Студопедия

КАТЕГОРИИ:


Архитектура-(3434)Астрономия-(809)Биология-(7483)Биотехнологии-(1457)Военное дело-(14632)Высокие технологии-(1363)География-(913)Геология-(1438)Государство-(451)Демография-(1065)Дом-(47672)Журналистика и СМИ-(912)Изобретательство-(14524)Иностранные языки-(4268)Информатика-(17799)Искусство-(1338)История-(13644)Компьютеры-(11121)Косметика-(55)Кулинария-(373)Культура-(8427)Лингвистика-(374)Литература-(1642)Маркетинг-(23702)Математика-(16968)Машиностроение-(1700)Медицина-(12668)Менеджмент-(24684)Механика-(15423)Науковедение-(506)Образование-(11852)Охрана труда-(3308)Педагогика-(5571)Полиграфия-(1312)Политика-(7869)Право-(5454)Приборостроение-(1369)Программирование-(2801)Производство-(97182)Промышленность-(8706)Психология-(18388)Религия-(3217)Связь-(10668)Сельское хозяйство-(299)Социология-(6455)Спорт-(42831)Строительство-(4793)Торговля-(5050)Транспорт-(2929)Туризм-(1568)Физика-(3942)Философия-(17015)Финансы-(26596)Химия-(22929)Экология-(12095)Экономика-(9961)Электроника-(8441)Электротехника-(4623)Энергетика-(12629)Юриспруденция-(1492)Ядерная техника-(1748)

Механическая очистка газов




К сухим механическим пылеуловителям относятся аппараты, в которых использованы различные механизмы осаждения: гравитационный (пылеосадительная камера), инерционный (камеры, осаждение пыли в которых происходит в результате изменения направления движения газового потока или установки на его пути препятствия) и центробежный.

Гравитационное осаждение основано на осаждении взвешенных частиц под действием силы тяжести при движении запыленного газа с малой скоростью без изменения направления потока. Процесс проводят в отстойных газоходах и пылеосадительных камерах. Для уменьшения высоты осаждения частиц в осадительных камерах установлено на расстоянии 40-100 мм множество горизонтальных полок, разбивающих газовый поток на плоские струи. Производительность осадительных камер П = sw0, где S — площадь горизонтального сечения камеры, или общая площадь полок, м2; w0 — скорость осаждения частиц, м/с. Гравитационное осаждение действенно лишь для крупных частиц диаметром более 50-100 мкм, причем степень очистки составляет не.выше 40-50%. Метод пригоден лишь для предварительной, грубой очистки газов.

Инерционное осаждение основано на стремлении взвешенных частиц сохранять первоначальное направление движения при изменении направления газового потока. Среди инерционных аппаратов наиболее часто применяют жалюзийные пылеуловители с большим числом щелей (жалюзи). Газы обеспыливаются, выходя через щели и меняя при этом направление движения, скорость газа на входе в аппарат составляет 10-15 м/с. Гидравлическое сопротивление аппарата 100 - 400 Па (10 - 40 мм вод. ст.). Частицы пыли с d < 20 мкм в жалюзийных аппаратах не улавливаются. Степень очистки в зависимости от дисперсности частиц составляет 20-70%. Инерционный метод можно применять лишь для грубой очистки газа. Помимо малой эффективности недостаток этого метода - быстрое истирание или забивание щелей.

Данные аппараты отличаются простотой изготовления и эксплуатации, их достаточно широко используют в промышленности. Но эффективность улавливания не всегда достаточна.

Центробежные методы очистки газов основаны на действии центробежной силы, возникающей при вращении очищаемого газового потока в очистном аппарате или при вращении частей самого аппарата. В качестве центробежных аппаратов пылеочистки применяют циклоны различных типов: батарейные циклоны, вращающиеся пылеуловители (ротоклоны) и др. Циклоны наиболее часто применяют в промышленности для осаждения твердых аэрозолей. Газовый поток подается в цилиндрическую часть циклона тангенциально, описывает спираль по направлению к дну конической части и затем устремляется вверх через турбулизованное ядро потока у оси циклона на выход. Циклоны харак­теризуются высокой производительностью по газу, простотой устройства, надежностью в работе. Степень очистки от пыли зависит от размеров частиц. Для циклонов высокой производительности, в частности батарейных циклонов (производительностью более 20000 м3/ч), степень очистки составляет около 90% при диаметре частиц d > 30 мкм. Для частиц с d = 5-30 мкм степень очистки снижается до 80%, а при d == 2-5 мкм она составляет менее 40%. Диаметр частиц, улавливаемых циклоном на 50%, можно опреде­лить по эмпирической формуле

Гидравлическое сопротивление высокопроизводительных циклонов составляет около 1080 Па. Циклоны широко применяют при грубой и средней очистке газа от аэрозолей.

