Студопедия

КАТЕГОРИИ:


Архитектура-(3434)Астрономия-(809)Биология-(7483)Биотехнологии-(1457)Военное дело-(14632)Высокие технологии-(1363)География-(913)Геология-(1438)Государство-(451)Демография-(1065)Дом-(47672)Журналистика и СМИ-(912)Изобретательство-(14524)Иностранные языки-(4268)Информатика-(17799)Искусство-(1338)История-(13644)Компьютеры-(11121)Косметика-(55)Кулинария-(373)Культура-(8427)Лингвистика-(374)Литература-(1642)Маркетинг-(23702)Математика-(16968)Машиностроение-(1700)Медицина-(12668)Менеджмент-(24684)Механика-(15423)Науковедение-(506)Образование-(11852)Охрана труда-(3308)Педагогика-(5571)Полиграфия-(1312)Политика-(7869)Право-(5454)Приборостроение-(1369)Программирование-(2801)Производство-(97182)Промышленность-(8706)Психология-(18388)Религия-(3217)Связь-(10668)Сельское хозяйство-(299)Социология-(6455)Спорт-(42831)Строительство-(4793)Торговля-(5050)Транспорт-(2929)Туризм-(1568)Физика-(3942)Философия-(17015)Финансы-(26596)Химия-(22929)Экология-(12095)Экономика-(9961)Электроника-(8441)Электротехника-(4623)Энергетика-(12629)Юриспруденция-(1492)Ядерная техника-(1748)

Основные свойства цементного порошка, раствора и камня (ГОСТ 1581-96, ГОСТ 26798.1-96, ГОСТ 26798.2-96)




Условное обозначение портландцемента

Классификация портландцементов тампонажных

 

1 По вещественному составу цементы подразделяют на следующие типы:

I. тампонажный портландцемент бездобавочный;

I-G. тампонажный портландцемент бездобавочный с нормированными требованиями при водоцементном отношении, равном 0,44;

I-H. тампонажный портландцемент бездобавочный с нормированными требованиями при водоцементном отношении, равном 0,38;

II. тампонажный портландцемент с минеральными добавками;

III. тампонажный портландцемент со специальными добавка-

ми, регулирующими плотность цементного теста.

2 По плотности цементного теста цемент типа III подразделяют на:

- облегченный (Об);

- утяжеленный (Ут).

3 По температуре применения цементы типов I, II и III подразделяют на цементы, предназначенные для:

- низких и нормальных температур (15.50) °С;

- умеренных температур (51.100) °С;

- повышенных температур (101.150) °С.

4 По сульфатостойкости цементы подразделяют на:

а) типы I, II, III

- обычный (требования по сульфатостойкости не предъявляют);

- сульфатостойкий (СС);

б) типы I-G и I-H

- высокой сульфатостойкости (СС-1);

- умеренной сульфатостойкости (СС-2).

 

Условное обозначение цемента должно состоять из:

- буквенных обозначений цемента: ПЦТ. портландцемент тампонажный;

- обозначения типа цемента. по 1;

- обозначения сульфатостойкости цемента. по 4;

- обозначения средней плотности для цемента типа III.;

- обозначения максимальной температуры применения цемента. по 4.3;

- обозначения гидрофобизации или пластификации цемента. ГФ или ПЛ;

- обозначения настоящего стандарта.

 

Примеры условных обозначений

1) Портландцемент тампонажньй с минеральными добавками

сульфатостойкий для низких или нормальных температур

ПЦТ II-СС-50 ГОСТ 1581-96

2) Портландцемент тампонажньш бездобавочный с нормирован-

ными требованиями при водоцементном отношении, равном 0,44,

умеренной сульфатостойкости

ПЦТ I-G-CC-2 ГОСТ 1581-96

3) Портландцемент тампонажньш со специальными добавками

облегченный плотностью 1,53 г/см3, для умеренных температур гид-

рофобизированный

ПЦТ III-Об 5-100-ГФ ГОСТ 1581-96

 

 

1) Свойства порошка.

Плотность тампонажной смеси - масса единицы объема ее в плотном теле, т. е. за выче­том естественной пористости. Плотность сухой смеси зависит от состава последней и плотности каждого компонента

Масса единицы объема ее без вычета естественной пористости, именуемая удельной насып­ной массой, зависит от тонкости по­мола и уменьшается с увеличением последней. Так, удельная насыпная масса тампонажного портландцемента в рыхлом со­стоянии равна примерно 1200 кг/м3, а смесей этого цемента с тонкодисперснымн добавками может снизиться до 800 кг/м3. При уплотнении порошка, например, путем наложения вибраций удельная насыпная масса может возрасти в 1,2—1,5 раза.

Дисперсность или тонкость помола - остаток на сите с сеткой № 008 (мм) по ГОСТ 6613, %, не более.

