Студопедия

КАТЕГОРИИ:


Архитектура-(3434)Астрономия-(809)Биология-(7483)Биотехнологии-(1457)Военное дело-(14632)Высокие технологии-(1363)География-(913)Геология-(1438)Государство-(451)Демография-(1065)Дом-(47672)Журналистика и СМИ-(912)Изобретательство-(14524)Иностранные языки-(4268)Информатика-(17799)Искусство-(1338)История-(13644)Компьютеры-(11121)Косметика-(55)Кулинария-(373)Культура-(8427)Лингвистика-(374)Литература-(1642)Маркетинг-(23702)Математика-(16968)Машиностроение-(1700)Медицина-(12668)Менеджмент-(24684)Механика-(15423)Науковедение-(506)Образование-(11852)Охрана труда-(3308)Педагогика-(5571)Полиграфия-(1312)Политика-(7869)Право-(5454)Приборостроение-(1369)Программирование-(2801)Производство-(97182)Промышленность-(8706)Психология-(18388)Религия-(3217)Связь-(10668)Сельское хозяйство-(299)Социология-(6455)Спорт-(42831)Строительство-(4793)Торговля-(5050)Транспорт-(2929)Туризм-(1568)Физика-(3942)Философия-(17015)Финансы-(26596)Химия-(22929)Экология-(12095)Экономика-(9961)Электроника-(8441)Электротехника-(4623)Энергетика-(12629)Юриспруденция-(1492)Ядерная техника-(1748)

Асимметрия и эксцесс. Проверка нормальности распределения

Нормальное распределение

Одним из важнейших в математической статистике является понятие нормального распределения. Нормальное распределение (называемое также распределением Гаусса), характеризуется тем, что крайние значения признака в нем встречаются достаточно редко, а значения, близкие к средней величине – часто. Нормальное распределение возникает, когда данная случайная величина представляет собой сумму большого числа независимых случайных величин, каждая из которых играет в образовании всей суммы незначительную роль.

Нормальное распределение имеет колоколообразную форму, значения моды, медианы и среднего арифметического равны между собой. Было установлено, что многие биологические параметры распределены подобным образом (рост, вес и так далее). Впоследствии психологи выяснили, что и большинство психологических свойств (показатели интеллекта, темпераментных особенностей, способностей и другие психические явления) также имеют нормальное распределение. Этот принцип учитывается при стандартизации тестовых методик. При этом, чем больше объем выборки, тем более полученное эмпирическое распределение приближается к нормальному.

Характерное свойство нормального распределения состоит в том, что 68,26 % из всех его наблюдений всегда лежат в диапазоне ± 1 стандартное отклонение от среднего арифметического (какова бы ни была величина стандартного отклонения). 95,44 % - в пределах ± двух стандартных отклонений и 99,72 – в пределах ± трех стандартных отклонений.

Асимметрия – это показатель симметричности / скошенности кривой распределения, а эксцесс определяет ее островершинность.

При левостронней асимметрии ее показатель является положительным и в распределении преобладают более низкие значения признака. При правостронней – показатель положительный и преобладают более высокие значения. У всех симметричных распеделений (в том числе и у нормального распределения) величина асимметрии равна нулю. Формула показателя асимметрии является следующей:

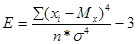
Если в распределении преобладают значения близкие к среднему арифметическому, то формируется островершинное распределение. В этом случае показатель эксцесса стремится к положительной величине. У нормального распределения эксцесс равен нулю. Если у распределения 2 вершины (бимодальное распределение), то тогда эксцесс стремится к отрицательной величине. Показатель эксцесса определяется по формуле:

Распределение оценивается как предположительно близкое к нормальному, если установлено, что от 50 до 80 % всех значений располагаются в пределах одного стандартного отклонения от среднего арифметического, и коэффициент эксцесса по абсолютной величине не превышает значения равного двум.

Распределение считается достоверно нормальным если абсолютная величина показателей асимметрии и эксцесса меньше их ошибок репрезентативности в 3 и более раз.

Постановка задачи: определить или опровергнуть факт нормальности распределения показателей субтеста «аналогии» из Таблицы данных Приложения (взято первые 20 случаев).

хi xi-Mx (xi-Mx)2 (xi-Mx)3 (xi-Mx)4
           
    -1   -1  
    -1   -1  
    -1   -1  
    -5   -125  
    -1   -1  
    -2   -8  
           
           
           
    -3   -27  
    -3   -27  
           
           
           
           
    -2   -8  
    -1   -1  
           
           
S          

 

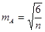
Для обработки данных понадобятся следующие последовательные шаги: вычисление Mx, s, А, Е по уже известным формулам. Необходимо также определение ошибок репрезентативности асимметрии и эксцесса:

и

В нашем случае:

Как уже было сказано выше, принцип определения нормальности-ненормальности распределения является следующим:

В нашем случае:

mA * 3 = 0,55 * 3 = 1,65 > ½А½

mE * 3 = 1,1 * 3 = 3,3 > ½E½

Поскольку оба показателя не превышают в 3 раза свою собственную ошибку репрезентативности, можно заключить, что распределение показателей субтеста «аналогии» соответствует нормальному.

<== предыдущая лекция | следующая лекция ==>
 | Тема 3 Первичное описание исходных данных
Поделиться с друзьями:


Дата добавления: 2013-12-12; Просмотров: 21809; Нарушение авторских прав?; Мы поможем в написании вашей работы!


Нам важно ваше мнение! Был ли полезен опубликованный материал? Да | Нет



studopedia.su - Студопедия (2013 - 2025) год. Все материалы представленные на сайте исключительно с целью ознакомления читателями и не преследуют коммерческих целей или нарушение авторских прав! Последнее добавление




Генерация страницы за: 0.013 сек.