Другим типом центробежного пылеуловителя служит ротоклон, состоящий из ротора и вентилятора, помещенного в осадительный кожух. Лопасти вентилятора, вращаясь, направляют пыль в канал, который ведет в приемник пыли.

Циклонные аппараты наиболее распространены в промышленности, так как у них отсутствуют движущиеся части в аппарате и высокая надежность работы при температуре газов до 5000С, улавливание пыли в сухом виде, почти постоянное гидравлическое сопротивление аппарата, простота изготовления, высокая степень очистки.

Недостатки: высокое гидравлическое сопротивление 1250-1500 Па, плохое улавливание частиц размером меньше 5мкм.

Для очистки газов используют также фильтры. Фильтрация основана на прохождении очищаемого газа через различные фильтрующие материалы. Фильтрующие перегородки состоят из волокнистых или зернистых элементов и условно подразделяются на следующие типы.

Гибкие пористые перегородки – тканевые материалы из природных, синтетических или минеральных волокон, нетканные волокнистые материалы (войлоки, бумаги, картон) ячеистые листы (губчатая резина, пенополиуретан, мембранные фильтры).

Фильтрация - весьма распространенный прием тонкой очистки газов. Ее преимущества - сравнительная низкая стоимость оборудования (за исключением металлокерамических фильтров) и высокая эффективность тонкой очистки. Недостатки фильтрации высокое гидравлическое сопротивление и быстрое забивание фильтрующего материала пылью.

Физико-химические методы очистки выбросов газообразных веществ

1 Метод абсорбции – заключается в поглощении отдельных компонентов газообразной смеси абсорбентом (поглотителем) в качестве которого выступает жидкость.

В качестве абсорбентов применяют воду, растворы аммиака, едких и карбонатных щелочей, солей марганца, этаноламины, масла, суспензии гидроксида кальция, оксидов марганца и магния, сульфат магния и др. Например, для очистки газов от аммиака, хлористого и фтористого водорода в качестве абсорбента используют воду, для улавливания водяных паров – серную кислоту, для улавливания ароматических углеводородов – масла.

Абсорбционная очистка - непрерывный и, как правило, циклический процесс, так как поглощение примесей обычно сопровождается регенерацией поглотительного раствора и его возвращением в начале цикла очистки.

Для реализации процесса очистки применяют абсорберы различных конструкций (пленочные, насадочные, трубчатые и др.). Наиболее распространен насадочный скруббер, применяемый для очистки газов от диоксида серы, сероводорода, хлороводорода, хлора, оксида и диоксида углерода, фенолов и т. д.

Абсорбционные методы характеризуются непрерывностью и универсальностью процесса, экономичностью и возможностью извлечения больших количеств примесей из газов. Недостаток этого метода в том, что насадочные скрубберы, барботажные и даже пенные аппараты обеспечивают достаточно высокую степень извлечения вредных примесей (до ПДК) и полную регенерацию поглотителей только при большом числе ступеней очистки. Поэтому технологические схемы мокрой очистки, как правило, сложны, многоступенчаты и очистные реакторы (особенно скрубберы) име­ют большие объемы.

2. Метод хемосорбции – основан на поглощении газов и паров твердыми и жидкими поглотителями, в результате чего образуются мало летучие и малорастворимые соединения. Большинство хемосорбционных процессов газоочистки обратимы, т. е. при повышении температуры поглотительного раствора химические соединения, образовавшиеся при хемосорбции, разлагаются с регенерацией активных компонентов поглотительного раствора и с десорбцией поглощенной из газа примеси. Хемосорбция в особенности применима для тонкой очистки газов при сравнительно небольшой начальной концентрации примесей.

