Студопедия

КАТЕГОРИИ:


Архитектура-(3434)Астрономия-(809)Биология-(7483)Биотехнологии-(1457)Военное дело-(14632)Высокие технологии-(1363)География-(913)Геология-(1438)Государство-(451)Демография-(1065)Дом-(47672)Журналистика и СМИ-(912)Изобретательство-(14524)Иностранные языки-(4268)Информатика-(17799)Искусство-(1338)История-(13644)Компьютеры-(11121)Косметика-(55)Кулинария-(373)Культура-(8427)Лингвистика-(374)Литература-(1642)Маркетинг-(23702)Математика-(16968)Машиностроение-(1700)Медицина-(12668)Менеджмент-(24684)Механика-(15423)Науковедение-(506)Образование-(11852)Охрана труда-(3308)Педагогика-(5571)Полиграфия-(1312)Политика-(7869)Право-(5454)Приборостроение-(1369)Программирование-(2801)Производство-(97182)Промышленность-(8706)Психология-(18388)Религия-(3217)Связь-(10668)Сельское хозяйство-(299)Социология-(6455)Спорт-(42831)Строительство-(4793)Торговля-(5050)Транспорт-(2929)Туризм-(1568)Физика-(3942)Философия-(17015)Финансы-(26596)Химия-(22929)Экология-(12095)Экономика-(9961)Электроника-(8441)Электротехника-(4623)Энергетика-(12629)Юриспруденция-(1492)Ядерная техника-(1748)

Понятие популяции. Популяция как биологическая система




Популяция (популюс - лат. "народ", "население") - население вида на определенной территории.

И.А. Шилов. Экология (2000), с. 232: "Популяция как биологическая система характеризуется появлением специфических свойств, которыми не обладают отдельные организмы данного вида. Так, только на популяционном уровне выявляются такие свойства, как численность и плотность населения, половой и возрастной состав, уровень размножения и смертности и др. По этим и другим признакам популяция качественно отличается от организменного уровня организации биологических систем. Так, популяция не имеет свойственной организмам морфологической ограниченности от среды и от других популяций; в ее строении не вычленяются морфологически отличающиеся части, аналогичные физиологическим функциональным системам организма; интеграция функций отдельных особей, составляющих популяцию, осуществляется качественно иным путем, чем интеграция функций в организме. Организм, как биологическая система, относительно недолговечен, популяция же при сохранении необходимых условий практически бессмертна ".

У популяции, как биологической системы, имеются характерные черты, сходные с таковыми отдельного организма:

структурированность;

интегрированность составных частей (целостность);

авторегуляция;

способность к адаптивным реакциям.

Эти особенности свойственны и для экосистем иного уровня, вплоть до биосферы в целом.

А.В.Яблоков. Популяционная биология. М., "Высшая школа", 1987. "Учение о популяциях - молодая ветвь биологической науки. Впервые глава о популяциях появилась в книге У.Олли в 1949 г. (W.Allee). В нашей стране с популяционной точки зрения морфология млекопитающих начала изучаться с конца 50-х г., (Наумов, Шварц, Шилов, Яблоков). Учение о популяциях было подготовлено работами Н.В. Тимофеева-Ресовского. Позже появились работы по популяционной экологии и генетике.

Для чего нужно было вводить понятие "популяция" в биологическую науку? До 40-х - 50-х г. ХХ века популяцией называли любую группу особей. С появлением учения о микроэволюции стала ясной роль популяции как элементарной эволюционирующей единицы (законам микроэволюции подчиняются не отдельные организмы, а популяции; эти законы носят статистический, вероятностный характер; для популяций эти законы и были обнаружены).

С.6. "Популяцию можно определить как 1) всегда относительно изолированнную совокупность особей одного вида, 2) в течение длительного времени (большого числа поколений) населяющую часть видового ареала, 3) способную к неограниченно долгому (в масштабах вида) самостоятельному существованию 4) и обладающую, поэтому, собственной эволюционной "судьбой". Это определение - Алексея Владимировича Яблокова (1987).

