Студопедия

КАТЕГОРИИ:


Архитектура-(3434)Астрономия-(809)Биология-(7483)Биотехнологии-(1457)Военное дело-(14632)Высокие технологии-(1363)География-(913)Геология-(1438)Государство-(451)Демография-(1065)Дом-(47672)Журналистика и СМИ-(912)Изобретательство-(14524)Иностранные языки-(4268)Информатика-(17799)Искусство-(1338)История-(13644)Компьютеры-(11121)Косметика-(55)Кулинария-(373)Культура-(8427)Лингвистика-(374)Литература-(1642)Маркетинг-(23702)Математика-(16968)Машиностроение-(1700)Медицина-(12668)Менеджмент-(24684)Механика-(15423)Науковедение-(506)Образование-(11852)Охрана труда-(3308)Педагогика-(5571)Полиграфия-(1312)Политика-(7869)Право-(5454)Приборостроение-(1369)Программирование-(2801)Производство-(97182)Промышленность-(8706)Психология-(18388)Религия-(3217)Связь-(10668)Сельское хозяйство-(299)Социология-(6455)Спорт-(42831)Строительство-(4793)Торговля-(5050)Транспорт-(2929)Туризм-(1568)Физика-(3942)Философия-(17015)Финансы-(26596)Химия-(22929)Экология-(12095)Экономика-(9961)Электроника-(8441)Электротехника-(4623)Энергетика-(12629)Юриспруденция-(1492)Ядерная техника-(1748)

Тесты для проверки усвоения пройденного материала

Наращение суммы для потока В

Наращение суммы для потока А

:

k Платеж Проценты Наращенная сумма
    - 100,00
    12,00 312,00
    37,44 549,44
    65,93 915,37
    109,84 1325,21
Итого   225,21 x

Таким образом, наращенная сумма потока А через пять лет составит 1'325,21 рублей.

k Платеж Проценты Наращенная сумма
    - 200,00
  - 24,00 224,00
    26,88 450,88
  - 54,11 504,99
    60,60 765,59
Итого   165,59 x

Для потока В наращенная сумма через пять лет составит 765,59 рублей.

Если воспользуемся вышеприведенной формулой, то

  • для потока А наращенная величина составит:

FVA = 100 • (1 + 0,12)4 + 200 • (1 + 0,12)3 + 200 • (1 + 0,12)2 +

+ 200 • (1 + 0,12)1 + 300 = 1'325,22 руб.

  • для потока В наращенная величина составит:

FVA = 200 • (1 + 0,12)4 + 200 • (1 + 0,12)2 + 200 = 765,58 руб.

Таким образом, расчет по формуле для нерегулярных потоков платежей дает такой же результат, как и прямой счет.

 

В заданиях, представленных в форме теста необходимо выбрать правильный вариант ответа. Иногда правильных ответов может быть два и более. Ответы на тесты приведены в конце пособия.

  1. Поток платежей - это:
    • A – рост инвестированного капитала на величину процентов;
    • B – распределенные во времени выплаты и поступления;
    • C – перманентное обесценивание денег;
    • D – платеж в конце периода.
  2. Вечная рента - это:
    • A – рента, подлежащая безусловной выплате;
    • B – рента с выплатой в начале периода;
    • C – рента с бесконечным числом членов;
    • D – рента с неравными членами.
  3. Аннуитет - это:
    • A – частный случай потока платежей, когда члены потока только положительные величины;
    • B – частный случай потока платежей, когда число равных временных интервалов ограничено;
    • C – частный случай потока платежей, когда члены равны и имеют одинаковую направленность, а периоды ренты одинаковы.
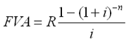
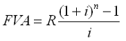
  4. Наращенная величина годовой постоянной обычной ренты определяется по формуле:
    • A –
    • B – FVA = R (1 + i) n - 1
    • C –
    • D –
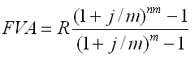
  5. Наращенная сумма ренты пренумерандо рассчитывается по формуле:
    • A –
    • B –
    • C –
  6. Современная величина годовой обычной ренты определяется по формуле:
    • A –
    • B –
    • C –
  7. Для определения члена ренты необходимо знать:
    • A – наращенную сумму;
    • B – первоначальную сумму;
    • C – первоначальную и наращенную сумму;
    • D – только процентную ставку и срок ренты.
  8. Для оценки бессрочного аннуитета не имеет смысла определение:
    • A – современной величины аннуитета;
    • B – наращенной величины аннуитета;
    • C – члена ренты.
  9. Нерегулярные потоки платежей характеризуются присутствием нерегулярного параметра:
    • A – периода ренты;
    • B – размера платежа;
    • C – процентной ставки.
<== предыдущая лекция | следующая лекция ==>
Нерегулярные потоки платежей | Сущность инфляции и необходимость ее учета в количественном анализе
Поделиться с друзьями:


Дата добавления: 2014-01-04; Просмотров: 321; Нарушение авторских прав?; Мы поможем в написании вашей работы!


Нам важно ваше мнение! Был ли полезен опубликованный материал? Да | Нет



studopedia.su - Студопедия (2013 - 2025) год. Все материалы представленные на сайте исключительно с целью ознакомления читателями и не преследуют коммерческих целей или нарушение авторских прав! Последнее добавление




Генерация страницы за: 0.009 сек.