Студопедия

КАТЕГОРИИ:


Архитектура-(3434)Астрономия-(809)Биология-(7483)Биотехнологии-(1457)Военное дело-(14632)Высокие технологии-(1363)География-(913)Геология-(1438)Государство-(451)Демография-(1065)Дом-(47672)Журналистика и СМИ-(912)Изобретательство-(14524)Иностранные языки-(4268)Информатика-(17799)Искусство-(1338)История-(13644)Компьютеры-(11121)Косметика-(55)Кулинария-(373)Культура-(8427)Лингвистика-(374)Литература-(1642)Маркетинг-(23702)Математика-(16968)Машиностроение-(1700)Медицина-(12668)Менеджмент-(24684)Механика-(15423)Науковедение-(506)Образование-(11852)Охрана труда-(3308)Педагогика-(5571)Полиграфия-(1312)Политика-(7869)Право-(5454)Приборостроение-(1369)Программирование-(2801)Производство-(97182)Промышленность-(8706)Психология-(18388)Религия-(3217)Связь-(10668)Сельское хозяйство-(299)Социология-(6455)Спорт-(42831)Строительство-(4793)Торговля-(5050)Транспорт-(2929)Туризм-(1568)Физика-(3942)Философия-(17015)Финансы-(26596)Химия-(22929)Экология-(12095)Экономика-(9961)Электроника-(8441)Электротехника-(4623)Энергетика-(12629)Юриспруденция-(1492)Ядерная техника-(1748)

Затухающие колебания

Математический маятник (рис. 5)

Физический маятник (рис. 4)

Пружинный маятник (рис. 3)

Одномерный классический гармонический осциллятор

Общие сведения о колебаниях.

Колебаниями называются процессы, отличающиеся той или иной степенью повторяемости. В зависимости от физической природы повторяющегося процесса различают колебания: механические, электромагнитные, электромеханические и т.д. Рассмотрим механические колебания.

В зависимости от характера воздействия на колеблющуюся систему различают свободные (или собственные) колебания, вынужденные колебания, автоколебания и параметрические колебания.

Силу, под действием которой происходит колебательный процесс, называют возвращающей силой, так как она стремится вернуть тело или материальную точку в положение равновесия.

Свободные колебания совершаются системой, выведенной из положения равновесия.

Собственными называются свободные колебания без учёта сил сопротивления (без затухания).

Вынужденными называются такие колебания, в процессе которых колеблющаяся система подвергается воздействию внешней периодически изменяющейся силы. Примером служат колебания моста, возникающие при прохождении по нему людей, шагающих в ногу.

Автоколебания, как и вынужденные колебания, сопровождаются воздействием на колеблющуюся систему внешних сил, однако моменты времени, когда осуществляются эти воздействия, задаются самой колеблющейся системой – система сама управляет внешним воздействием. Примером автоколебательной системы являются часы, в которых маятник получает толчки за счёт энергии поднятой гири или закрученной пружины, причем эти толчки происходят в моменты прохождения маятника через среднее положение.

При параметрических колебаниях за счёт внешнего воздействия происходит периодическое изменение какого-либо параметра системы, например, длины нити, к которой подвешен шарик, совершающий колебания.

Простейшими являются гармонические колебания, при которых колеблющаяся величина (например, отклонение маятника) изменяется со временем по закону синуса или косинуса. Этот вид колебаний особенно важен по следующим причинам: во-первых, колебания в природе и в технике часто имеют характер, очень близкий к гармоническому, во-вторых, периодические процессы иной формы (с другой зависимостью от времени) могут быть представлены как наложение нескольких гармонических колебаний. Гармонические колебания удобно представить в виде круговой диаграммы (рис.1). Пусть точка движется по окружности радиусом . Её положение задаётся радиус-вектором . Положение равновесия задаётся точкой . Радиус-вектор равномерно вращается с угловой скоростью . Проекции радиус-вектора на оси или задаются математическими выражениями (уравнениями) гармонических колебаний:

(1)

(2)

Мы будем использовать уравнение гармонических колебаний в виде (1). Координата задаёт значение колеблющейся величины. Величина амплитуда колебаний, т.е. максимальное отклонение колеблющейся точки от положения равновесия. Величина , равная числу колебаний за время секунды, называется циклической частотой. Аргумент косинуса , характеризующий значение колеблющейся величины в момент времени , называется фазой колебаний. Фаза колебаний , соответствующая начальному моменту времени, называется начальной фазой колебаний. Время одного полного колебания называется периодом колебаний. Число колебаний за время, равное одной секунде, называется частотой колебаний.

.

Скорость колеблющейся точки находится дифференцированием выражения (1) по времени:

(3)

Дифференцируя вторично, получаем ускорение:

. (4)

.