Удельная поверхность, т. е. суммарная поверхность частиц, содержащихся в 1 кг материала, измеренная методом воздухо­проницаемости, может изменяться в зависимости от степени из­мельчения компонентов примерно от 250—350 для портландце­мента до 1000 м2/кг и даже до 1500 м2/кг для смесей базовых це­ментов с большим количеством тонкодисперсных добавок.

2) Свойства цементного раствора.

Относи­тельное водосодержание п тампонажного раствора - отношение массы воды к массе твердой фазы, взятым для его приготовле­ния. Для полной гидратации тампонажного портландцемента требуется 20—25% воды от его массы, т. е. п= 0,2 ÷0,25. Но те­сто, которое образуется при смешивании цемента с таким коли­чеством воды, оказывается практически непрокачиваемым. По­этому для получения раствора, который можно транспортиро­вать в скважину, всегда добавляют к цементу воды значитель­но больше, чем требуется для гидратации. В отечественной

практике за минимально необходимое обычно принимают такое водосодержанис, при котором диаметр круга расплыва раство­ра из стандартного конуса АзНИИ равен 18 см. Так, для ра­створа из тампонажного портландцемента минимальное п=0,35÷0,4. Наибольшее допустимое водосодержание ограни­чивается седиментационной устойчивостью тампонажного ра­створа.

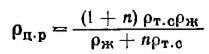
Плотность тампонажного раствора зависит от состава твер­дой фазы и относительного водосодержания. Если в состав при­готовляемого раствора не вводят газонаполненные гранулы (перлит, пламилон и т. п.) и раствор не аэрируют, плотность его можно рассчитать по формуле

 

 

где рж — плотность жидкости, с которой смешивают тампонажный порошок.

Подвижность тампонажного раствора и время загустевания.

Наиболее распространенный метод оценки подвижности тампонажных растворов — определение растекаемости по конусу АзНИИ. Он основан на замерении диаметра расплыва тампонажного раствора, который помещают в коническую форму стандарт­ных размеров, установленную на стеклянную поверхность, после того как форму поднимают с поверхности вертикально вверх.

Растекаемость портландцементного тампонажного раствора при В/Ц = 0,5 находится в пределах 18 — 25 см. Растекаемость специальных и модифицированных тампонажньи растворов, как правило, подбирает­ся путем варьирования В/Ц и всегда должна быть не менер 18 см. Ниж­ний предел растекаемости, при котором тампонажный раствор сохра­няет свою подвижность — 16 см.

В мировой практике широко применяется косвенный способ оценки подвижности по густоте (или конси­стенции) раствора, измеряемой в условных единицах с по­мощью специального прибора — консистометра, в котором вос­производятся температура и давление, ожидаемые при цементи­ровании. Регламентируется время загустевания до консистенции 30 Bс (Бердена), мин, не менее

Чтобы можно было воспроизводить условия давления и тем­пературы при цементировании, стакан прибора заключен в спе­циальный автоклав. Размеры стакана и рамки, жесткость кали­брованной пружины и скорость вращения стакана должны быть строго одинаковыми для всех приборов.

Считают, что консистенция есть величина, обратная подвиж­ности. Консистенция изменяется во времени по мере того, как развивается процесс гидратации (рис. 57). Удовлетво­рительно подвижными считают тампонажные растворы, консистенция которых достигает 30 Вс не менее чем за 90 мин. По мере развития гидратации вяжущего наступает период, когда раствор становится трудно прокачиваемым. Промежуток време­ни от начала смешивания тампонажного порошка с водой до момента, когда консистенция становится чрезмерно густой, а раствор — плохо подвижным, называют сроком загустевания. Обычно такой критической точкой считают консистенцию в 30 Вс.

 

Сроки схватывания. Сроком начала схваты­вания называют промежуток времени от начала затворения до момента, ког­да прочность структуры в неподвиж­ном тампонажном растворе, помещен­ном в стандартный конус, достигнет такой величины, что стандратная игла Вика, погружаемая в раствор, не до­ходит до нижней границы конуса на 1—2 мм. Под сроком конца схватыва­ния понимают промежуток времени от начала затворения до того момента, когда та же игла Вика будет погру­жаться в тесто не более чем на 1 мм. По сроку начала схватывания можно приближенно судить о сроке начала загустевания. По разнице в сроках конца и начала схватывания косвенно судят о темпе нарастания начальной прочности це­ментного камня.

 

Водоотделение тампонажного раствора. Потенциально любой тампонажный раствор кинети­чески неустойчив: сравнительно грубые частицы тяжелой твердой фазы его всегда стремятся опускаться вниз под действием силы тяжести относительно более легкой дисперсионной среды. Кон­центрация твердой фазы в растворе велика, поэтому осажде­ние частиц не подчиняется закону Стокса, а скорости осаждения более крупных и более тяжелых частиц практически одинаковы со скоростями осаждения более мелких и более легких частиц. Твердая фаза медленно опускается вниз, а вытесняемая ею свободная вода фильтруется вверх по поровым каналам между твердыми частицами. О седиментационной устойчивости судят прежде всего по величине водоотделения, т. е. по отношению объема воды, выделившейся из 250 см3 тампо­нажного раствора, налитого в мерный стеклянный цилиндр, за 2 ч покоя, к исходному объему раствора. Устойчивыми считаются растворы с водоотделением не более 8,5 и 7,5 мл.

