Студопедия

КАТЕГОРИИ:


Архитектура-(3434)Астрономия-(809)Биология-(7483)Биотехнологии-(1457)Военное дело-(14632)Высокие технологии-(1363)География-(913)Геология-(1438)Государство-(451)Демография-(1065)Дом-(47672)Журналистика и СМИ-(912)Изобретательство-(14524)Иностранные языки-(4268)Информатика-(17799)Искусство-(1338)История-(13644)Компьютеры-(11121)Косметика-(55)Кулинария-(373)Культура-(8427)Лингвистика-(374)Литература-(1642)Маркетинг-(23702)Математика-(16968)Машиностроение-(1700)Медицина-(12668)Менеджмент-(24684)Механика-(15423)Науковедение-(506)Образование-(11852)Охрана труда-(3308)Педагогика-(5571)Полиграфия-(1312)Политика-(7869)Право-(5454)Приборостроение-(1369)Программирование-(2801)Производство-(97182)Промышленность-(8706)Психология-(18388)Религия-(3217)Связь-(10668)Сельское хозяйство-(299)Социология-(6455)Спорт-(42831)Строительство-(4793)Торговля-(5050)Транспорт-(2929)Туризм-(1568)Физика-(3942)Философия-(17015)Финансы-(26596)Химия-(22929)Экология-(12095)Экономика-(9961)Электроника-(8441)Электротехника-(4623)Энергетика-(12629)Юриспруденция-(1492)Ядерная техника-(1748)

Гликозаминогликаны (мукополисахариды)




Защитные свойства бронхиальной слизи обусловлены ее барьерной функцией, способностью связывать и транспортировать микроорганизмы. Кроме того, антибактериальная и антивирусная активность слизи связана с содержащимися в ней компонентами комплемента, лизоцимом, лактоферрином, так называемыми неиммунными опсонинами типа фиб- ронектина и сурфактанта.

В функционировании мукоцилиарного эскалатора большое значение имеют вязкоэластические свойства гель-слоя слизи, которые зависят от ее состава и соотношения составляющих компонентов. Структурной основой гель-слоя являются кислые и нейтральные гликопротеины с большой молекулярной массой (муцины). Они имеют длинную центральную белковую часть и боковые углеводные цепи, которые связывают молекулы гликопротеинов с образованием ячеистой сети. В гликопротеиновую основу бронхиальной слизи встроены также молекулы иммуноглобулинов, что обеспечивает стабильность гель-слоя и его способность фиксировать микроорганизмы.

Кетозы

Кетозы

Альдозы

Приведенные выше линейные структурные формулы альдоз и 2-кетоз называются формулами в проекции Фишера.

Выделенные звездочкой атомы углерода являются асимметрическими. Асимметрическим называется атом углерода, соединенный с четырьмя разными заместителями (атомами или группами атомов). Вещества, в составе которых есть асимметрические атомы углерода, обладают особым видом пространственной изомерии - стереоизомерией или оптической изомерией. Стереоизомеры отличаются пространственной конфигурацией атомов водорода и гидроксильной группы при асимметрическом атоме углерода.

Число стереоизомеров равно 2n, где п - число асимметрических атомов углерода.

Например, альдогексоза общей формулы С6Н12О6 с четырьмя асимметрическими атомами может быть представлена любым из 16 возможных стереоизомеров, восемь из которых относятся к D -ряду, а восемь - к L -ряду.

Родоначальниками D- и L-ряда можно условно считать D- и L- глицериновые альдегиды. Принадлежность моносахарида к D- и L-ряду определяется положением водорода и гидроксила у наиболее удаленного от альдегидной или кетонной группы асимметрического углеродного атома (по сравнению с их положением у единственного асимметрического атома углерода D- или L -глицеринового альдегида).


1. D-глицериновый альдегид
2. L-глицериновый альдегид

Стереоизомеры отличаются физико-химическими свойствами и биологической активностью.

Глюкоза является альдогексозой. Она может существовать в линейной и циклической формах. Циклическая форма глюкозы, предпочтительная в термодинамическом отношении, обусловливает химические свойства глюкозы. Возможно образование 16 стереоизомеров, наиболее важные из которых D- и L-глюкоза.

В организме млекопитающих моносахариды находятся в D-конфигурации, так как к этой форме глюкозы специфичны ферменты, катализирующие её превращения.

 

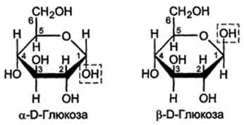
В растворе при образовании циклической формы моносахарида образуются ещё 2 изомера (α- и β-изомеры), называемые аномерами, обозначающие определённую конформацию Н- и ОН-групп относительно С.