Свойства популяционной группы по Ю Одуму (1975): Популяция - группа особей одного вида, занимающая определенную территорию, важно, что особи, слагающие её, могут обмениваться генетической информацией (не дословно). Популяцию определяют через статистические функции, эти функции характеризуют группу как целое, а не отдельных особей, входящих в группу. Вот некоторые из статистических признаков популяции: плотность, рождаемость, смертность, распределение организмов по возрастам, биотический потенциал (возможности), характер распределения в пределах территории, тип роста. Генетические характеристики популяции непосредственно связаны с их экологией, а именно: способностью к адаптации, репродуктивной (дарвиновской) приспособленностью и устойчивостью, те.е способностью в течение длительного периода производить потомство (Сам Одум привел определение Добржанского).

Биологические особенности популяции (как любой живой системы) - наличие жизненного цикла популяции, ее способность к росту, дифференцировке и самоподдержанию. Популяция, как система, в которую входят подсистемы - живые организмы, имеет организацию и структуру, которые можно описать. Сама популяция, как система, входит в систему более высокого ранга - зооценоз, который, в свою очередь, входит в биоценоз, входящий, в конечном счете, в биосферу.

Система - множество закономерно связанных между собой элементов (предметов, явлений, знаний) представляющее собой целостное образование, единство
Напр., кровеносная система, Солнечная система, экосистема, система управления полетами и т. д.

Свойства какой-либо системы:

1) система как целое - по своим возможностям "больше" суммы слагаемых элементов, т.е. в системе возникают сверсуммативные свойства (эмерджентность);

2) связи между элементами, формирующие структуру системы, не менее важны для осуществления системной функции, чем сами элементы;

3) обладает способностью к исполнению какой-либо функции (целенаправленность);

4) согласованность действий компонентов системы;

5) приоритет "интересов" системы над "интересами" элементов;

6) надёжность - способность к продолжению работы при выходе из строя отдельных компонентов;

7) интегративность - наличие системообразующих и системосохраняющих факторов.

Выполняя функцию, система взаимодействует с внешней средой, адаптируясь к ней.
Система "входит" во внешнюю среду, как подсистема - в систему более высокого уровня.
Такая система - открытая, она обменивается веществом, энергией и информацией с системой более высокого уровня и способна к самоорганизации. Пример открытой системы - развитие растенияв открытом грунте (цветок).

Сложная система -- система, состоящая из множества взаимодействующих составляющих (подсистем), вследствие чего сложная система обладает свойствами, которые отсутствуют на подсистемном уровне. Например, организм, как сложная система, включает в свой состав нервную систему, кровеносную, гуморальную, выделительную, половую, пищеварительную и т.д.

В закрытых системах какой-либо обмен энергией, веществом и информацией с окружающей средой отсутствует. Для закрытых систем характерно увеличение беспорядка (по второму закону термодинамики). Пример закрытой системы - система минерального питания растения, растущего в горшке или с помощью гидропоники.

В результате самоорганизации в системе формируются неравновесные структуры.

Неравновесные структуры - такие структуры, для которых характерна фундаментальная неопределенность путей развития, с достижением
альтернативной множественности стационарных состояний.

Свойства, которыми обладает популяция, но которые бессмысленны для отдельных организмов: уровень рождаемости, смертности, возрастная структура, генетическая приспособленность. Все популяционные признаки можно разделить на две категории: 1) признаки, связанные с количественными соотношениями и структурой; 2) признаки, характеризующие генетические особенности популяции.

Есть и другие определения популяции, которые подчеркивают как наиболее важные те или иные свойства популяционной группировки особей.

"Популяция - элементарная форма существования вида" - С.С.Шварц. (В виде отдельных особей вид существовать не может, "Лох-Несское чудовище" - порождение человеческой бессознательной психики).

"Популяция - элементарная единица эволюционного процесса" - И.И. Шмальгаузен.

Популяции разных видов животных имеют более или менее стабильные видоспецифические характеристики: отличаются структурой, величиной, экологическими и генетическими параметрами, уровнем связей между собой.

Структурные признаки разных популяций одного вида животных или растений также могут варьировать. (Например, две близлежащие популяции могут отличаться степенью связи между собой: популяции могут постепенно переходить одна в другую или, напротив, быть строго отграниченными. Скажем, с появлением Берингового пролива, две популяции Белки обыкновенной, обитающие по разные стороны водной преграды, потеряли взаимосвязь и стали развиваться каждая самостоятельно.)

