Студопедия

КАТЕГОРИИ:


Архитектура-(3434)Астрономия-(809)Биология-(7483)Биотехнологии-(1457)Военное дело-(14632)Высокие технологии-(1363)География-(913)Геология-(1438)Государство-(451)Демография-(1065)Дом-(47672)Журналистика и СМИ-(912)Изобретательство-(14524)Иностранные языки-(4268)Информатика-(17799)Искусство-(1338)История-(13644)Компьютеры-(11121)Косметика-(55)Кулинария-(373)Культура-(8427)Лингвистика-(374)Литература-(1642)Маркетинг-(23702)Математика-(16968)Машиностроение-(1700)Медицина-(12668)Менеджмент-(24684)Механика-(15423)Науковедение-(506)Образование-(11852)Охрана труда-(3308)Педагогика-(5571)Полиграфия-(1312)Политика-(7869)Право-(5454)Приборостроение-(1369)Программирование-(2801)Производство-(97182)Промышленность-(8706)Психология-(18388)Религия-(3217)Связь-(10668)Сельское хозяйство-(299)Социология-(6455)Спорт-(42831)Строительство-(4793)Торговля-(5050)Транспорт-(2929)Туризм-(1568)Физика-(3942)Философия-(17015)Финансы-(26596)Химия-(22929)Экология-(12095)Экономика-(9961)Электроника-(8441)Электротехника-(4623)Энергетика-(12629)Юриспруденция-(1492)Ядерная техника-(1748)

На контактную выносливость




ПРОЕКТИРОВОЧНЫЙ РАСЧЕТ

4.1. Основные размеры передачи определяют из расчета на контактную выносливость. Модуль в курсовом проектировании рекомендуется выбирать по эмпирическим зависимостям с последующей проверкой на изгиб.

 

4.2. Исходными данными для проектировочного расчета являются:

- циклограмма нагружения;

- передаточное число ;

- вид передачи - прямозубая или косозубая,

- способ термической или химико-термической обработки и твердость рабочих поверхностей зубьев.

 

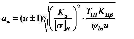
4.3. Предварительное значение межосевого расстояния определяется по формуле:

, мм (10)

где - передаточное число (здесь и далее знак «плюс» - внешнее зацепление, знак «минус» - внутреннее);

- вспомогательный коэффициент.

Для прямозубых передач мм.

Для косозубых и шевронных мм;

- расчетный крутящий момент на шестерне, Н·мм;

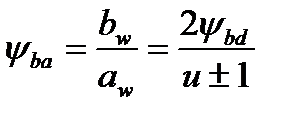
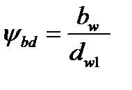
- коэффициент ширины венца .

Величину выбирают по рекомендуемой табл. 5.

- коэффициент, учитывающий неравномерность распределения нагрузки по ширине венца.

Коэффициент принимается в зависимости от параметра по графику на рис. 4 в соответствии с заданной или выбранной схемой передачи;

- допускаемое контактное напряжение, рассчитывается в соответствии с указаниями п. 2.1. и п. 2.2., причем предел контактной выносливости материала зубчатых колес следует определять по средней твердости поверхности зубьев:

(11)

где - средняя, минимальная и максимальная соответственно твердость поверхностей зубьев, получаемая для выбранного материала при выбранном способе термической или химико-термической обработки зубьев.

Таблица 5

Рекомендуемые значения

Расположение колеса относительно опор (см. рис. 4) Твердость рабочих поверхностей зубьев
HB ≤3 50 или HB1 ≤ 350 и HB2 ≤ 350 HB1 > 350 и HB2 > 350
Симметричное 0,8 … 1,4 0,4 … 0,9
Несимметричное 0,6 … 1,2 0,3 … 0,6
Консольное 0,3 … 0,6 0,2 … 0,4

Примечания:

1. - рабочая ширина венца, мм.

2. Большие значения для постоянных и близких к ним нагрузок; для жестких конструкций валов и опор.

3. Для шевронных передач при , равной сумме полушевронов можно увеличить в 1,3 … 1,4 раза.

 

при Н1 ≤ НВ 350 или Н2 ≤ НВ 350 при Н1 > НВ 350 и Н2 > НВ 350

Рис. 4. График для определения ориентировочных значений
коэффициента

при Н1 ≤ НВ 350 или Н2 ≤ НВ 350 при Н1>НВ 350 и Н2 > НВ 350

Рис. 5. График для определения ориентировочных значений
коэффициента

Примечание: Цифры у кривых соответствуют передачам, указанным на схемах

4.4. Предварительное определение размеров передачи.

4.4.1. Полученное значение (см. формулу 10) следует округлить до значения, соответствующего ГОСТ 6636-69 «Нормальные линейные размеры» (см. Приложение).

 

4.4.2. В передачах большинства редукторов общего назначения модули выбирают при улучшенных зубчатых колесах в пределах:

, (12)

а при закаленных зубчатых колесах

. (13)

Полученные значения округляют до ближайшего значения по
ГОСТ 9563-60 (m, мм; 0,1; 0,12; 0,15; 0,2; 0,25; 0,3; 0,4; 0,5; 0,6; 0,8; 1; 1,25; 1,5; 2; 2,5; 3; 4; 5; 6) с последующей проверкой по изгибу (см. п. 4.4.6).

 

4.4.3. Ширина венца:

колеса ; шестерни (14)

где мм, принимают конструктивно.

Полученные значения и следует округлить до величин, соответствующих ГОСТу 6636-69 на нормальные линейные размеры.

 

4.4.4. Суммарное число зубьев и угол наклона зуба .

В общем случае для косозубой передачи:

(15)

где (16)

Для шевронной передачи с дорожкой:

(17)

Диапазон обычных значений угла : для косозубых передач 8°...20°, для шевронных - 25°...40°.

Полученное значение округляют до целого в меньшую сторону и определяют расчетную величину угла:

(18)

Число зубьев шестерни и колеса :

(19)

 

Для прямозубых зубчатых колес, нарезанных без смещения инструмента, , для косозубых - .

По принятым значениям и определяют фактическое передаточное число:

(20)

 

4.4.5. Диаметры делительных окружностей зубьев:

прямозубые колеса:

(21)

 

косозубые колеса:

(22)

 

4.4.6. Степень точности выбирают в зависимости от назначения и условий работы передачи. Наибольшее распространение имеют 6, 7 и 8-я степени точности (табл. 6).

 

Окружная скорость зубчатых колес, м/с,

(23)

где - делительный диаметр шестерни, мм;

- частота вращения шестерни, об/мин.

Таблица 6

Рекомендации по выбору степени точности передачи

Степень точности, не ниже Окружная скорость м/с, не более Область применения
прямозубая косозубая
6 (высокоточные)   31,5 Скоростные передачи, делительные механизмы
7 (точные) 12,5   Передачи, работающие с повышенными скоростями и умеренными нагрузками или наоборот
8 (средней точности)   12,5 Передачи общего машиностроения, передачи приборов
9 (пониженной точности)     Тихоходные передачи машин низкой точности



Поделиться с друзьями:


Дата добавления: 2015-07-13; Просмотров: 273; Нарушение авторских прав?; Мы поможем в написании вашей работы!


Нам важно ваше мнение! Был ли полезен опубликованный материал? Да | Нет



studopedia.su - Студопедия (2013 - 2026) год. Все материалы представленные на сайте исключительно с целью ознакомления читателями и не преследуют коммерческих целей или нарушение авторских прав! Последнее добавление




Генерация страницы за: 0.014 сек.