Студопедия

КАТЕГОРИИ:


Архитектура-(3434)Астрономия-(809)Биология-(7483)Биотехнологии-(1457)Военное дело-(14632)Высокие технологии-(1363)География-(913)Геология-(1438)Государство-(451)Демография-(1065)Дом-(47672)Журналистика и СМИ-(912)Изобретательство-(14524)Иностранные языки-(4268)Информатика-(17799)Искусство-(1338)История-(13644)Компьютеры-(11121)Косметика-(55)Кулинария-(373)Культура-(8427)Лингвистика-(374)Литература-(1642)Маркетинг-(23702)Математика-(16968)Машиностроение-(1700)Медицина-(12668)Менеджмент-(24684)Механика-(15423)Науковедение-(506)Образование-(11852)Охрана труда-(3308)Педагогика-(5571)Полиграфия-(1312)Политика-(7869)Право-(5454)Приборостроение-(1369)Программирование-(2801)Производство-(97182)Промышленность-(8706)Психология-(18388)Религия-(3217)Связь-(10668)Сельское хозяйство-(299)Социология-(6455)Спорт-(42831)Строительство-(4793)Торговля-(5050)Транспорт-(2929)Туризм-(1568)Физика-(3942)Философия-(17015)Финансы-(26596)Химия-(22929)Экология-(12095)Экономика-(9961)Электроника-(8441)Электротехника-(4623)Энергетика-(12629)Юриспруденция-(1492)Ядерная техника-(1748)

Задачи для самопроверки




Вопросы для самопроверки

1. Из колоды в 36 карт наудачу вынимается одна. Какова вероятность того, что будет вынута пика или дама?

2. На полке стоят 15 книг, из них пять в переплете. Наудачу берут три книги. Найти вероятность того, что хотя бы одна из взятых книг в переплете (событие А).

 


9.4. Формула полной вероятности

В данном разделе мы рассмотрим более сложные задачи, имеющие большое практическое значение. Эти задачи встречается на практике в случае, если имеются несколько возможных сценариев развития событий (несколько вероятных гипотез). Известны как величины вероятности реализации каждого из сценариев, так и вероятность наступления интересующего нас события для любого из этих сценариев, а нас интересует, какова полная (совокупная) вероятность наступления интересующего нас события.

Предположим, что в результате опыта может произойти одно из n несовместных событий (гипотез) Н1, H2,..., Hn. Пусть также имеется некоторое событие А и известны Р(Нi) - вероятность гипотезы, P(A!Hi) - условная вероятность события А при этой гипотезе). Тогда вероятность события А вычисляется по формуле полной вероятности:

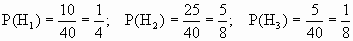
Пример. Из 40 деталей 10 изготовлены в первом цехе, 25 - во втором, а остальные - в третьем. Первый и третий цехи дают продукцию отличного качества с вероятностью 0,9, второй цех - с вероятностью 0,7. Какова вероятность того, что взятая наудачу деталь будет отличного качества?

Решение: обозначим событие А={выбрана деталь отличного качества}, Hi={выбранная деталь изготовлена в i цехе}, i=1, 2, 3. Тогда

По условию задачи P(A|H1) = P(A|H3) = 0,9, P(A|H2)=0,7 По формуле полной вероятности находим искомую вероятность:

Пример. На рисунке изображена схема дорог. Найти вероятность того, что турист, вышедший из пункта А, попадет в пункт В, если на развилке он наугад выбирает любую дорогу (кроме обратной).

Решение: Обозначим Hi={приход туриста в пункт Hi}, i=1, 2, 3, 4. Поскольку, выйдя из пункта А, он выбирает любую дорогу наугад, то P(Hi)=1/4, i=1, 2, 3, 4.

 

Исходя из схемы дорог, определяем, что P(B!H1) = 0; P(B!H2) =1/2; P(B!H3) = 1; P(B!H4) =1/3. Таким образом, по формуле полной вероятности

Пример. Из двенадцати лотерейных билетов пять выигрышных. Билеты вытягиваются по одному без возвращения. Какова вероятность того, что во второй раз вытянут выигрышный билет

Решение: Как обычно, вдоль каждой ветви "дерева вероятностей" значения вероятностей перемножаются, а затем значения на концах нужных веток между собой складываются. В результате получаем ответ:

После этого раздела Вам нужно выполнить первое письменное задание. Пожалуйста, пишите решение подробно, поясняйте все сделанные Вами предположения.
ЗАДАНИЕ

1. В отделе найма персонала проводится тестирование на вакантную руководящую должность. Тест составлен из двух производственных ситуаций, не связанных между собой логически. По каждой ситуации предлагается три примера дальнейших действий, из которых надо выбрать один наилучший.

