Студопедия

КАТЕГОРИИ:


Архитектура-(3434)Астрономия-(809)Биология-(7483)Биотехнологии-(1457)Военное дело-(14632)Высокие технологии-(1363)География-(913)Геология-(1438)Государство-(451)Демография-(1065)Дом-(47672)Журналистика и СМИ-(912)Изобретательство-(14524)Иностранные языки-(4268)Информатика-(17799)Искусство-(1338)История-(13644)Компьютеры-(11121)Косметика-(55)Кулинария-(373)Культура-(8427)Лингвистика-(374)Литература-(1642)Маркетинг-(23702)Математика-(16968)Машиностроение-(1700)Медицина-(12668)Менеджмент-(24684)Механика-(15423)Науковедение-(506)Образование-(11852)Охрана труда-(3308)Педагогика-(5571)Полиграфия-(1312)Политика-(7869)Право-(5454)Приборостроение-(1369)Программирование-(2801)Производство-(97182)Промышленность-(8706)Психология-(18388)Религия-(3217)Связь-(10668)Сельское хозяйство-(299)Социология-(6455)Спорт-(42831)Строительство-(4793)Торговля-(5050)Транспорт-(2929)Туризм-(1568)Физика-(3942)Философия-(17015)Финансы-(26596)Химия-(22929)Экология-(12095)Экономика-(9961)Электроника-(8441)Электротехника-(4623)Энергетика-(12629)Юриспруденция-(1492)Ядерная техника-(1748)

Первый закон

Законы термодинамики

ОСНОВЫ ТЕРМОДИНАМИКИ

IV Лекция

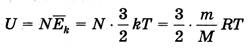
Внутренней энергией U называется сумма кинетической энергии хаотического движения частиц, из которых состоит тело, и потенциальной энергии их взаимодействия.

Для идеального одноатомного газа

СПОСОБЫ ИЗМЕНЕНИЯ ВНУТРЕННЕЙ ЭНЕРГИИ
Теплопередача изменение внутренней энергии без совершения работы: энергия передается от более нагретых тел (или участков тел) к менее нагретым. Совершение работы Например, нагревание при трении или при сжатии, охлаждение при расширении.
ВИДЫ ТЕПЛОПЕРЕДАЧИ
Теплопроводность-непосредственный обмен энергией между хаотически движущимися частицами взаимодействующих тел или частей одного и того же тела. Конвекция перенос энергии потоками жидкости или газа. Излучение - перенос энергии электромагнитны-ми волнами. Единственный вид теплопередачи, возможный в вакууме.

Изменение внутренней энергии DU системы равно сумме работы А, совершенной внешними телами над системой, и сообщенного ей количества теплоты Q -

DU = Q + А.

Таким образом, Q = DU + А',то есть количество теплоты Q, переданное системе, расходуется на увеличение ее внутренней энергии DU и совершение системой работы А' = - А.

Работа А и количество теплоты Q зависят от процесса перехода системы

из одного состояния в другое: при одних и тех же начальном и конечном состояниях, A и Q могут быть различны.

В отличие от А и Q, изменение внутренней энергии DU зависит только от начального и конечного состояний.

<== предыдущая лекция | следующая лекция ==>
Электростатика | V Лекция
Поделиться с друзьями:


Дата добавления: 2013-12-12; Просмотров: 297; Нарушение авторских прав?; Мы поможем в написании вашей работы!


Нам важно ваше мнение! Был ли полезен опубликованный материал? Да | Нет



studopedia.su - Студопедия (2013 - 2026) год. Все материалы представленные на сайте исключительно с целью ознакомления читателями и не преследуют коммерческих целей или нарушение авторских прав! Последнее добавление




Генерация страницы за: 0.013 сек.