Студопедия

КАТЕГОРИИ:


Архитектура-(3434)Астрономия-(809)Биология-(7483)Биотехнологии-(1457)Военное дело-(14632)Высокие технологии-(1363)География-(913)Геология-(1438)Государство-(451)Демография-(1065)Дом-(47672)Журналистика и СМИ-(912)Изобретательство-(14524)Иностранные языки-(4268)Информатика-(17799)Искусство-(1338)История-(13644)Компьютеры-(11121)Косметика-(55)Кулинария-(373)Культура-(8427)Лингвистика-(374)Литература-(1642)Маркетинг-(23702)Математика-(16968)Машиностроение-(1700)Медицина-(12668)Менеджмент-(24684)Механика-(15423)Науковедение-(506)Образование-(11852)Охрана труда-(3308)Педагогика-(5571)Полиграфия-(1312)Политика-(7869)Право-(5454)Приборостроение-(1369)Программирование-(2801)Производство-(97182)Промышленность-(8706)Психология-(18388)Религия-(3217)Связь-(10668)Сельское хозяйство-(299)Социология-(6455)Спорт-(42831)Строительство-(4793)Торговля-(5050)Транспорт-(2929)Туризм-(1568)Физика-(3942)Философия-(17015)Финансы-(26596)Химия-(22929)Экология-(12095)Экономика-(9961)Электроника-(8441)Электротехника-(4623)Энергетика-(12629)Юриспруденция-(1492)Ядерная техника-(1748)

Вычисление пройденного пути




Компоненты скорости

На следующем рисунке изображен вектор скорости материальной точки M, движущейся по плоскости x, y:


vx, vy - компоненты скорости, т.е. проекции вектора на координатные оси.

Так как .

С другой стороны: ,

откуда , так же и ,

т.е. компоненты скорости равны производным соответствующих координат по времени.

3.8.3. Модуль скорости - производная пути по времени.

.

По теореме Пифагора: .

Для равномерного движения , - весь путь, - весь отрезок времени, - const.

Для произвольного движения:

.

v1 в течение отрезка Δti приблизительно постоянны, если Δt достаточно мало.
В пределе:

,

т.е. путь - это определенный интеграл от модуля скорости по времени.

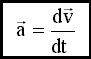
3.10. Ускорение - это производная скорости по времени.

или

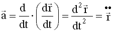
Учитывая (3.8), получим:

Ускорение - вторая производная радиуса-вектора по времени. Производную по времени от какой-либо величины называют скоростью изменения этой величины.

Ускорение - это скорость изменения скорости.




Поделиться с друзьями:


Дата добавления: 2013-12-12; Просмотров: 575; Нарушение авторских прав?; Мы поможем в написании вашей работы!


Нам важно ваше мнение! Был ли полезен опубликованный материал? Да | Нет



studopedia.su - Студопедия (2013 - 2026) год. Все материалы представленные на сайте исключительно с целью ознакомления читателями и не преследуют коммерческих целей или нарушение авторских прав! Последнее добавление




Генерация страницы за: 0.01 сек.