Студопедия

КАТЕГОРИИ:


Архитектура-(3434)Астрономия-(809)Биология-(7483)Биотехнологии-(1457)Военное дело-(14632)Высокие технологии-(1363)География-(913)Геология-(1438)Государство-(451)Демография-(1065)Дом-(47672)Журналистика и СМИ-(912)Изобретательство-(14524)Иностранные языки-(4268)Информатика-(17799)Искусство-(1338)История-(13644)Компьютеры-(11121)Косметика-(55)Кулинария-(373)Культура-(8427)Лингвистика-(374)Литература-(1642)Маркетинг-(23702)Математика-(16968)Машиностроение-(1700)Медицина-(12668)Менеджмент-(24684)Механика-(15423)Науковедение-(506)Образование-(11852)Охрана труда-(3308)Педагогика-(5571)Полиграфия-(1312)Политика-(7869)Право-(5454)Приборостроение-(1369)Программирование-(2801)Производство-(97182)Промышленность-(8706)Психология-(18388)Религия-(3217)Связь-(10668)Сельское хозяйство-(299)Социология-(6455)Спорт-(42831)Строительство-(4793)Торговля-(5050)Транспорт-(2929)Туризм-(1568)Физика-(3942)Философия-(17015)Финансы-(26596)Химия-(22929)Экология-(12095)Экономика-(9961)Электроника-(8441)Электротехника-(4623)Энергетика-(12629)Юриспруденция-(1492)Ядерная техника-(1748)

Рівновага в процесах екстракції

Вступ

Екстракція

Екстракція - вилучення одної або декількох розчинних речовин з однієї рідкої фази іншою, яка практично не змішується з першою.

Процес широко застосовується для вилучення цінних продуктів з розбавлених розчинів, а також для отримання концентрованих розчинів. Екстракція - це один з основних способів розділення рідких однорідних сумішей.

Рис. 11.0.1 Принципова схема поєднання процесів екстракції і ректифікації.

 

В більшості випадків екстракція використовується разом з ректифікацією. Нехай в розчиннику L розчинна розподіляюча речовин М, і концентрація розчину (вихідної суміші) незначна. Можна підібрати другий розчинник G (екстрагент) і очищений від речовини, що розподіляється, розчинник L (рафінат).

Оскільки витрата тепла на ректифікацію різко зменшується з ростом концентрації вихідної речовини, яка розділяється, в суміші, попереднє екстрагування дозволяє значно зменшити затрати тепла на розділення вихідної суміші.

Принципова схема поєднання і ректифікації показана на рис. 11.0.1

 

Рівновага для систем рідина - речовина, що розподіляється, - рідина підлягає закону розподілення Відповідно до цього закону відношення рівноважних концентрацій розподіленої між двома рідкими фазами речовини при постійній температурі є величина постійна, вона називається коефіцієнтом розподілення.

Нехай фазами, що розподіляються, є G і L, а рівноважними концентраціями будують
СG1 і СL1, СG2 і СL2, Cg3 і СL3 , Cg і СL, тоді за законом розподілення:

(11.1.1)

або

Cg=ψCl, (11.1.2)

де ψ - коефіцієнт розподілення.

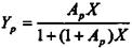
В рівнянні (11.1.2) концентрація виражена в кг/м3. Якщо позначити концентрації речовини, що розподіляється в фазах, через у і х [в кг/кг інертної речовини(розчинника)] і позначити густини фаз G і L через ρG і ρl, рівняння (11.1.2) набуває вигляду:

(11.1.3)

де

(11.1.4)

Добутком (1+Ар)Х при малих концентраціях X можна знехтувати, тому

Yp = ApX (11.1.5)

<== предыдущая лекция | следующая лекция ==>
Тепловий баланс ректифікації | Трикутна діаграма
Поделиться с друзьями:


Дата добавления: 2014-01-04; Просмотров: 272; Нарушение авторских прав?; Мы поможем в написании вашей работы!


Нам важно ваше мнение! Был ли полезен опубликованный материал? Да | Нет



studopedia.su - Студопедия (2013 - 2026) год. Все материалы представленные на сайте исключительно с целью ознакомления читателями и не преследуют коммерческих целей или нарушение авторских прав! Последнее добавление




Генерация страницы за: 0.013 сек.