Студопедия

КАТЕГОРИИ:


Архитектура-(3434)Астрономия-(809)Биология-(7483)Биотехнологии-(1457)Военное дело-(14632)Высокие технологии-(1363)География-(913)Геология-(1438)Государство-(451)Демография-(1065)Дом-(47672)Журналистика и СМИ-(912)Изобретательство-(14524)Иностранные языки-(4268)Информатика-(17799)Искусство-(1338)История-(13644)Компьютеры-(11121)Косметика-(55)Кулинария-(373)Культура-(8427)Лингвистика-(374)Литература-(1642)Маркетинг-(23702)Математика-(16968)Машиностроение-(1700)Медицина-(12668)Менеджмент-(24684)Механика-(15423)Науковедение-(506)Образование-(11852)Охрана труда-(3308)Педагогика-(5571)Полиграфия-(1312)Политика-(7869)Право-(5454)Приборостроение-(1369)Программирование-(2801)Производство-(97182)Промышленность-(8706)Психология-(18388)Религия-(3217)Связь-(10668)Сельское хозяйство-(299)Социология-(6455)Спорт-(42831)Строительство-(4793)Торговля-(5050)Транспорт-(2929)Туризм-(1568)Физика-(3942)Философия-(17015)Финансы-(26596)Химия-(22929)Экология-(12095)Экономика-(9961)Электроника-(8441)Электротехника-(4623)Энергетика-(12629)Юриспруденция-(1492)Ядерная техника-(1748)

Рекурентні формули. Обмежимося аналізом рекурентних формул для функції

Обмежимося аналізом рекурентних формул для функції . Замінивши на у всіх, крім першого, доданку рівності (2.5), отримаємо

. (6.1)

Значення можна підрахувати послідовно, починаючи з максимально можливого віку.

Вираз (6.1) можна представити в еквівалентній формі

. (6.2)

Звідси видно, що чиста одиночна премія забезпечує платіж вперед для віку плюс поточне значення чистої одиночної премії для віку мінус очікуване зменшення з причини смертності.

Застосування (6.2) до віку дає

. (6.3)

Помноживши це співвідношення на і сумуючи по , отримаємо

. (6.4)

Тому чиста страхова премія може розглядатися як поточне значення нескінченного аннуітету, зменшеного кожного року з врахуванням смертності.

Нарешті, запишемо (6.2) в формі

, (6.5)

звідки очевидним є залежність прибутку від відсоткової ставки.

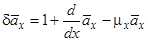
По аналогії з (6.5) можна отримати диференціальне рівняння

(6.6)

підстановкою співвідношень

, (6.7)

в формулу (6.11) лекції 3.

<== предыдущая лекция | следующая лекция ==>
Стандартні типи аннуітетів життя | Нерівності
Поделиться с друзьями:


Дата добавления: 2014-01-04; Просмотров: 365; Нарушение авторских прав?; Мы поможем в написании вашей работы!


Нам важно ваше мнение! Был ли полезен опубликованный материал? Да | Нет



studopedia.su - Студопедия (2013 - 2026) год. Все материалы представленные на сайте исключительно с целью ознакомления читателями и не преследуют коммерческих целей или нарушение авторских прав! Последнее добавление




Генерация страницы за: 0.012 сек.