3. Метод адсорбции - основан на улавливании вредных газовых примесей поверхностью твердых тел, высокопористых материалов, обладающих развитой удельной поверхностью.

Адсорбционные методы применяют для различных технологических целей — разделение парогазовых смесей на компоненты с выделением фракций, осушка газов и для санитарной очистки газовых выхлопов. В последнее время адсорбционные методы выходят на первый план как надежное средство защиты атмосферы от токсичных газообразных веществ, обеспечивающее возможность концентрирования и утилизации этих веществ.

Промышленные адсорбенты, чаще всего применяемые в газоочистке, — это активированный уголь, силикагель, алюмогель, природные и синтетические цеолиты (молекулярные сита). Основные требования к промышленным сорбентам — высокая поглотительная способность, избирательность действия (селективность), термическая устойчивость, длительная служба без изменения структуры и свойств поверхности, возможность легкой регенерации. Известны различные конструкции адсорбентов (вертикальные, используемые при малых расходах, горизонтальные, при больших расходах, кольцевые). Очистку газа осуществляют через неподвижные слои адсорбента и движущиеся слои. После очистки адсорбер переключается на регенерацию. Адсорбционная установка, состоящая из нескольких реакторов, работает в целом непрерывно, так как одновременно одни реакторы находятся на стадии очистки, а другие — на стадиях регенерации, охлаждения и др.

Общие достоинства адсорбционных методов очистки газов:

1) глубокая очистка газов от токсичных примесей;

2) сравнительная легкость регенерации этих примесей с превращением их в товарный продукт или возвратом в производство; таким образом осуществляется принцип безотходной технологии. Адсорбционный метод особенно рационален для удаления токсических примесей (органических соединений, паров ртути и др.), содержащихся в малых концентрациях, т. е. как завершающий этап санитарной очистки отходящих газов.

Недостатки большинства адсорбционных установок — периодичность

4. Метод каталитического окисления

Действие катализаторов проявляется в промежуточном химическом взаимодействии катализатора с реагирующими веществами, в результате чего образуется промежуточные соединения. В результате каталитических реакций примеси, находящиеся в газе, превращаются в другие соединения, т. е. в отличие от рассмотренных методов примеси не извлекаются из газа, а трансформируются в безвредные соединения, присутствие которых допустимо в выхлопном газе, либо в соединения, легко удаляемые из газового потока.

В качестве катализаторов применяют металлы и их соединения (оксиды меди, марганца и др.) Катализаторы имеют вид шаров, колец или другую форму Если образовавшиеся вещества подлежат удалению, то тре­буются дополнительные операции (например, извлечение жидкими или твердыми сорбентами).

Каталитические методы получают все большее распространение благодаря глубокой очистке газов от токсичных примесей (до 99,9%) при сравнительно невысоких температурах и обычном давлении, а также при весьма малых начальных концентрациях примесей. Каталитические методы позволяют утилизировать реакционную теплоту, т.е. создавать энерготехнологические системы. Установки каталитической очистки просты в эксплуатации и ма­логабаритны.

Недостаток многих процессов каталитической очистки — образование новых веществ, которые подлежат удалению из газа другими методами (абсорбция, адсорбция), что усложняет установку и снижает общий экономический эффект.

5.Термический метод заключается в очистке газов перед выбросом в атмосферу путем высокотемпературного дожигания.

Термические методы обезвреживания газовых выбросов применимы при высокой концентрации горючих органических загрязнителей или оксида углерода. Простейший метод — факельное сжигание — возможен, когда концентрация горючих загрязнителей близка к нижнему пределу воспламенения. В этом случае примеси служат топливом, температура процесса 750—900 °С и теплоту горения примесей можно утилизировать.

Когда концентрация горючих примесей меньше нижнего предела воспламенения, то необходимо подводить некоторое количество теплоты извне. Чаще всего теплоту подводят добавкой горючего газа и его сжиганием в очищаемом газе. Горючие газы проходят систему утилизации теплоты и выбрасываются в атмосферу. Такие энерготехнологические схемы применяют при достаточно высоком содержании горючих примесей, иначе возрастает расход добавляемого горючего газа.

 

Рассеивание пылегазовых выбросов в атмосферу.