Среди особей одного вида не всякую группу можно назвать популяцией. Основной признак - устойчивое существование во времени, которое обеспечивается способностью адаптивного ответа на внешние воздействия. (Например, прилетевшая "стая" саранчи - не популяция (как прилетела, так и улетела, опустошив растительность).

Растительные популяции (их еще называют ценопопуляции) стали изучать позднее животных популяций (Работы Т.А. Работнова, обобщающие сводки появились лишь в конце 70-х годов). (О.А.Мозговая изучала популяционный состав, закономерности возобновления светлохвойных лесов Башкирского заповедника). Понятие " ценопопуляция растений" не следует смешивать с ботаническим понятием биогеоценоз (понятие биогеоценоз введено В.Н.Сукачевым. Биогеоценоз - участок земной поверхности (суши или водоемов), через которые не проходят никакие геоморфологические, климатические, почвенные, геохимические, гидрологические, стоковые и биогеоценотические границы. Популяции эволюционируют, биогеоценозы переходят из одного состояния динамического равновесия в другое.

Свойства популяции как биологической системы:

1. Пространственная структура популяции позволяет наиболее эффективно использовать ресурсы среды и осуществлять внутрипопуляционные взаимоотношения особей и их групп. Эти взаимоотношения и позволяют функционировать популяции как целостности и осуществлять авторегуляцию на фоне изменяющихся условий среды. Прежде всего, важны информационные отношения.

2. Несмотря на морфологическое сходство, (принадлежность к одному виду), особи, входящие в состав популяций, неравноценны по функции в составе популяции, по генетическому вкладу в неё, по индивидуальным свойствам. Иными словами, популяция структурирована не только пространственно, но и функционально.

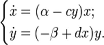
3. Динамика популяций хищников и их жертв - пример самоорганизации сложных систем в биологии. Предсказание соотношения числа хищников и жертв возможно (волков и копытных, рысей и зайцев, лис и кроликов и т. п.). Модель была построена Вольтеррой для некоторого гипотетического участка, где на огражденной территории живут только эти представители фауны, а пищи для них пусть будет неограниченное количество. Поскольку волки хищники, то могут в данном заповеднике питаться только зайцами, а жертвы - зайцы питаются только растительной пищей. Встает вопрос: будет ли такое экологическое сообщество устойчиво сосуществовать? Экспериментальные данные, полученные в реальной многокомпонентной открытой среде, характеризующейся множеством неучтенных взаимодействий, указывают на факт наличия устойчивых колебаний. Это свидетельствует о том, что модель Вольтерры работоспособна.

Рис. 1. Пример самоорганизации в зооценозе.
Динамика численности популяций хищников (лисиц) и их жертв (кроликов). Наблюдаются устойчивые колебания, причем кривая, описывающая динамику хищника, несколько отстает по фазе от кривой, описывающей динамику жертвы

Допустим, что на некоторой территории обитают два вида животных: кролики, питающиеся растениями, и лисы, питающиеся кроликами. Пусть число кроликов x, число лис y. Используя модель, описывающую рост популяции (ей соответствует дифферен-циальное уравнение), с поправками, учитывающими поедание кроликов лисами, приходим к системе, носящей имя модели взаимодействия "хищник-жертва", или модели Вольтерра - Лотки. Эта система имеет равновесное состояние, когда число кроликов и лисиц постоянно. Отклонение от этого состояния приводит к колебаниям численности кроликов и лис, аналогичным колебаниям гармонического осциллятора.





Поделиться с друзьями:


Дата добавления: 2013-12-12; Просмотров: 6469; Нарушение авторских прав?; Мы поможем в написании вашей работы!


Нам важно ваше мнение! Был ли полезен опубликованный материал? Да | Нет



studopedia.su - Студопедия (2013 - 2025) год. Все материалы представленные на сайте исключительно с целью ознакомления читателями и не преследуют коммерческих целей или нарушение авторских прав! Последнее добавление




Генерация страницы за: 0.012 сек.