Студопедия

КАТЕГОРИИ:


Архитектура-(3434)Астрономия-(809)Биология-(7483)Биотехнологии-(1457)Военное дело-(14632)Высокие технологии-(1363)География-(913)Геология-(1438)Государство-(451)Демография-(1065)Дом-(47672)Журналистика и СМИ-(912)Изобретательство-(14524)Иностранные языки-(4268)Информатика-(17799)Искусство-(1338)История-(13644)Компьютеры-(11121)Косметика-(55)Кулинария-(373)Культура-(8427)Лингвистика-(374)Литература-(1642)Маркетинг-(23702)Математика-(16968)Машиностроение-(1700)Медицина-(12668)Менеджмент-(24684)Механика-(15423)Науковедение-(506)Образование-(11852)Охрана труда-(3308)Педагогика-(5571)Полиграфия-(1312)Политика-(7869)Право-(5454)Приборостроение-(1369)Программирование-(2801)Производство-(97182)Промышленность-(8706)Психология-(18388)Религия-(3217)Связь-(10668)Сельское хозяйство-(299)Социология-(6455)Спорт-(42831)Строительство-(4793)Торговля-(5050)Транспорт-(2929)Туризм-(1568)Физика-(3942)Философия-(17015)Финансы-(26596)Химия-(22929)Экология-(12095)Экономика-(9961)Электроника-(8441)Электротехника-(4623)Энергетика-(12629)Юриспруденция-(1492)Ядерная техника-(1748)

Кумулятивная перфорация




Механизм образования кумулятивной струи следующий. При взрыве вещества в виде цилиндрического заряда происходит почти мгновенное превращение его в газоподобные продукты, которые разлетаются во все стороны в направлениях, перпендикулярных к поверхности заряда. Суть эффекта кумуляции в том. что газоподобные продукты детонации части заряда, называющиеся активной частью и движущиеся к оси заряда, концентрируются в мощный поток, который называется кумулятивной струей. Если углубление в заряде облицовано тонким слоем металла, то при детонации заряда вдоль ее оси образуется кумулятивная струя, состоящая не только из газоподобных продуктов, но и из размягченного металла, который выделяется из металлической облицовки.

Имея очень высокую скорость в главной части (6-8 км/с), при ударе о твердую перегородку струя развивает такое давление, под воздействием которого наиболее прочные материалы разрушаются. Для большинства зарядов давление кумулятивной струи на перегородку составляет 20-30 ГПа. в то время как граница прочности горных пород в 400-600 раз меньше.

 

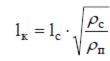
По гидродинамической теории кумуляции (М.А. Лаврентьев и Г.И. Покровский), длина пробитого канала 1к в перегородке не зависит от механической прочности материала перегородки, а определяется только соотношением плотностей материалов струи рс и перегородки рп:

Таким образом, длина каната в перегородке при проникновении в нее кумулятивной струи почти не зависит от прочности перегородки, благодаря чему кумулятивные перфораторы можно применять для вскрытия пластов с наиболее прочными породами.

Формирование перфорационных каналов в пласте носит следующий характер. При разрушении металлической облицовки от детонации заряда в кумулятивную струю переходит лишь 10 % ее массы. Остальная ее часть формируется в стержне сигароподобной формы - песте, который движется со скоростью около 1000 м\с. Обладая меньшей кинетической энергией и большим диаметром, чем главная часть струи, пест может застрять в уже образовавшемся канале и частично или даже полностью закупорить его. Около 15 % всех перфорационных канатов полностью закупорены застрявшим в обсадной колонне пестом.

Для образования кумулятивной струи при взрыве заряда необходимое условие - отсутствие в кумулятивной полости заряда любой жидкости, иначе от взрыва заряда вместо кумулятивного эффекта будет иметь место фугасное действие.

В связи с этим кумулятивные заряды перфораторов изолируют от скважинной жидкости путем размещения их в индивидуальные герметические

 

 

оболочки (бескорпусные перфораторы) или в общие герметические корпуса (корпусные перфораторы).

Корпусные кумулятивные перфораторы обеспечивают наименьшее нежелательное воздействие на обсадную колонну и затрубное цементное кольцо, так как основную часть энергии взрыва заряда воспринимает корпус перфоратора. При этом в зависимости от особенностей корпуса перфораторы делят на корпусные многоразового (ПК) и корпусные одноразового (ПКО) использования.

В перфораторах типа ПК корпус воспринимает не только гидростатическое давление, но и многократные взрывные нагрузки, поэтому толщина его должна быть больше, чем в перфораторах типа ПКО. Это приводит к тому, что при одних и тех же габаритах перфораторов в ПК масса заряда меньше, чем в ПКО. Из перфораторов типа ПК наиболее распространены перфораторы ПК105ДУ. ПК85ДУ. ПК95Н. а из перфораторов типа ПКО - перфораторы ПК089. ПК073.

Бескорпусные кумулятивные перфораторы с зарядами в индивидуальных оболочках позволяют значительно ускорять проведение прострелочно-взрывных работ, так как за один спуск перфоратора может быть вскрыто 30 м пласта. Малогабаритными бескорпусными перфораторами можно выполнять вторичное вскрытие пластов, спуская их внутрь насосно-компрессорных труб. Однако степень воздействия этих перфораторов на обсадную колонну и цементное кольцо значительно больше, чем при использовании корпусных перфораторов. Кроме того, после взрыва зарядов на забое остаются обломки от корпусов заряда и соединяющих деталей, наличие которых позже может привести к осложнениям при эксплуатации скважины.

Из корпусных полуразрушающихся перфораторов на промыслах наиболее распространены перфораторы в стеклянных оболочках ПКС8О. ПКС105. ПКС65. из разрушающихся - перфораторы с зарядами в алюминиевых оболочках КПРУ65. ПР54.

Размеры перфорационных каналов, которые образуются при отстреле зарядов наиболее распространенных кумулятивных перфораторов в поверхностных условиях и при давлении 30 МПа по одинаковым целям с породой прочностью при одноосном сжатии 45 МПа. показаны на рисунке 7.1 [мз - масса заряда. 1к - длина канала).

В таблицах приведены классификация типов кумулятивных перфораторов и области применения стреляющих перфораторов, рекомендуемых для вскрытия пластов.

 

Рисунок - Размеры перфорационных каналов при давлении атмосферном (а) и 30 МПа (6).

 

 

6. Освоение скважин.

 

 

 

 

 

 

6.1. Вызов притока замещением жидкости в эксплуатационной колонне

 

 

 

 




Поделиться с друзьями:


Дата добавления: 2015-07-13; Просмотров: 2764; Нарушение авторских прав?; Мы поможем в написании вашей работы!


Нам важно ваше мнение! Был ли полезен опубликованный материал? Да | Нет



studopedia.su - Студопедия (2013 - 2026) год. Все материалы представленные на сайте исключительно с целью ознакомления читателями и не преследуют коммерческих целей или нарушение авторских прав! Последнее добавление




Генерация страницы за: 0.014 сек.