Студопедия

КАТЕГОРИИ:


Архитектура-(3434)Астрономия-(809)Биология-(7483)Биотехнологии-(1457)Военное дело-(14632)Высокие технологии-(1363)География-(913)Геология-(1438)Государство-(451)Демография-(1065)Дом-(47672)Журналистика и СМИ-(912)Изобретательство-(14524)Иностранные языки-(4268)Информатика-(17799)Искусство-(1338)История-(13644)Компьютеры-(11121)Косметика-(55)Кулинария-(373)Культура-(8427)Лингвистика-(374)Литература-(1642)Маркетинг-(23702)Математика-(16968)Машиностроение-(1700)Медицина-(12668)Менеджмент-(24684)Механика-(15423)Науковедение-(506)Образование-(11852)Охрана труда-(3308)Педагогика-(5571)Полиграфия-(1312)Политика-(7869)Право-(5454)Приборостроение-(1369)Программирование-(2801)Производство-(97182)Промышленность-(8706)Психология-(18388)Религия-(3217)Связь-(10668)Сельское хозяйство-(299)Социология-(6455)Спорт-(42831)Строительство-(4793)Торговля-(5050)Транспорт-(2929)Туризм-(1568)Физика-(3942)Философия-(17015)Финансы-(26596)Химия-(22929)Экология-(12095)Экономика-(9961)Электроника-(8441)Электротехника-(4623)Энергетика-(12629)Юриспруденция-(1492)Ядерная техника-(1748)

Связь между напряженностью и потенциалом

Электрон-вольт - внесистемная единица работы

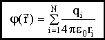
Потенциал поля системы точечных зарядов

В общем случае:

,

здесь qi - алгебраические величины.

;

 

 


Заряд q перемещается в электрическом поле на из точки 1 в точку 2.
Выразим работу по перемещению заряда двумя способами:

а) через напряженность, из (5.3.2), (9.3.5)

, ;

б) через разность потенциалов (9.6.2):

.

Приравнивая, получим:

.

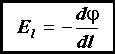
Возьмем вдоль оси x, тогда:

.

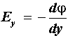
Для вдоль оси у, имеем:

.

Для вдоль оси z:

.

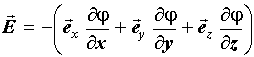
Вектор напряженности:

.

Обозначим

.

Это оператор градиента, или оператор Гамильтона.
Другое название значка - оператор набла.

Тогда


Напряженность равна (-) градиенту потенциала.

9.8. Эквипотенциальная поверхность (лат. aequus - равный) - поверхность, все точки которой имеют одинаковый потенциал, т.е.

Перемещаем заряд q вдоль эквипотенциальной поверхности:

См. (9.6.2), (9.5)

<== предыдущая лекция | следующая лекция ==>
Потенциал поля точечного заряда | Проводник во внешнем электрическом поле
Поделиться с друзьями:


Дата добавления: 2013-12-12; Просмотров: 829; Нарушение авторских прав?; Мы поможем в написании вашей работы!


Нам важно ваше мнение! Был ли полезен опубликованный материал? Да | Нет



studopedia.su - Студопедия (2013 - 2026) год. Все материалы представленные на сайте исключительно с целью ознакомления читателями и не преследуют коммерческих целей или нарушение авторских прав! Последнее добавление




Генерация страницы за: 0.012 сек.