У α-D-глюкозы ОН-группа располагается ниже плоскости кольца,

а у β-D-глюкозы, наоборот, над плоскостью кольца.

 

α- и β -аномеры D-глюкозы:

 

α- и β -аномеры D-фруктозы:

 

Наиболее важными являются следующие моносахариды:

Альдозы


D-галактоза D-манноза D-глюкоза

 


Дигидроксиацетон D-ксилулоза D-рибулоза

 


D-фруктоза D-седогептулоза

Монозы с пятью и более углеродными атомами могут существовать не только в линейной, но и в циклической форме. Циклизация происходит за счет разрыва двойной связи в карбонильной группе, перемещения атома водорода к освободившейся валентности карбонильного кислорода и замыканию кольца углеродных атомов с образованием внутренних циклических α- или β -полуацеталей:


Штриховая линия - связь за плоскостью рисунка.

 

 
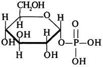
Структурные формулы в проекции Фишера не способны дать всесторонний геометрический образ полуацетальной структуры, так как они не отражают реальных пространственных углов между химическими связями. В 1929 г. Хеуорс предложил способ изображения циклических форм углеводов, наиболее близко отражающий реальные структуры. Пяти- и шестичленные циклические структуры изображаются при этом в виде плоских циклических систем, гидроксильные группы у каждого атома углерода которых ориентированы либо вверх, либо вниз. Обычно используют упрощенную форму написания формулы в проекции Хеуорса, опуская углеродные атомы в составе кольца. Для преобразования формул D -монозы в проекции Фишера в формулу Хеуорса следует придерживаться определенных правил: 1. Все группы, расположенные справа от углеродного остова в формулах Фишера, в формулах Хеуорса занимают положение под плоскостью кольца (внизу). 2. Группы, расположенные в формулах Фишера слева от углеродного остова, располагают над плоскостью кольца (вверху). 3. Концевую группу - СН2ОН в проекции Хеуорса направляют вверх. В растворе линейные и циклические формы моносахаридов существуют одновременно и способны самопроизвольно превращаться друг в друга. Такие изомерные формы называются кольчато-цепными таутомерами. Преобладают, как правило, циклические изомеры полисахаридов; они используются организмами для построения олиго- и полисахаридов, мононуклеотидов и других биологических молекул. Через линейную форму происходит переход α -формы в β -форму. Гидроксильная группа, образовавшаяся при замыкании цикла из карбонила, называется полуацетальным или гликозидным гидроксилом. Производные моносахаридов.Большую группу производных моносахаридов составляют фосфорные эфиры, которые образуются в ходе превращений углеводов в тканях: Глицеральдегид-3-фосфат β-D -Рибозо-5-фосфат   α-D -Рибозо-1-фосфат β-D -Фруктозо-1,6-дифосфат В природе широко распространены два аминопроизводных моносахарида: глюкозамин и галактозамин. Как и соответствующие гексозы, гексозамины могут существовать как в линейной, так и в циклической форме. Глюкозамин входит в состав многих полисахаридов, содержащихся в тканях животных и человека; галактозамин является компонентом гликопротеинов и гликолипидов. Глюкозамин Галактозамин Глюкуроновая кислота В состав полисахаридов входит глюкуроновая кислота. Биологические функции моносахаридов:
  • Энергетическая - моносахариды используются в качестве источников энергии в клетке.
  • Пластическая - моносахариды и их производные участвуют в построении разнообразных биологических молекул.
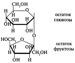
Олигосахариды Олигосахариды содержат несколько (от двух до десяти) остатков моносахаридов, соединённых гликозидной связью. Дисахариды - наиболее распространены. По химической природе дисахариды представляют собой гликозиды, которые содержат 2 моносахарида, соединённые гликозидной связью в α- или β-конфигурации. В пище содержатся в основном такие дисахариды, как сахароза, лактоза и мальтоза. Мальтоза образуется из полисахаридов как промежуточный продукт. Она состоит из двух остатков глюкозы, соединенных между собой α- 1,4-гликозидной связью. β -Мальтоза Лактоза содержится в молоке животных и человека. В состав лактозы входит остаток галактозы и глюкозы; эти монозы связаны между собой β -1,4-гликозидной связью. α -Лактоза Сахароза - наиболее распространенный и важный дисахарид, встречающийся в растительном мире. Сахароза является ценным питательным веществом для человека. Сахароза состоит из остатков α - D -глюкозы и β - D -фруктозы, связанных α, α -1,2-гликозидной связью. Сахароза   Изомальтоза - промежуточный продукт, образующийся при расщеплении крахмала в кишечнике. Состоит из двух остатков D-глюкозы, но соединены эти моносахариды α-1,6-гликозидной связью. Полисахариды Структурные различия между полисахаридами определяются:
  • строением моносахаридов, составляющих цепь;
  • типом гликозидных связей, соединяющих мономеры в цепи;
  • последовательностью остатков моносахаридов в цепи.