При любом способе очистке, часть пыли и газов остается в воздухе, выбрасываемом в атмосферу. Рассеивание газовых выбросов используют для снижения опасных концентраций примесей до уровня соответствующего ПДК. Используют различные технологические средства для осуществления процесса рассеивания: трубы, вентиляционные устройства.

На процессы рассеивания выбросов существенное влияние оказывает состояние атмосферы, расположение предприятий и источников выбросов, характер местности и т. д. Горизонтальное перемещение примесей определяется в основном скоростью ветра, а вертикальное – распределением температур в вертикальном направлении.

При распределении концентрации вредных веществ в атмосфере над факелом организованного высокого источника выброса выделяют 3 зоны загрязнения атмосферы:

Рис.

1. Переброс факела выбросов, характеризующийся относительно невысоким содержанием вредных веществ в приземном слое атмосферы.

2. Зона задымления с максимальным содержанием вредных веществ и постепенное снижение уровня загрязнения. Эта зона является наиболее опасной для населения. Размеры этой зоны в зависимости от метеорологических условий находятся в пределах 10-49 высоты трубы.

3. Зона постепенного снижения уровня загрязнения.

При невозможности достигнуть ПДК очисткой иногда применяют многократное разбавление токсичных веществ или выброс газов через высокие дымовые трубы для рассеивания примесей в верхних слоях атмосферы.

Метод достижения ПДК с помощью «высоких труб» служит лишь паллиативом, так как не предохраняет атмосферу, а лишь переносит загрязнения из одного района в другие.

 

Устройство санитарно-защитных зон

Санитарно-защитная зона - это полоса, отделяющая источники промышленного загрязнения от жилых или общественных зданий для защиты населения от влияния вредных факторов производства.

Ширину санитарно-защитных зон устанавливают в зависимости от класса производства, степени вредности и количества, выделенных в атмосферу веществ, и принимают равной от 50 до 1000 м.

Санитарно-защитная зона должна быть благоустроена и озеленена.

Различают 3 типа зон:

Круговые, при полном окружении предприятия жилой застройкой;

Секторные, при частичном окружении предприятия жилой застройкой и примыкания завода к естественной природной преграде.

Трапециидальные, при отрыве предприятия от селитебной зоны.

Устройство сан-защитных зон – вспомогательное средство защиты, так как очень дорогостоящее мероприятие, это увеличение протяженности дорог, коммуникаций и т.д.

Архитектурно-планировочные мероприятия включают правильное взаимное размещение источников выброса в населенных пунктах с учетом направления ветра, выбор под застройку промышленного предприятия ровного возвышенного места, хорошо продуваемого ветрами, сооружение автомобильных дорог в обход населенных пунктов и др.

 

 

Охрана гидросферы

В зависимости от происхождения, состава и качественных характеристик загрязнений (примесей) сточные воды подразделяются на 3 основных категории:

Производственные — использованные в технологическом процессе производства (для промывки сырья и готовой продукции, охлаждения тепловых агрегатов и т.п.). Производственные сточные воды ряда отраслей промышленности загрязнены главным образом отходами производства, в которых могут находиться ядовитые вещества (напр., синильная кислота, фенол, содержание мышьяка, анилин, соли меди, свинца, ртути и др.), а также вещества, содержащие радиоактивные элементы; некоторые отходы представляют определенную ценность (как вторичное сырье). Воду, используемую в промышленности подразделяют на: охлаждающую, технологическую и энергетическую.

Вода часто служит для охлаждения жидких и газообразных продуктов в теплообменных аппаратах, в этом случае она лишь нагревается.

В промышленности 65-80% расхода воды используют для охлаждения.

Технологическая вода непосредственно контактирует с продуктами и изделиями.

Энергетическая вода потребляется для получения пара и нагревания оборудования, помещений, продуктов.

Бытовые – сточные воды, образующиеся в процессе жизнедеятельности людей. Они загрязнены в основном физиологическими отбросами и хозяйственно-бытовыми отходами.

Атмосферные - дождевые и талые воды.

Для защиты гидросферы от загрязнения сточными водами используют такие мероприятия как:

- очистка сточных вод;

- использование оборотного водоснабжения.

