Студопедия

КАТЕГОРИИ:


Архитектура-(3434)Астрономия-(809)Биология-(7483)Биотехнологии-(1457)Военное дело-(14632)Высокие технологии-(1363)География-(913)Геология-(1438)Государство-(451)Демография-(1065)Дом-(47672)Журналистика и СМИ-(912)Изобретательство-(14524)Иностранные языки-(4268)Информатика-(17799)Искусство-(1338)История-(13644)Компьютеры-(11121)Косметика-(55)Кулинария-(373)Культура-(8427)Лингвистика-(374)Литература-(1642)Маркетинг-(23702)Математика-(16968)Машиностроение-(1700)Медицина-(12668)Менеджмент-(24684)Механика-(15423)Науковедение-(506)Образование-(11852)Охрана труда-(3308)Педагогика-(5571)Полиграфия-(1312)Политика-(7869)Право-(5454)Приборостроение-(1369)Программирование-(2801)Производство-(97182)Промышленность-(8706)Психология-(18388)Религия-(3217)Связь-(10668)Сельское хозяйство-(299)Социология-(6455)Спорт-(42831)Строительство-(4793)Торговля-(5050)Транспорт-(2929)Туризм-(1568)Физика-(3942)Философия-(17015)Финансы-(26596)Химия-(22929)Экология-(12095)Экономика-(9961)Электроника-(8441)Электротехника-(4623)Энергетика-(12629)Юриспруденция-(1492)Ядерная техника-(1748)

Гидромеханический расчет




Цель гидравлического расчета: определяется сопротивление установки движению теплоносителей.

Из предыдущих разделов расчета имеем:

1. Фактические скорости движения греющего теплоносителя и нагреваемого теплоносителя в каналах теплообменника:

5.1

критерий Рейнольдса:

5.2

2. Коэффициенты общего гидравлического сопротивления единицы относительной длины канала:

5.3

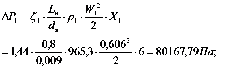
3. Гидравлическое сопротивление пакетов пластин:

5.4

5.5

где ζ - коэффициент общего гидравлического сопротивления;

d – эквивалентный диаметр, d=0,009 м;

ρ – плотность рабочей среды;
ω – скорость рабочей среды в межпластинном канале;

Х – число пакетов;

L п – Приведенная длина канала, L п =0,8 м.

4. Проверим скорости движения теплоносителей в штуцерах:

5.6

5.7

где диаметр условного прохода углового отверстия (по заданию),

, - объемные расходы греющего и нагреваемого теплоносителей (из теплового расчета)

Т.к. скорости теплоносителей в штуцерах меньше предельных (1,32<2,5м/с; 1,04<2,5м/с), то местное сопротивление штуцеров учтено при расчете коэффициентов и .

5. Общее гидравлическое сопротивление теплообменника:

для греющего теплоносителя:

Сопоставим заданные максимальное допустимые гидравлические сопротивления с расчетными:

для греющего теплоносителя:

для нагреваемого теплоносителя:

Гидравлические сопротивления находятся в пределах располагаемых значений, следовательно, расчет выполнен, верно.


 




Поделиться с друзьями:


Дата добавления: 2015-08-31; Просмотров: 369; Нарушение авторских прав?; Мы поможем в написании вашей работы!


Нам важно ваше мнение! Был ли полезен опубликованный материал? Да | Нет



studopedia.su - Студопедия (2013 - 2026) год. Все материалы представленные на сайте исключительно с целью ознакомления читателями и не преследуют коммерческих целей или нарушение авторских прав! Последнее добавление




Генерация страницы за: 0.01 сек.