В зависимости от строения остатков моносахаридов полисахариды можно разделить на гомополисахариды(все мономеры идентичны) и гетерополисахариды(мономеры различны). Оба типа полисахаридов могут иметь как линейное расположение мономеров, так и разветвлённое. В зависимости от выполняемых ими функций выделяют 3 основные группы: · резервные полисахариды, выполняющие энергетическую функцию. Эти полисахариды служат источником глюкозы, используемым организмом по мере необходимости. Резервная функция этих углеводов обеспечивается их полимерной природой. Полисахариды менее растворимы, чем моносахариды, следовательно, они не влияют на осмотическое давление и поэтому могут накапливаться в клетке, например, крахмал - в клетках растений, гликоген - в клетках животных;
  • структурные полисахариды, обеспечивающие клеткам и органам механическую прочность;
  • полисахариды, входящие в состав межклеточного матрикса, принимают участие в образовании тканей, а также в пролиферации и дифференцировке клеток. Полисахариды межклеточного матрикса водорастворимы и сильно гидратированы.
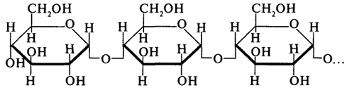
В пище человека в основном содержатся полисахариды растительного происхождения - крахмал, целлюлоза. В меньшем количестве поступает полисахарид животных - гликоген. Полисахаридыпредставляют собой биополимеры, мономерами которых служат моносахариды. Если в составе полисахарида содержатся остатки моносахарида одного вида, его называют гомополисахаридом, если разных - гетерополисахаридом. К физиологически важным гомополисахаридам относят крахмал и гликоген. К числу важнейших гетерополисахаридов - гиалуроновую кислоту, хондротинсульфат и гепарин. Крахмал - гомополисахарид, состоящий из остатков глюкозы. Он является одним из наиболее распространенных запасных полисахаридов растений. Крахмал накапливается в семенах, клубнях (40 - 78%) и других частях растений (10 - 25%). Крахмал состоит из двух фракций, отличающихся строением и свойствами: амилозы - 15 - 25% и амилопектина - 75 - 85%. Амилоза построена из остатков глюкозы, связанных кислородными "мостиками" (гликозидными связями) между первым атомом углерода одного остатка и четвертым углеродным атомом другого: Амилоза Глюкозные остатки образуют неразветвленную цепь с молекулярной массой от 16 до 160 кДа. Эта цепь в пространстве закручивается в спирально молекула в целом имеет нитевидную форму. Амилопектин имеет молекулы с разветвленной цепью остатков глюкозы, образованной за счет связи между шестым атомом углерода одного остатка и первым углеродным атомом другого: Амилопектин Гликоген - резервное питательное вещество организма человека и животных. Иначе его называют "животным крахмалом". В организме человека он накапливается в печени (-20%) и в мышцах (-2%). Гликоген по структуре близок к амилопектину, однако степень ветвления у него больше, чем у амилопектина, поэтому молекула гликогена более компактна. Гликоген - не однородное вещество, а представляет собой смесь полисахаридов разной молекулярной массы. Часть его находится в соединении с белками. Спиральная конформация молекулы амилозы Целлюлоза - наиболее распространенное органическое соединение. Она встречается в растительном мире в качестве структурного компонента клеточной стенки. Особенно богаты целлюлозой волокна хлопка (98 - 99%). Целлюлоза состоит из остатков глюкозы, связанных между собой β -1,4-гликозидньши связями. Структура целлюлозы хорошо отвечает ее биологической задаче. Отдельные цепи целлюлозы связаны между собой водородными связями, что способствует образованию волокнистой и очень прочной структуры. В клеточных стенках растений волокна целлюлозы плотно упакованы в слои, которые дополнительно стабилизированы другими соединениями полисахаридной природы. Целлюлоза не имеет питательной ценности для высших животных и человека, так как пищеварительные секреты слюны и ферменты желудочно-кишечного тракта не способны расщеплять 1,4-гликозидные связи до глюкозы. Гиалуроновая кислота - гетерополисахарид, имеющий очень важное значение для высших организмов. В соединительной ткани это основной компонент внеклеточного желатинообразного вещества, заполняющего межклеточное пространство тканей. Она содержится в больших количествах в синовиальной жидкости суставов. Стекловидное тело и пуповина новорожденных также богаты гиалуроновой кислотой. В структурном отношении молекула представляет собой линейный полисахарид, образованный дисахаридными повторяющимися звеньями, состоящими из остатков D -глюкуроновой кислоты и N -ацетил- D -глюкозамина, соединенных β -1,3-гликозидной связью. Повторяющиеся дисахаридные звенья связаны между собой β -1,4-связью. Гиалуроновая кислота Хондроитинсульфат является составной частью костной ткани, хрящей, сухожилий, роговицы глаз, сердечных клапанов и других подобных тканей. Повторящееся дисахаридное звено в хондроитинсульфате состоит из глюкуроновой кислоты и N -ацетилгалактозаминсульфата, звенья соединены друг с другом β -1,3- и β -1,4-гликозидными связями, подобно связям в гиалуроновой кислоте. Хондроитинсульфат Гепарин - гетерополисахарид, препятствующий свертыванию крови у животных и человека. Гепарин содержится в крови, печени, легких, селезенке, щитовидной железе и в других тканях и органах. Молекула гепарина состоит из глюкуроновой кислоты и α -глюкозамина в виде двойного сульфопроизводного, соединенных между собой α -1,4-гликозидными связями. ГЛИКОПРОТЕИНЫ
 