 

Очистка сточных вод

При выборе способа очистки примесей учитывают не только их состав в сточных водах, но и требования, которым должны удовлетворять очищенные воды: при сбросе в водоем – ПДС и ПДК, а при использовании очищенных сточных вод в производстве - те требования, которые необходимы для осуществления конкретных технологических процессов.

 

Механические способы очистки сточных вод

Процеживание

Это первичная стадия очистки сточных вод – предназначена для выделения из сточных вод крупных нерастворимых примесей размером до 25мм. Процеживание осуществляется пропусканием воды через решетки и волокноуловители.

Решетки изготавливаются из металлических стержней с зазорами между ними 5-25 мм, устанавливают в коллекторах сточных вод вертикально или под углом 60-700 к горизонту. Скорость движения сточных вод в зазоре между стержнями решетки не должна превышать значений 0,8-1 м/с при максимальном расходе сточных вод.

Отстаивание.

Основано на особенностях осаждения твердых частиц в жидкости и осуществляют в песколовках и отстойниках.

Песколовки применяют для выделения частиц песка. В зависимости от направления движения сточной воды песколовки делятся на горизонтальные с прямолинейным и круговым движением воды, вертикальные и аэрируемые. Наиболее часто используют горизонтальные песколовки.

Удаление осадка из шламосборника осуществляют, как правило, ежесуточно. Глубина песколовки 0,25 –1 м.

Отстойники используют для выделения из сточных вод твердых частиц, размером менее 0,25 мм. По направлению движения сточных вод делят на горизонтальные, вертикальные, радиальные и комбинированные.

Горизонтальные отстойники представляют собой прямоугольные резервуары, имеющие два и более одновременно работающих отделения.

Глубина отстойников равна Н = 1,5 – 4 м, длина 8 – 12Н, ширина коридора 3 – 6м.

Равномерное распределение сточной воды достигается при помощи поперечного лотка, эффективность отстаивания достигает 60%, применяют при расходах воды свыше 15000 м3/сут.

Фильтрование.

Применяют для выделения из сточных вод тонкодисперсных твердых или жидких веществ, удаление которых отстаиванием затруднено. Разделение проводят при помощи пористых перегородок, пропускающих жидкость и задерживающих диспергированную фазу.

В процессе очистки сточных вод приходится иметь дело с большим количеством воды, поэтому применяют фильтры, для работы которых не требуется высоких давлений, то есть фильтры с сетчатыми элементами (микрофильтры и барабанные сетки) и фильтры с фильтрующим зернистым слоем.

В зернистых фильтрах широко используют в качестве фильтроматериалов кварцевый песок, дробленный шлак, гравий и т. д. Их изготавливают однослойными и многослойными.

Поступает сточная вода по коллектору, равномерно распределяясь по сечению фильтра. И поток воды проходит через слои гравия и песка и через перфорированное днище через трубопровод выводится из фильтра. Регенерацию фильтра осуществляют продувкой сжатого воздуха, подаваемого в фильтр по трубопроводу и с последующей обратной промывкой водой через вентиль.

 

Физико-химические методы очистки сточных вод

К физико-химическим методам очистки сточных вод относят коагуляцию, флотацию, адсорбцию, ионный обмен, экстракцию, ректификацию, выпаривание, дистиляцию и др. Эти методы используют для удаления из сточных вод тонкодисперсных взвешенных частиц (твердых и жидких), растворимых газов, минеральных и органических веществ.

Коагуляция – процесс укрупнения дисперсных частиц в результате их взаимодействия и объединения в агрегаты. Ее применяют для ускорения процесса осаждения тонкодисперсных примесей.

Для этого в сточной воде добавляют специальные вещества - коагулянты. Коагулянты образуют в воде хлопья гидрроксидов металлов, которые быстро оседают под действием силы тяжести. Хлопья обладают способностью улавливать коллоидные и взвешенные частицы и агрегировать их. В качестве коагулянтов обычно используют соли алюминия, железа или их смеси.

Флотация. Суть метода заключается в том, что при сближении поднимаются в воде пузырька воздуха с твердой гидрофобной частицей происходит процесс слипания. Затем комплекс пузырек – частица поднимается на поверхность воды, где пузырьки собираются, и возникает пенный слой с более высокой концентрацией частиц.