На рис. 2 представлены зависимости . Скорость опережает смещение на , ускорение находится в противофазе по отношению к смещению.

Каждое конкретное колебание характеризуется определенным значением амплитуды и начальной фазы . Определим их значения из начальных условий . В этом случае , . Отсюда следует, что

, .

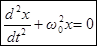
Выведем дифференциальное уравнение гармонических колебаний. Из выражения (4) следует, что

 

или . (5)

 

Уравнение (5) является дифференциальным уравнением гармонических колебаний. Это уравнение является общим уравнением, описывающим гармонические колебания. Его решением являются функции (1) или (2). Следовательно, можно сказать, что гармоническими называются колебания, совершаемые по закону синуса или косинуса.

Колебательные системы, описываемые уравнением (5) называются одномерным классическим гармоническим осциллятором. Модель одномерного классического гармонического осциллятора оказывается справедливой не только для механических, но и других видов собственных незатухающих колебаний. В различных разделах физики используется единый математический язык описания гармонических колебаний.

Рассмотрим конкретные примеры гармонических осцилляторов в механике.

 

 

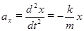
Применим к движению груза на пружине второй закон Ньютона: , где - сила упругости: ,

 

. (6)

 

Сравнивая (5) и (6), получаем:

(7)

(8)

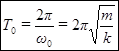
Мы нашли собственную циклическую частоту (7) и период колебаний (8) груза на пружине.

 

Физическим маятником называется твердое тело, колеблющееся относительно неподвижной горизонтальной оси (оси подвеса), не проходящей через центр тяжести. При небольших углах отклонения (-мал) физический маятник совершает гармонические колебания. Сила, возвращающая маятник в положение равновесия, представляет собой составляющую силы тяжести, приложенную в точке :

Момент этой силы относительно оси равен:

, где - плечо силы относительно оси , знак минус соответствует тому, что момент стремится вернуть маятник в положение равновесия, аналогично квазиупругой силе.

В соответствии с уравнением динамики вращательного движения

, где - угловое ускорение, - момент инерции маятника относительно оси О. Получаем

. (9)

Ограничившись малыми колебаниями , после преобразований получаем уравнение (9) в виде:

(10).

Сравнив выражения (5) и (10) мы видим их математическую аналогию, что позволяет записать выражения для циклической частоты и периода колебаний физического маятника:

(11)

, (12)

где -расстояние от центра тяжести до оси вращения.

Если период колебаний не зависит от амплитуды, то такие колебания называются изохронными. Мы видим, что малые колебания физического маятника изохронны. Колебания приближенно изохронны, когда угловая амплитуда колебаний не превышает нескольких градусов. При больших амплитудах изохронность нарушается. На свойстве изохронности колебаний маятника основано его применение в часах.

 

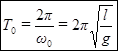
Математический маятник является частным случаем физического маятника. Математическим маятником называют идеализированную систему, состоящую из невесомой и нерастяжимой нити, к которой подвешена масса, сосредоточенная в одной точке. Примером математического маятника может служить шарик, подвешенный на длинной нити. В случае математического маятника ,где -длина математического маятника. Тогда формулы (11) и (12) запишутся в виде:

(13)

(14)

Сравнивая формулы (12) и (14), заключаем, что физический маятник колеблется с периодом математического маятника, длина которого

,

называется приведенной длиной физического маятника.

рассматривать колебание (19) как гармоническое колебание частоты , амплитуда которого изменяется по некоторому закону. Выражением этого закона не может быть множитель, стоящий в скобках, так как он изменяется от до , в то время, как амплитуда по определению – величина положительная. График амплитуды показан на рис 7.б. Аналитическое выражение амплитуды, очевидно, имеет вид:

 

. (20)

 

Функция (20) – периодическая функция с частотой в два раза превышающей частоту выражения, стоящего под знаком модуля, т.е. с частотой . Заменяя в выражении (19) амплитуду через значение (20), получаем уравнение биений:

(21)

 

 

(Затухающие колебания. Дифференциальное уравнение затухающих колебаний и его решение Коэффициент затухания. Время релаксации. Период затухаю­щих колебаний. Декремент затухания. Логарифмический декремент затухания. Добротность колебательной системы. Диссипация энергии.)

<== предыдущая лекция | следующая лекция ==>
 | Гармонический осциллятор при наличии сил сопротивления
Поделиться с друзьями:


Дата добавления: 2013-12-12; Просмотров: 1691; Нарушение авторских прав?; Мы поможем в написании вашей работы!


Нам важно ваше мнение! Был ли полезен опубликованный материал? Да | Нет



studopedia.su - Студопедия (2013 - 2026) год. Все материалы представленные на сайте исключительно с целью ознакомления читателями и не преследуют коммерческих целей или нарушение авторских прав! Последнее добавление




Генерация страницы за: 0.012 сек.