Гликопротеины составляют большую группу сложных белков, содержащих в качестве простетической части углеводы и/или их производные, ковалентно-связанные с белком. При гидролизе гликопротеинов в углеводном компоненте обнаруживаются такие моносахариды, как D-галактоза, D-манноза, D-глюкоза, N-ацетилгалактозамин, N-ацетилглюкозамин и др.
Небольшие олигосахаридные группы могут присоединяться к белкам через O-гликозидную связь к гидроксилам остатков серина и треонина.

В ряде белков встречаются N-гликозидные связи с амидными группами Asn, реже Gln или NH2 группами Lys и Arg.

По соотношению белковой и углеводной частей гликопротеины подразделяются на нейтральные и кислые.

В нейтральных гликопротеинах углеводная часть может составлять от 3% до 15%, а у некоторых гликопротеинов 40%. К нейтральным гликопротеинам относятся яичный белок (овальбумин), гликопротеины плазмы крови (трансферрин, церуллоплазмин), белок щитовидной железы (тиреоглобулин).
В состав кислых гликопротеинов
помимо амино и моносахаров входит уроновая кислота, которая имеет большое биологическое значение, принимая участие в обезвреживании билирубина и ряда ксенобиотиков, в том числе лекарственных средств. Важнейшими кислыми гликопротеинами являются гликопротеины, содержащие в составе гиалуроновые кислоты. Повторяющейся структурной единицей гиалуроновой кислоты служит дисахарид, состоящий из ацетилглюкозамина и глюкуроновой кислоты, соединенных β(1→3)-глюкозидной связью:

Отдельные дисахаридные остатки соединяются в цепь β(1→4)-глюкозидными связями. В глюкуроновой кислоте карбоксильная группа находится в ионизированном состоянии, поэтому гиалуроновая кислота является чрезвычайно гидрофильным соединением, удерживающим большое количество воды. Её растворы обладают высокой вязкостью.
Важным углеводным компонентом гликопротеинов является также хондроитинсерная кислота или хондроитинсульфат-полимер, состоящий из ацетилгалактозамина, этерифицированного серной кислотой и глюкуроновой кислоты. Ацетилгалактозамин и глюкуроновая кислота соединяются между собой β(1→3) глюкозидной связью.

Хондроитинсульфаты составляют целые семейства (А, В, С), содержащиеся в качестве компонентов соединительной ткани. Их структуры различаются по положению сульфатных остатков, соотношению глюкуроновой кислоты, N-ацетил-D-галактозамина и сульфата. В хрящевой ткани хондроитинсульфаты связываются с особым белком в виде хондромукоида; в костной ткани образуют осцемукоид. Хондроитинсульфаты относятся к мукополисахаридам с молекулярной массой в пределах от 50 до 100 кДа.

Муцины продуцируются бокаловидными клетками, слизистыми и серозными клетками бронхиальных желез. Слизистые клетки выделяют секрет с высокой концентрацией кислых гликопротеинов; они стимулируются агонистами бета-адренорецепторов. Серозные клетки выделяют жидкий секрет, содержащий лизоцим, лактоферрин и нейтральные глико- протеины; они стимулируются агонистами альфа-адренорецепторов.

