)Биология-(7483)Биотехнологии-(1457)Военное дело-(14632)Высокие технологии-(1363)География-(913)Геология-(1438)Государство-(451)Демография-(1065)Дом-(47672)Журналистика и СМИ-(912)Изобретательство-(14524)Иностранные языки-(4268)Информатика-(17799)Искусство-(1338)История-(13644)Компьютеры-(11121)Косметика-(55)Кулинария-(373)Культура-(8427)Лингвистика-(374)Литература-(1642)Маркетинг-(23702)Математика-(16968)Машиностроение-(1700)Медицина-(12668)Менеджмент-(24684)Механика-(15423)Науковедение-(506)Образование-(11852)Охрана труда-(3308)Педагогика-(5571)Полиграфия-(1312)Политика-(7869)Право-(5454)Приборостроение-(1369)Программирование-(2801)Производство-(97182)Промышленность-(8706)Психология-(18388)Религия-(3217)Связь-(10668)Сельское хозяйство-(299)Социология-(6455)Спорт-(42831)Строительство-(4793)Торговля-(5050)Транспорт-(2929)Туризм-(1568)Физика-(3942)Философия-(17015)Финансы-(26596)Химия-(22929)Экология-(12095)Экономика-(9961)Электроника-(8441)Электротехника-(4623)Энергетика-(12629)Юриспруденция-(1492)Ядерная техника-(1748)

Ускорения точек плоской фигуры

 

 

 

 

Ускорения точек твёрдого тела складываются из ускорений при поступательном и вращательном движениях.

Сечение твёрдого тела совершает плоское движение в системе координат Оху. Известны: угловая скорость , угловое ускорение , ускорение точки А. Требуется определить ускорение точки М.

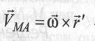
Связь скоростей точек М и А устанавливается теоремой о сложении скоростей

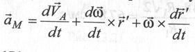
Ускорение точки М определим путем дифференцирования векторного уравнения по времени

или

где - вектор ускорения точки А; - векторы угловой скорости и углового ускорения.

Известно ускорение точки А, поэтому принимаем ее за полюс

; .

- скорость вращения точки М относительно точки А. Второе и третье слагаемые в первой части уравнения представляют собой вращательное и центростремительное ускорения при вращении точки М относительно полюса А:

или ,

где .

Модули ускорения и определяют по формулам

;.

Определим модуль ускорения:

 

 

Угол, образованный векторомс радиусом-вектором , определяется по формуле

На рис. по уравнению в точке М построен вектор ускорения и центростремительного ускорений вращения точки М вокруг точки А. По уравнению на рис. показана замыкающаядвух составляющих векторов: ускорения при вращении точки М вокруг полюса и ускорения полюса .

<== предыдущая лекция | следующая лекция ==>
Находим. Направление угловой скорости шатуна | Определить ускорение точек В и С.
Поделиться с друзьями:


Дата добавления: 2014-01-03; Просмотров: 735; Нарушение авторских прав?; Мы поможем в написании вашей работы!


Нам важно ваше мнение! Был ли полезен опубликованный материал? Да | Нет



studopedia.su - Студопедия (2013 - 2026) год. Все материалы представленные на сайте исключительно с целью ознакомления читателями и не преследуют коммерческих целей или нарушение авторских прав! Последнее добавление




Генерация страницы за: 0.01 сек.