Студопедия

КАТЕГОРИИ:


Архитектура-(3434)Астрономия-(809)Биология-(7483)Биотехнологии-(1457)Военное дело-(14632)Высокие технологии-(1363)География-(913)Геология-(1438)Государство-(451)Демография-(1065)Дом-(47672)Журналистика и СМИ-(912)Изобретательство-(14524)Иностранные языки-(4268)Информатика-(17799)Искусство-(1338)История-(13644)Компьютеры-(11121)Косметика-(55)Кулинария-(373)Культура-(8427)Лингвистика-(374)Литература-(1642)Маркетинг-(23702)Математика-(16968)Машиностроение-(1700)Медицина-(12668)Менеджмент-(24684)Механика-(15423)Науковедение-(506)Образование-(11852)Охрана труда-(3308)Педагогика-(5571)Полиграфия-(1312)Политика-(7869)Право-(5454)Приборостроение-(1369)Программирование-(2801)Производство-(97182)Промышленность-(8706)Психология-(18388)Религия-(3217)Связь-(10668)Сельское хозяйство-(299)Социология-(6455)Спорт-(42831)Строительство-(4793)Торговля-(5050)Транспорт-(2929)Туризм-(1568)Физика-(3942)Философия-(17015)Финансы-(26596)Химия-(22929)Экология-(12095)Экономика-(9961)Электроника-(8441)Электротехника-(4623)Энергетика-(12629)Юриспруденция-(1492)Ядерная техника-(1748)

Виплати декілька разів на рік

Розглянемо випадок, коли виплати суми проводяться разів на рік, тобто в моменти часу , поки людина жива. Чиста одиночна премія такого аннуітету позначається . По аналогії з (2.8) ми маємо

. (3.1)

Звідси отримуємо

. (3.2)

Це рівняння можна інтерпретувати так: Аннуітет життя, який виплачується разів на рік, можна розглядати як різницю двох вічних аннуітетів, які починаються в моменти 0 і . Усереднюючи, отримаємо (3.2).

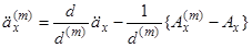
Для отримання виразу через ми знову використаємо ситуацію А розділу 6 теми 2, звідки формула (3.10) теми 3 дозволяє виразити з (3.2) в термінах . Замінюючи потім , ми можемо записати (3.2) у вигляді

. (3.3)

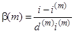
Ввівши позначення

и , (3.4)

ми можемо записати (3.2) коротше

. (3.5)

При коефіцієнти і протабульовані нижче для (помісячні платежі) і (неперервні платежі).

M
  1.000197 0.46651
1.000198 0.50823

 

Як правило використовується апроксимація

, . (3.6)

Ця апроксимація отримується з розкладу ряд Тейлора коефіцієнтів в околі , тобто

, (3.7)

. (3.8)

Очевидно, що ця апроксимація корисна тільки у випадку, коли сила відсотку достатньо мала.

Чиста одиночна премія термінового аннуітету життя pre-numerando з платежами щорічно може бути тепер виражена з використанням і :

. (3.9)

Чисту одиночну премію аннуітету post-numerando можна обчислити в термінах відповідних аннуітетів pre-numerando:

. (3.10)

Повернемося до обчислення . Рівняння (2.8) і (3.1) дають точне співвідношення

, (3.11)

яке можна інтерпретувати так: Аннуітет життя з лівої сторони означає виплати суми в моменти часу і дорівнює різниці двох термінових аннуітетів, перший з виплатами в моменти , а другий – в моменти . Другий терміновий аннуітет в свою чергу може розглядатися як різниця двох нескінченних аннуітетів (які починаються в моменти і ). Перший терміновий аннуітет має таке ж поточне значення, як аннуітет pre-numerando з щорічними виплатами сумі. Усереднюючи ці поточні значення, отримуємо (3.11).

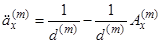
При ситуації А використання (3.10) дає

. (3.12)

Ця формула має очевидну інтерпретацію, на відміну від математично еквівалентної формули (3.5).

<== предыдущая лекция | следующая лекция ==>
Прості види аннуітетів. Аннуїтети пренумерандо і постнумерандо | Змінні аннуітети
Поделиться с друзьями:


Дата добавления: 2014-01-04; Просмотров: 379; Нарушение авторских прав?; Мы поможем в написании вашей работы!


Нам важно ваше мнение! Был ли полезен опубликованный материал? Да | Нет



studopedia.su - Студопедия (2013 - 2026) год. Все материалы представленные на сайте исключительно с целью ознакомления читателями и не преследуют коммерческих целей или нарушение авторских прав! Последнее добавление




Генерация страницы за: 0.011 сек.