В бронхиальной слизи здоровых детей преобладают кислые сиаломуци- ны, а содержание кислых сульфомуцинов и нейтральных муцинов невелико. Кроме муцинов и иммуноглобулинов в состав бронхиальной слизи входят сывороточные белки, фосфолипиды сурфактанта, нуклеиновые кислоты, ферменты, электролиты, остатки клеток (спущенный эпителий, альвеолярные макрофаги, полиморфно-нуклеарные лейкоциты).

Гликозаминогликаны соединительной ткани – это линейные неразветвлен-ные полимеры, построенные из повторяющихся дисахаридных единиц. В организме гликозаминогликаны не встречаются в свободном состоянии, т.е. в виде «чистых» углеводов. Они всегда связаны с большим или меньшим количеством белка. В их состав обязательно входят остатки мономера либо глюкозамина, либо галактозамина. Второй главный мономер дисахаридных единиц также представлен двумя разновидностями: D-глюкуроновой и L-идуроновой кислотами. В настоящее время четко расшифрована структура шести основных классов гликозаминогликанов.

Гиалуроновая кислота впервые была обнаружена в стекловидном теле глаза. Из всех гликозаминогликанов гиалуроновая кислота имеет большую мол. массу (100000–10000000). Доля связанного с гиалуроновой кислотой белка в молекуле (частице) протеогликана составляет не более 1–2% от его общей массы. Считают, что основная функция гиалуроновой кислоты в соединительной ткани – связывание воды.

В результате такого связывания межклеточное вещество приобретает характер желеобразного матрикса, способного «поддерживать» клетки. Важна также роль гиалуроновой кислоты в регуляции проницаемости тканей. Приводим структуру повторяющейся дисахаридной единицы в молекуле гиалуроновой кислоты:

Хондроитин-4-сульфат и хондроитин-6-сульфат построены по одному плану. Отличие между ними заключается в локализации сульфатной группы. Несмотря на минимальные различия в химической структуре, физико-химические свойства хондроитин-4-сульфата и хондроитин-6-сульфата су-

щественно различаются; последние различаются также распределением в разных видах соединительной ткани

Дерматансульфат особенно характерен для дермы (кожи). Он резистентен к действию гиалуронидаз (тестикулярной и бактериальной). В этом одно из отличий дерматансульфата от хондроитинсульфатов. Кроме того, в состав дисахаридной единицы дерматансульфата входит L-идуроновая, а не D-глюкуроновая кислота (в малом количестве D-глюкуроновую кислоту можно обнаружить в повторяющихся единицах дерматансульфата):

О биологической роли дерматансульфата почти ничего неизвестно. Роль этого гликозаминогликана не может быть сведена только к стабилизации коллагеновых пучков, так как дерматансульфат обнаруживается и в тканях эктодермального происхождения, не содержащих коллагена.

Гепарин известен прежде всего как антикоагулянт. Однако его следует относить к гликозаминогликанам, так как он синтезируется тучными клетками, которые являются разновидностью клеточных элементов соединительной ткани. Он может входить в состав протеогликанов; с гликоз-аминогликанами его объединяет и химическая структура.

Биосинтез гликозаминогликанов. Известно, что синтез глюкозамина и глюкуроновой кислоты, входящих в состав гиалуроновой кислоты, происходит из D-глюкозы. Непосредственные предшественники гиалуро-новой кислоты – нуклеотидные (уридиндифосфонуклеотидные) производные N-ацетилглюкозамина и глюкуроновой кислоты.

Предшественником углеводных остатков сульфатированных гликоза-миногликанов, как и у гиалуроновой кислоты, является молекула D-глю-козы. Далее происходит эпимеризация глюкозамина в галактозамин, а глюкуроновой кислоты при синтезе дерматансульфата – в идуроновую кислоту. Нуклеотидные производные этих соединений утилизируются при биосинтезе сульфатированных гликозаминогликанов, при этом сульфат включается в биосинтез гликозаминогликанов в виде 3'-фосфоаденозин-5'-фосфосульфата (ФАФС). В процессе биосинтеза гликозаминогликанов принимает участие большое количество различных ферментов, в том числе трансфераз.




Поделиться с друзьями:


Дата добавления: 2015-07-13; Просмотров: 2898; Нарушение авторских прав?; Мы поможем в написании вашей работы!


Нам важно ваше мнение! Был ли полезен опубликованный материал? Да | Нет



studopedia.su - Студопедия (2013 - 2026) год. Все материалы представленные на сайте исключительно с целью ознакомления читателями и не преследуют коммерческих целей или нарушение авторских прав! Последнее добавление




Генерация страницы за: 0.009 сек.