Вероятность того, что претендент знает ответ на первую часть теста равна Р1, вероятность того, что он знает ответ на вторую часть равна Р2. Допустим, что в случае, когда претендент не знает ответа, он принимает решение произвольно выбирать из трех предлагаемых вариантов наугад. Нарисуйте дерево вероятностей и посчитаете вероятности для разных сценариев развития событий. Прокомментируйте свои оценки. Какова вероятность того, что испытуемый знает ответы на обе части теста? Какова полная вероятность, что испытуемый ответит правильно на обе части теста? Можете ли Вы предложить свои способы повышения достоверности результатов такого тестирования?

 


9.5. Последовательтность испытаний (схема Бернулли)

Практические задачи, связанные с оценкой вероятности наступления события в результате нескольких равноценных попыток могут анализироваться с применением формулы Бернулли или (при большом количестве таких попыток) с применением приближенной формулы Пуассона. Для работы с этим материалом Вам снова потребуется знание основ комбинаторики (Раздел 1.2).

Схема Бернулли состоит в следующем: производится последовательность испытаний, в каждом из которых вероятность наступления определенного события А одна и та же и равна р. Испытания предполагаются независимыми (т.е. считается, что вероятность появления события А в каждом из испытаний не зависит от того, появилось или не появилось это событие в других испытаниях). Наступление события А обычно называют успехом, а ненаступление - неудачей. Обозначим вероятность неудачи q=1-P(A)=(1-p). Вероятность того, что в n независимых испытаниях успех наступит ровно m раз, выражается формулой Бернулли:

Вероятность Рn(m) при данном n сначала увеличивается при увеличении m от 0 до некоторого значения m0, а затем уменьшается при изменении m от m0 до n. Поэтому m0, называют наивероятнейшим числом наступлений успеха в опытах. Это число m0, заключено между числами np-q и np+p (или, что то же самое, между числами n(p+1)-1 и n(p+1)).Если число np-q - целое число, то наивероятнейших чисел два: np-q и np+p.

Важное замечание. Если np-q< 0, то наивероятнейшее число выигрышей равно нулю.

Пример. Игральная кость бросается 4 раза. При каждом броске нас интересует событие А={выпала шестерка}.

Решение: Здесь четыре испытания, и т.к. кубик симметричен, то

p=P(A)=1/6, q=1-p=5/6.

Вероятность того, что в 4 независимых испытаниях успех наступит ровно m раз (m < 4), выражается формулой Бернулли:

Посчитаем эти значения и запишем их в таблицу.

Самое вероятное число успехов в нашем случае m0=0.

Пример. Вероятность появления успеха равна 3/5. Найти наивероятнейшее число наступлений успеха, если число испытаний равно 19, 20.

Решение: при n =19 находим

Таким образом, максимальная вероятность достигается для двух значений m0, равных 11 и 12. Эта вероятность равна P19(11)=P19(12)=0,1797. При n=20 максимальная вероятность достигается только для одного значения m0, т.к.

не является целым числом. Наивероятнейшее число наступлений успеха m0 равно 12. Вероятность его появления равна P20(12)=0,1797. Совпадение чисел P20(12) и P19(12) вызвано лишь сочетанием значений n и p и не имеет общего характера.

На практике в случае, когда n велико, а p мало (обычно p < 0,1; npq < 10) вместо формулы Бернулли применяют приближенную формулу Пуассона

Пример 4. Радиоаппаратура состоит из 1000 элементов. Вероятность отказа одного элемента в течение года равна 0,002. Какова вероятность отказа двух элементов за год? Какова вероятность отказа не менее двух элементов за год?

Решение: будем рассматривать работу каждого элемента как отдельное испытание. Обозначим А={отказ элемента за год}.

P(A)=p=0,002, l=np=1000*0,002=2

По формуле Пуассона

Обозначим через P1000(> 2) вероятность отказа не менее двух элементов за год. Переходя к противоположному событию, вычислим P1000(> 2) как:

1. В семье пять детей. Считая вероятность рождения мальчика и девочки равными 1/2, определить вероятность того, что среди этих детей два мальчика.

2. Наладчик обслуживает 50 станков. Вероятность того, что в течение смены станок потребует регулировки, равна 1/3. Что более вероятно: а) регулировки потребуют 17 станков; б) регулировки потребуют 16 станков?

3. Какова вероятность того, что среди 500 наугад выбранных человек двое родились 1 апреля?

4. Среди 2000 человек приблизительно 16 левшей. Какова вероятность того, что среди сотни наугад выбранных человек окажется хотя бы один левша?

 





Поделиться с друзьями:


Дата добавления: 2013-12-12; Просмотров: 2608; Нарушение авторских прав?; Мы поможем в написании вашей работы!


Нам важно ваше мнение! Был ли полезен опубликованный материал? Да | Нет



studopedia.su - Студопедия (2013 - 2026) год. Все материалы представленные на сайте исключительно с целью ознакомления читателями и не преследуют коммерческих целей или нарушение авторских прав! Последнее добавление




Генерация страницы за: 0.008 сек.