Достоинствами флотации является непрерывность процесса, широкий диапазон применения, небольшие капитальные и эксплуатационные затраты, высокая степень очистки (95-98%), возможность рекуперации удаляемых веществ. Флотация сопровождается аэрацией сточных вод. Различают следующие способы флотационной обработки сточных вод:

1. С выделением воздуха из растворов. За счет уменьшения давления.

2. С механическим диспергированием воздуха. За счет вращения импеллера в жидкости возникает большое число мелких вихревых потоков, которые разбиваются на пузырьки определенной величины.

3. С подачей воздуха через пористые материалы. При пропускании воздуха через пористые керамические пластины получаются мелкие пузырьки.

4. Электрофлотацию.

5. Химическая флотация. При введении в сточные воды некоторых веществ протекают химические процессы с выделением газов: О2, СО2,.

Адсорбция.

Адсорбционные методы очистки широко применяют для глубокой очистки сточных вод. Она может быть регенеративной (то есть с извлечением вещества из адсорбента и его утилизацией) и деструктивной (с уничтожением адсорбентов вместе с извлеченными веществами из сточных вод).

Эффективность очистки 80-95% в зависимости от химической природы адсорбента, величины адсорбционной поверхности и ее доступности. В качестве адсорбентов используют активированный уголь, синтетические сорбенты и некоторые отходы производства (золу, шлаки, опилки и др.).

Процесс адсорбционной очистки сточных вод ведут при интенсивном перемешивании адсорбента с водой, при фильтровании воды через слой адсорбента.

Биохимические методы очистки

Биохимические методы применяют для очистки хозяйственно-бытовых и промышленных сточных вод от многих растворенных органических и некоторых неорганических веществ. Процесс основан на способности микроорганизмов использовать эти вещества для питания в процессе жизнедеятельности, органические вещества для микроорганизмов являются источником углерода. Микроорганизмы культивируются в активном иле или биопленке.

Активный ил состоит из живых организмов и твердого субстрата. Живые организмы представлены скоплениями бактерий, простейшими червями, плесневыми грибами, дрожжами, редко – личинками насекомых, рачков, а также водорослями. Биопленка растет на наполнителях биофильтра, она имеет вид слизистых обрастаний толщиной 1-3 мм и более.

Очистка в природных условиях

Аэробные процессы биохимической очистки могут протекать в природных условиях и в искусственных сооружениях. На полях орошения, фильтрации и биологических прудах.

Поля орошения.

Это специально подготовленные земельные участки, используемые одновременно для очистки сточных вод и агрокультурных целей. Очистка сточных вод идет под действием почв микрофлоры, солнца, воздуха и под влиянием жизнедеятельности растений.

Если на полях не выращивается с/х культуры и они предназначены только для биологической очистки сточных вод, то они называются полями фильтрации.

Достоинства полей орошения:

1. Снижаются капитальные и эксплуатационные затраты.

2. Обеспечивается получение высоких и устойчивых урожаев с/х растений.

3. Вовлекается в с/х оборот малопродуктивной земли.

Биологические пруды.

Представляют собой каскад прудов, состоящий из 3-5 ступеней, через которые с небольшой скоростью протекает сточная вода. Пруды предназначены для биологической очистки и для доочистки сточных вод в комплексе с другими очистными сооружениями. Различают пруды с естественной или искусственной аэрацией.

Пруды с естественной аэрацией имеют небольшую глубину (0,5 – 1 м), хорошо прогреваются солнцем и заселены водными организмами. В зимнее время пруды не работают.

 

Очистка в искусственных сооружениях

Искусственными сооружениями является аэротенки и биофильтры разной конструкции. В искусственных сооружениях процессы очистки протекают с большей скоростью.

Аэротенками называются ж/б аэрируемые резервуары. Процесс очистки в аэротенках идет по мере протекания через него аэрированной смеси сточных вод и активного ила. Аэрация необходима для насыщения воды кислородом и поддержания ила во взвешенном состоянии.

Аэротенк – это открытый бассейн, оборудованный устройствами для принудительной аэрации. Они бывают 2, 3, 4 – коридорными. Глубиной 2-5 м.

