Студопедия

КАТЕГОРИИ:


Архитектура-(3434)Астрономия-(809)Биология-(7483)Биотехнологии-(1457)Военное дело-(14632)Высокие технологии-(1363)География-(913)Геология-(1438)Государство-(451)Демография-(1065)Дом-(47672)Журналистика и СМИ-(912)Изобретательство-(14524)Иностранные языки-(4268)Информатика-(17799)Искусство-(1338)История-(13644)Компьютеры-(11121)Косметика-(55)Кулинария-(373)Культура-(8427)Лингвистика-(374)Литература-(1642)Маркетинг-(23702)Математика-(16968)Машиностроение-(1700)Медицина-(12668)Менеджмент-(24684)Механика-(15423)Науковедение-(506)Образование-(11852)Охрана труда-(3308)Педагогика-(5571)Полиграфия-(1312)Политика-(7869)Право-(5454)Приборостроение-(1369)Программирование-(2801)Производство-(97182)Промышленность-(8706)Психология-(18388)Религия-(3217)Связь-(10668)Сельское хозяйство-(299)Социология-(6455)Спорт-(42831)Строительство-(4793)Торговля-(5050)Транспорт-(2929)Туризм-(1568)Физика-(3942)Философия-(17015)Финансы-(26596)Химия-(22929)Экология-(12095)Экономика-(9961)Электроника-(8441)Электротехника-(4623)Энергетика-(12629)Юриспруденция-(1492)Ядерная техника-(1748)

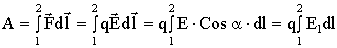
Работа электростатического поля

Поле объемного заряженного шара

Поле однородно заряженной сферы

Поле однородно заряженного бесконечного цилиндра

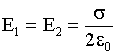
Поле плоского конденсатора

По 9.3.6. .
Т.к. , то по 9.4.4.1 .

 

 


- линейная плотность заряда.
Применяя теорему Гаусса, получим:

, при r > R.

Применяя теорему Гаусса (9.4.4.), получим: при r > R. Если r < R, то E = 0.

 

- объемная плотность заряда
q- суммарный заряд шара

Применяя теорему Гаусса (9.4.4.), получим:

из (9.3.5).

Из (5.3.2), (5.3.3):

.

<== предыдущая лекция | следующая лекция ==>
Поле равномерно заряженной бесконечной плоскости | Потенциал поля точечного заряда
Поделиться с друзьями:


Дата добавления: 2013-12-12; Просмотров: 292; Нарушение авторских прав?; Мы поможем в написании вашей работы!


Нам важно ваше мнение! Был ли полезен опубликованный материал? Да | Нет



studopedia.su - Студопедия (2013 - 2026) год. Все материалы представленные на сайте исключительно с целью ознакомления читателями и не преследуют коммерческих целей или нарушение авторских прав! Последнее добавление




Генерация страницы за: 0.008 сек.