Студопедия

КАТЕГОРИИ:


Архитектура-(3434)Астрономия-(809)Биология-(7483)Биотехнологии-(1457)Военное дело-(14632)Высокие технологии-(1363)География-(913)Геология-(1438)Государство-(451)Демография-(1065)Дом-(47672)Журналистика и СМИ-(912)Изобретательство-(14524)Иностранные языки-(4268)Информатика-(17799)Искусство-(1338)История-(13644)Компьютеры-(11121)Косметика-(55)Кулинария-(373)Культура-(8427)Лингвистика-(374)Литература-(1642)Маркетинг-(23702)Математика-(16968)Машиностроение-(1700)Медицина-(12668)Менеджмент-(24684)Механика-(15423)Науковедение-(506)Образование-(11852)Охрана труда-(3308)Педагогика-(5571)Полиграфия-(1312)Политика-(7869)Право-(5454)Приборостроение-(1369)Программирование-(2801)Производство-(97182)Промышленность-(8706)Психология-(18388)Религия-(3217)Связь-(10668)Сельское хозяйство-(299)Социология-(6455)Спорт-(42831)Строительство-(4793)Торговля-(5050)Транспорт-(2929)Туризм-(1568)Физика-(3942)Философия-(17015)Финансы-(26596)Химия-(22929)Экология-(12095)Экономика-(9961)Электроника-(8441)Электротехника-(4623)Энергетика-(12629)Юриспруденция-(1492)Ядерная техника-(1748)

Спектральная плотность стационарного случайного процесса

Спектральные плотности реализации.

Спектральное представление стационарных случайных процессов.

Корреляционная теория случайных процессов.

Лекция №15

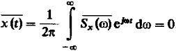
Рассмотрим стационарный случайный процесс X(t), с первым математическим ожиданием Саму функцию модно найти с помощью обратного преобразования Фурье:

(1)

Свойства случайной спектральной.

Усредним значения сигналов по ансамблю реализации:

(2)

Т.к. сигнал вещественный, то

(3)

И

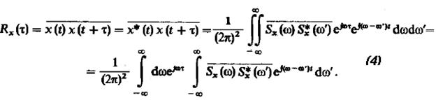
Во внутреннем подынтегральном выражении содержится множитель, который имеет смысл функции корреляции случайной спектральной плотности, чтобы не зависело от t необходимо: (5) такой вид корреляционной связи называется – дельта- коррелированностью.

Введём функцию - спектральной плотности мощности процесса (спектр мощности).

(6).

Подставив (6) в (4) получаем:

(7). Или (8).

Формула (7) и (8) составляют содержание теоремы Винера – Хинчина. Если и поскольку , получаем:

(9)

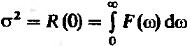
Дисперсия равная средней мощности функций спектрального случайного процесса, есть сумма вкладов от всех участков частотной оси.

Односторонний спектр мощности.

Т.к чётная функция соответствующий спектральной мощности четная функция частоты

(10)

 

(11)

Введём односторонний спектр мощности:

(12)

Функция позволяет вычислить дисперсию стационарного случайного процесса, причём интегрированная по положительным частотам:

(13).

В технических расчётах вводят односторонний спектр мощности N (f) – представляющий собой среднюю мощность случайного процесса, приходящегося на интервал частот шириной в 1кГц.

при этом легко видеть:

(14)

3.Интервал корреляции.

Случайные процессы в радиотехнике обладают следующими свойствами: их функция корреляции стремится к нулю, с увеличением временного сдвига числовой характеристикой для скорости изменения реализации случайного процесса является интервал корреляции.

(15)

Эффективная ширина спектра.

Рассмотрим выражение:

(16)

Где односторонний спектр мощности,

экстремальное значение этой функции на интервале

(17)

Этой величиной часто пользуются для инженерного расчёта дисперсии шумового сигнала.

4.Белый шум.

В радиотехнике так называется стационарный случайный процесс с постоянной на всех частотах спектральной плотностью мощности:

(18)

Термин «белый шум» подчёркивает аналогию с «белым» (естественным) светом у которого в пределах видимого диапазона интенсивность всех спектральных составляющих одинакова. По теореме Винера – Хинчина:

(19).

Средняя мощность (дисперсия) белого шума неограниченно велика.

 

<== предыдущая лекция | следующая лекция ==>
Корреляция. Свойства функции корреляции стационарных процессов | 
Поделиться с друзьями:


Дата добавления: 2013-12-12; Просмотров: 1514; Нарушение авторских прав?; Мы поможем в написании вашей работы!


Нам важно ваше мнение! Был ли полезен опубликованный материал? Да | Нет



studopedia.su - Студопедия (2013 - 2026) год. Все материалы представленные на сайте исключительно с целью ознакомления читателями и не преследуют коммерческих целей или нарушение авторских прав! Последнее добавление




Генерация страницы за: 0.012 сек.