Студопедия

КАТЕГОРИИ:


Архитектура-(3434)Астрономия-(809)Биология-(7483)Биотехнологии-(1457)Военное дело-(14632)Высокие технологии-(1363)География-(913)Геология-(1438)Государство-(451)Демография-(1065)Дом-(47672)Журналистика и СМИ-(912)Изобретательство-(14524)Иностранные языки-(4268)Информатика-(17799)Искусство-(1338)История-(13644)Компьютеры-(11121)Косметика-(55)Кулинария-(373)Культура-(8427)Лингвистика-(374)Литература-(1642)Маркетинг-(23702)Математика-(16968)Машиностроение-(1700)Медицина-(12668)Менеджмент-(24684)Механика-(15423)Науковедение-(506)Образование-(11852)Охрана труда-(3308)Педагогика-(5571)Полиграфия-(1312)Политика-(7869)Право-(5454)Приборостроение-(1369)Программирование-(2801)Производство-(97182)Промышленность-(8706)Психология-(18388)Религия-(3217)Связь-(10668)Сельское хозяйство-(299)Социология-(6455)Спорт-(42831)Строительство-(4793)Торговля-(5050)Транспорт-(2929)Туризм-(1568)Физика-(3942)Философия-(17015)Финансы-(26596)Химия-(22929)Экология-(12095)Экономика-(9961)Электроника-(8441)Электротехника-(4623)Энергетика-(12629)Юриспруденция-(1492)Ядерная техника-(1748)

Размеры магнитопровода




Расчет магнитной цепи

Сопротивление и масса меди компенсационной обмотки

Длину одного полувитка КО оцениваем по формуле, м:

; (3.17)

где lm» la – длина меди сердечника главного полюса, м,

Длину меди одной катушки КО определяем по формуле, м:

; (3.18)

 

 

Массу меди КО определяем по выражению, кг:

; (3.19)

Сопротивление КО при 20оС определяем по формуле, Ом:

; (3.20)

Основная цель расчета магнитной цепи ТД – определение параметров катушек главных полюсов (ГП), намагничивающая сила (н.с.) которых обеспечит прохождение по магнитной цепи магнитного потока необходимой величины.

Площадь сечения сердечника якоря определяем по формуле, м2:

; (4.1)

где, Ва – индукция в сердечнике якоря, принимаем Ва = 1,2 Тл, поскольку 2р=6,

Активную высоту сердечника якоря опреде6ляем по формуле, м:

; (4.2)

Конструктивную высоту сердечника якоря рассчитываем по формуле, м:

; (4.3)

где, dк – диаметр вентиляционных каналов, равный 0,02 м;

nк – число рядов каналов, равное 2,

Внутренний диаметр сердечника якоря находим по формуле, м:

; (4.4)

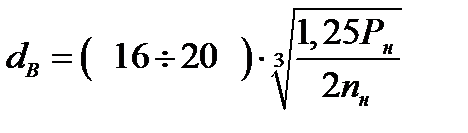
Диаметр вала в его средней части определяем по формуле, см:

; (4.5)

Внешний диаметр втулки рассчитываем по формуле, см:

, (4.6)

где Dвт – толщина втулки, равная 1,5 см,

Поскольку , 276 > 226 мм, то втулку выполняем коробчатой для уменьшения массы якоря.

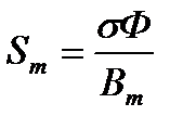
Площадь сечения сердечника главного полюса рассчитываем по формуле, м2:

; (4.7)

где s – коэффициент рассеяния равный 1,15;

Вm – индукция в сердечнике полюсов, примем равной 1,4 Тл;

Ширину сердечника главного полюса, принимая его длину lm = la, определяем по формуле, м:

; (4.8)

где кср – коэффициент, учитывающий подрезы сердечника полюса по углам для лучшего его вписывания во внутреннюю полость катушки, при намотке меди катушек «плашмя» кср = 1.

к`с – коэффициент заполнения сердечника полюса сталью. Поскольку машина с компенсационной обмоткой его принимаем равным 0,97.

Фактическую площадь сечения сердечника главного полюса рассчитываем по формуле, м2:

; (4.9)

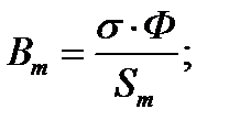
Окончательная величина индукции, Тл:

(4.10)

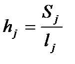
Расчетную площадь сечения круглого остова находим по формуле, м2:

; (4.11)

где Bj -принимаем равной 1,3 Тл.,

Расчетную длину сечения остова определяем по формуле, м:

; (4.12)

Тогда высоту сечения остова найдем по формуле, м:

; (4.13)




Поделиться с друзьями:


Дата добавления: 2015-08-31; Просмотров: 738; Нарушение авторских прав?; Мы поможем в написании вашей работы!


Нам важно ваше мнение! Был ли полезен опубликованный материал? Да | Нет



studopedia.su - Студопедия (2013 - 2025) год. Все материалы представленные на сайте исключительно с целью ознакомления читателями и не преследуют коммерческих целей или нарушение авторских прав! Последнее добавление




Генерация страницы за: 0.007 сек.