Студопедия

КАТЕГОРИИ:


Архитектура-(3434)Астрономия-(809)Биология-(7483)Биотехнологии-(1457)Военное дело-(14632)Высокие технологии-(1363)География-(913)Геология-(1438)Государство-(451)Демография-(1065)Дом-(47672)Журналистика и СМИ-(912)Изобретательство-(14524)Иностранные языки-(4268)Информатика-(17799)Искусство-(1338)История-(13644)Компьютеры-(11121)Косметика-(55)Кулинария-(373)Культура-(8427)Лингвистика-(374)Литература-(1642)Маркетинг-(23702)Математика-(16968)Машиностроение-(1700)Медицина-(12668)Менеджмент-(24684)Механика-(15423)Науковедение-(506)Образование-(11852)Охрана труда-(3308)Педагогика-(5571)Полиграфия-(1312)Политика-(7869)Право-(5454)Приборостроение-(1369)Программирование-(2801)Производство-(97182)Промышленность-(8706)Психология-(18388)Религия-(3217)Связь-(10668)Сельское хозяйство-(299)Социология-(6455)Спорт-(42831)Строительство-(4793)Торговля-(5050)Транспорт-(2929)Туризм-(1568)Физика-(3942)Философия-(17015)Финансы-(26596)Химия-(22929)Экология-(12095)Экономика-(9961)Электроника-(8441)Электротехника-(4623)Энергетика-(12629)Юриспруденция-(1492)Ядерная техника-(1748)

Содержащие отдельные элементы

Цепи переменного тока,

а) Цепь переменного тока с активным сопротивлением .

Сопротивление называется активным, потому, что в нем происходит необратимая потеря энергии.

В данной цепи (рис.13.1) резистор включен параллельно входному напряжению

,

поэтому на резисторе напряжение :

 

 

Рис.13.1

Следовательно, колебания тока и напряжения происходят в одной фазе (рис.13.2)

Закон Ома для амплитудых значений тока и напряжения

 

Рис.13.2

 

Для данной цепи векторная диаграмма приведена на рис.13.3:

Рис. 13.3

 

б) Цепь переменного тока с катушкой индуктивности

На цепь (рис.13.4) подается входное напряжение

Считаем .

, т.е.

 

Рис. 13.4

 

При прохождении переменного тока по катушке в ней создается эдс самоиндукции . Мгновенные значения напряжения на катушке и эдс индукции уравновешиваются :

.

Здесь -закон Ома для цепи с катушкой индуктивности, - индуктивное сопротивление. Оно учитывает влияние эдс индукции, противодействующей приложенному напряжению, на силу тока. На катушке индуктивности нет потерь энергии, поэтому его называют реактивным сопротивлением.

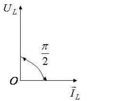
В цепи переменного тока с индуктивным сопротивлением ток отстает от напряжения по фазе на .

На рис.13.5 приведена волновая диаграмма, а на рис.13.6 векторная диаграмма

 

    Рис. 13.5   Рис. 13.6

в) Цепь переменного тока с конденсатором.

Конденсатор не пропускает постоянный ток, но его перезарядка при подключении к источнику переменного тока приводит к наличию тока в цепи (рис. 13.7).

 

Рис.13.7

В данной цепи , аКонденсатор включен параллельно , поэтому

.

Мгновенныезначения входного напряжения и напряжения на конденсаторе уравновешиваются, поэтому

,

Сила тока в цепи .

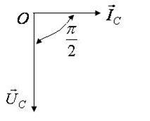
Откуда следует, что ток опережает по фазе напряжение на .

На рис.13.8 приведена волновая диаграмма, а на рис.13.9 векторная диаграмма

Рис. 13.8 Рис. 13.9

закон Ома для ЦПТ с конденсатором.

ёмкостное сопротивление.

 

 

<== предыдущая лекция | следующая лекция ==>
Биологические основы реографии | ЦПТ, содержащая последовательно включенные
Поделиться с друзьями:


Дата добавления: 2014-01-04; Просмотров: 310; Нарушение авторских прав?; Мы поможем в написании вашей работы!


Нам важно ваше мнение! Был ли полезен опубликованный материал? Да | Нет



studopedia.su - Студопедия (2013 - 2026) год. Все материалы представленные на сайте исключительно с целью ознакомления читателями и не преследуют коммерческих целей или нарушение авторских прав! Последнее добавление




Генерация страницы за: 0.009 сек.