Студопедия

КАТЕГОРИИ:


Архитектура-(3434)Астрономия-(809)Биология-(7483)Биотехнологии-(1457)Военное дело-(14632)Высокие технологии-(1363)География-(913)Геология-(1438)Государство-(451)Демография-(1065)Дом-(47672)Журналистика и СМИ-(912)Изобретательство-(14524)Иностранные языки-(4268)Информатика-(17799)Искусство-(1338)История-(13644)Компьютеры-(11121)Косметика-(55)Кулинария-(373)Культура-(8427)Лингвистика-(374)Литература-(1642)Маркетинг-(23702)Математика-(16968)Машиностроение-(1700)Медицина-(12668)Менеджмент-(24684)Механика-(15423)Науковедение-(506)Образование-(11852)Охрана труда-(3308)Педагогика-(5571)Полиграфия-(1312)Политика-(7869)Право-(5454)Приборостроение-(1369)Программирование-(2801)Производство-(97182)Промышленность-(8706)Психология-(18388)Религия-(3217)Связь-(10668)Сельское хозяйство-(299)Социология-(6455)Спорт-(42831)Строительство-(4793)Торговля-(5050)Транспорт-(2929)Туризм-(1568)Физика-(3942)Философия-(17015)Финансы-(26596)Химия-(22929)Экология-(12095)Экономика-(9961)Электроника-(8441)Электротехника-(4623)Энергетика-(12629)Юриспруденция-(1492)Ядерная техника-(1748)

Программирование последовательных вычислений




Тема № 2. Программирование базовых алгоритмов

Для реализации алгоритма линейной структуры в языке Pascal используются следующие операторы.

1. Составной оператор представляет собой последовательность нескольких простых операторов, выделяемых операторными скобками (логическими скобками). Оператор начинается словом begin и заканчивается словом end.

Этот оператор имеет вид:

begin

Op1;

OpN

end

где begin – начало, end – конец, Op1 – оператор 1-й, OpN – оператор N-й.

Это означает, что надо выполнять оператор Op1, … выполнять оператор OpN.

Составному оператору соответствует фрагмент блок-схемы

2. Оператор присваивания позволяет изменять текущее значение переменной. Значение выражения, записанного в правой части оператора присваивания, присваивается переменной, которая указывается в левой части этого оператора.

Этот оператор имеет вид:

P:= V

где P – переменная, V – выражение.

Это означает, что переменной P присваивается значение выражения V.

Оператору присваивания соответствует блок

3. Операторы ввода осуществляют ввод значений переменных с клавиатуры или из файла. Операторы ввода представляют собой стандартные процедуры с заранее неизвестным числом параметров.

Операторы ввода имеют вид:

read (P1, …, PN)

readln (P1, …, PN)

где read – считывать, readln – считывать до новой строки (read-on-line), P1 – переменная 1-я, PN – переменная N-я.

Операторreadпозволяет последовательно вводить значения переменных P1 … PN, а операторreadln, кроме этого, позволяет дополнительно перевести курсор на новую строку.

Операторам ввода соответствует блок

4. Операторы вывода осуществляют вывод значений выражений на экран или в файл. Операторы вывода представляют собой стандартные процедуры с заранее неизвестным числом параметров.

Операторы вывода имеют вид:

write (V1, …, VN)

writeln (V1, …, VN)

где write – записывать, writeln – записывать до новой строки (write-on-line), V1 – выражение 1-е, VN – выражение N-е.

Операторwrite позволяет последовательно выводить значения выражений V1 … VN, а операторwriteln, кроме этого, позволяет дополнительно перевести курсор на новую строку.

Операторам вывода соответствует блок

В операторах вывода также может выводиться пояснительный текст, заключаемый в кавычки. Этот пояснительный текст является константой строкового типа, а также может содержать русские буквы и другие символы.

Формат вывода переменных вещественного типа может иметь вид:

P: KP: KZ

где P – переменная, KP – количество позиций, KZ – количество цифр после запятой.

Это означает, что числовое значение переменной P должно занимать KP позиций, в т.ч. KZ цифр в дробной части.

Формат вывода любых числовых переменных может иметь вид:

P: KP

где P – переменная, KP – количество позиций.

Это означает, что числовое значение переменной P должно занимать KP позиций, причём целое число выводится в привычном математическом виде, а дробное число будет выводиться в экспоненциальной форме с мантиссой и порядком.

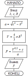
Задача 1.

Условие задачи. Найти величину , где катет треугольника , а объем шара .

Блок-схема.

 
 

 


Программа.

Program z1;

Var

a,b,c,R,V,F:real;

Begin

read(b,c,R);

a:=sqrt(sqr(c)-sqr(b));

V:=4/3*pi*R*R*R;

F:=(exp(0.2*ln(V))+c)/a;

writeln(F);

End.




Поделиться с друзьями:


Дата добавления: 2014-01-04; Просмотров: 357; Нарушение авторских прав?; Мы поможем в написании вашей работы!


Нам важно ваше мнение! Был ли полезен опубликованный материал? Да | Нет



studopedia.su - Студопедия (2013 - 2026) год. Все материалы представленные на сайте исключительно с целью ознакомления читателями и не преследуют коммерческих целей или нарушение авторских прав! Последнее добавление




Генерация страницы за: 0.011 сек.