Седиментационную устойчивость полезно контролировать также в опытах с раствором, налитым в коническую колбу или в узкий высокий цилиндр.

 

Водоотдача тампонажного раствора. Хорошими можно считать растворы, водоотдача которых через стандартный фильтр при перепаде давлений 7 МПа и температуре, ожидаемой в цементируемом интервале скважины, не превышает 10—15 см3 за 30 мин. Водоотдача раствора, приготовленного из тампонажного портландцемента при n=0,5, достигает 800 см3 и более.

3)Свойства цементного камня.

Прочность камня, образующе­гося из тампонажного раствора, интенсивно растет в первый пе­риод твердения, продолжающийся от нескольких часов до не­скольких суток, в зависимости от состава цемента, температу­ры, давления и других факторов. В дальнейшем интенсивность роста быстро уменьшается, но прочность постепенно может уве­личиваться в течение длительного времени, нередко многие ме­сяцы. Одновременно с ростом прочности уменьшается пластич­ность камня, он становится все более хрупким телом.

Прочность цементного камня определяют на сжатие и изгиб образцов-балочек 1 или 2 суток

 

Проницаемость цементного камня. Цементный камень является пористым телом. В процессе гидратации портландцемента при невысокой температуре радиус пор уменьшается от долей миллиметра в жидком тампонаж-ном растворе до единиц и даже сотых долей микрометра в сформировавшемся камне. При повышенных температурах в камне может происходить перекристаллизация неустойчивых продуктов гидратации, образовавшихся в начальный период твердения, в более устойчивые при данных условиях, при этом радиус пор увеличивается. По данным В. С. Данюшевского и К. А- Джаба-рова, средний радиус пор в камне трехмесячного возраста, сформировавшемся из раствора тампонажного портландцемента с п=0,5 при температуре 22°С, равен 0,012 мкм, при температуре 50°С — 0,025 мкм, а при температуре 160°С — уже 0,6 мкм.

Практически непроницаемым может быть тело лишь с субкапиллярными каналами, радиус которых менее 0,2 мкм. Даже в камне со средним радиусом пор 0,012 мкм имеется некоторое число достаточно крупных каналов с радиусом 1 мкм и более, благодаря которым камень становится проницаемым. По крупным поровым каналам жидкость может перетекать из одного пласта в другой или в атмосферу. Проникновение агрессивной пластовой жидкости по капиллярным каналам внутрь камня способствует интенсификации коррозии его. Важно поэтому контролировать проницаемость цементного камня и так регулировать состав его, чтобы предотвратить возможность образования значительного числа капиллярных и более крупных поровых каналов.

 

Химическая (коррозионная) стойкость цементного камня. ЕЕ судят по характеру изменения прочности и проницаемости, а также структуры его при длительном хранении в агрессивных средах(газообразный и растворенный сереоводород, соли магния, растворенная углекислота, сульфиды щелочных металлов, сульфаты, углекислый газ и т.д.). Камень можно считать коррозионностойким, если после длительного хранения в агрессивной пластовой воде (например, в течение 1 года) прочность не уменьшилась, а проницаемость не возросла.

 

Объемные изменения цементного камня. Процесс превращения тампонажного раствора в твердое тело может сопровождаться некоторым изменением его геометриче­ского объема(за счет контракции, усадки или набухания). Если при твердении теста геометрический объем его уменьшается, между цементным камнем и обсадной колон­ной, между камнем и стенками скважины может образоваться зазор, по которому проницаемые пласты будут сообщаться друг с другом. Для цементирования скважин пригодны лишь такие тампонажные смеси, при твердении растворов из которых гео­метрический объем несколько увеличивается (расширяющиеся смеси) либо остается неизменным (безусадочные цементы). Ко­нечно, увеличение объема при твердении должно идти без обра­зования трещин и значительного числа капиллярных поровых каналов.

 

 

 

 

 

 

 

 

 




Поделиться с друзьями:


Дата добавления: 2015-07-13; Просмотров: 4172; Нарушение авторских прав?; Мы поможем в написании вашей работы!


Нам важно ваше мнение! Был ли полезен опубликованный материал? Да | Нет



studopedia.su - Студопедия (2013 - 2026) год. Все материалы представленные на сайте исключительно с целью ознакомления читателями и не преследуют коммерческих целей или нарушение авторских прав! Последнее добавление




Генерация страницы за: 0.012 сек.