Студопедия

КАТЕГОРИИ:


Архитектура-(3434)Астрономия-(809)Биология-(7483)Биотехнологии-(1457)Военное дело-(14632)Высокие технологии-(1363)География-(913)Геология-(1438)Государство-(451)Демография-(1065)Дом-(47672)Журналистика и СМИ-(912)Изобретательство-(14524)Иностранные языки-(4268)Информатика-(17799)Искусство-(1338)История-(13644)Компьютеры-(11121)Косметика-(55)Кулинария-(373)Культура-(8427)Лингвистика-(374)Литература-(1642)Маркетинг-(23702)Математика-(16968)Машиностроение-(1700)Медицина-(12668)Менеджмент-(24684)Механика-(15423)Науковедение-(506)Образование-(11852)Охрана труда-(3308)Педагогика-(5571)Полиграфия-(1312)Политика-(7869)Право-(5454)Приборостроение-(1369)Программирование-(2801)Производство-(97182)Промышленность-(8706)Психология-(18388)Религия-(3217)Связь-(10668)Сельское хозяйство-(299)Социология-(6455)Спорт-(42831)Строительство-(4793)Торговля-(5050)Транспорт-(2929)Туризм-(1568)Физика-(3942)Философия-(17015)Финансы-(26596)Химия-(22929)Экология-(12095)Экономика-(9961)Электроника-(8441)Электротехника-(4623)Энергетика-(12629)Юриспруденция-(1492)Ядерная техника-(1748)

Определение продолжительности рабочего цикла механизмов




Определение производительности (технической и эксплуатационной) погрузо-разгрузочных машин и механизмов (ПРМ)

 

 

Рабочим циклом погрузочно-разгрузочных машин называют время, затрачиваемое на захват и перемещение одной порции груза и возврат машины в исходное положение.

 

Наиболее точно рабочий цикл машины можно определить хронометражными наблюдениями. В общем случае продолжительность одного цикла выглядит следующим образом:

Тц= φ(t1+t2+t3+…+tn), (5.1)

где t1, t2, t3,…..,tn – время отдельных операций по застропке, подъему и перемещению, развороту, отстропке или высыпанию груза;

φ – коэффициент, учитывающий совмещение отдельных операций цикла, 0,7–0,9.

 

 


5.1.1. Определение продолжительности рабочего цикла вилочного погрузчика ЭП-801 и мостового крана-штабелера КШОК – 1 при переработке тарно-штучных грузов

 

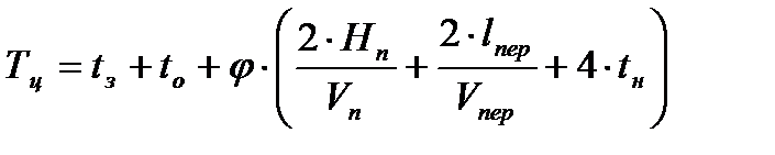
Рабочий цикл вилочного погрузчика для ЭП-801

, (5.2)

с,

где tз – время на захват груза, сек.;

tо – время на захват груза и освобождение от груза, сек.;

j – коэффициент, учитывающий совмещение операций в течение цикла;

Vп, Vпер – скорости подъёма вил и перемещения погрузчика, м/с;

Нп – высота подъёма груза, м;

lпер – расстояние перемещения погрузчика, м;

tн – время наклона рамы в транспортное положение.

Рассчитывая рабочий цикл по данной формуле, примем следующие значения: tз = 10 с; tо = tз /2=5 с; j = 0,8; lпер = lваг =14,73 м; tн = 3 с; Нп = Нмах =3 м; Vп =0,20 м/с, Vпер =2,7 м/с.

 

Рабочий цикл мостового крана-штабелера КШОК-1

. (5.3)

,

 

где tз – время на захват груза, tз = 10–15 с;

tо – время на освобождение от груза, tо = tз /2=10/2=5 с;

Lкр – среднее расстояние перемещения крана (принять Lкр = lваг =14,73 м);

H= 13,87 м – высота подъема груза;

=0,27 м/с – скорость подъема груза;

=1,05 м/с – скорость передвижения крана.

 

 





Поделиться с друзьями:


Дата добавления: 2015-08-31; Просмотров: 4287; Нарушение авторских прав?; Мы поможем в написании вашей работы!


Нам важно ваше мнение! Был ли полезен опубликованный материал? Да | Нет



studopedia.su - Студопедия (2013 - 2025) год. Все материалы представленные на сайте исключительно с целью ознакомления читателями и не преследуют коммерческих целей или нарушение авторских прав! Последнее добавление




Генерация страницы за: 0.007 сек.