Биофильтры – это сооружения, в корпусе которых размещается кусковая насадка (загрузка). Сточная вода фильтруется через слой загрузки, покрытой пленкой из микроорганизмов, которые окисляют органические вещества, используя их как источники питания и энергии. И масса активной пленки увеличивается. Отработанная (омертвевшая) биопленка смывается протекающей сточной водой и выносится из биофильтра.

В качестве загрузки используют: щебень, гравий, шлак, керамзит, керамические кольца, кубы и т.д.

 

 

Оборотное водоснабжение

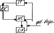
Наиболее перспективный путь снижения потребления свежей воды – это создание оборотных и замкнутых систем водоснабжения. Схемы оборотного водоснабжения показаны на рис. 1. При оборотном водоснабжении следует предусмотреть необходимую очистку сточной воды, обработку и использование сточной воды.




а) с охлаждением воды б)с очисткой воды в) с очисткой и охлаждением воды

Рис. 1: Схема оборотного водоснабжения.

П - производство; НС - насосная станция; OX - охлаждение воды; ОС - очистка сточной вод.

В схеме (а) вода является теплоносителем и в процессе использования не загрязняется, а нагревается, перед повторным использованием ее охлаждают в прудах. В схеме (б) воду перед повторным использованием очищают- В схеме (н) воду очищают и охлаждают. Во всех случаях свежая вода добавляется лишь на восполнение потерь.

При оборотном водоснабжении необходимо предусмотреть необходимую очистку сточных вод, охлаждение оборотной воды. Применение оборотного водоснабжения позволяет в 10-50 раз уменьшить потребление природной воды. При оборотном водоснабжении значительно уменьшаются капитальные и эксплутационные затраты. Во всех отраслях промышленности доля оборотной воды непрерывно возрастает.

Оборотную воду в основном используют в теплообменной аппаратуре для отведения избыточного тепла.

Для предотвращения инкрустации, коррозии, биологического обрастания часть оборотной воды выводят из системы (продувочная вода), добавляя свежую воду из источника или очищенные сточные воды.

 

 

Охрана литосферы

Наиболее распространенные виды деградации почв составляет: водная эрозия –56%, ветровая эрозия – 28%, химическая деградация – 12%, физическая – 1%.

Физическая деградация почв выражается, прежде всего, в ее активном переувлажнении, в разрушении микроструктуры. Возникает она при пастбищном скотоводстве и использовании при пахоте тяжелой техники и при строительных работах.

Главными источниками химического загрязнения почв являются отходы с/х производства и переработки с/х продукции, отходы и продукты предприятий добычи и переработки нефти и газа, атмосферные выпадения в районах действия промышленных предприятий, выбросы тепловых электростанций, выбросы автотранспорта и т.д.

Мероприятия по охране литосферы

К основным мероприятиям по охране литосферы относятся:

-защита почв от ветровой и водной эрозии;

Для борьбы с эрозией используют такие мероприятия как, агротехнические (почвозащитные севообороты, контурная система выращивания с/х культур, гидротехнические (каскадные пруды), лесомелиоративные (полезащитные и водорегулирующие лесные полосы).

-мелиоративные мероприятия (борьба с заболачиванием, засолением почв и др.);

например: понижение уровня грунтовых вод, спрямление русла реки для защиты от затопления, перехват и сброс атмосферных склонных вод и др. Для предотвращения вторичного засоления необходимо устраивать дренаж, регулировать подачу воды, применять полив дождеванием и т.д.

-предотвращение необоснованного изъятия земель из с/х оборота;

Так изъятие пахотных земель для капитального строительства и других целей может быть допущено лишь в исключительных случаях в соответствии с действующим законодательством.

-рекультивация нарушенного почвенного слоя;

- защита почв от загрязнения;

Основным источником загрязнения почвенного слоя являются твердые отходы, которые подразделяются на отходы производства и потребления Твердые бытовые отходы

ТБО – это твердые отбросы, неутилизуемые в быту, образующиеся в результате амортизации предметов быта и самой жизни людей вещества.

В состав ТБО входят: мусор от жилых зданий, дворовый и уличный смет и т. д.

Отходы производства (промышленные) – остатки сырья, материалов полуфабрикатов, образующихся при производстве продукции или выполнении работ и утратившие полностью или частично исходные потребительские свойства.

Для минимизации воздействия отходов потребления и производства на окружающую среду ставятся следующие (по порядку важности) главные задачи:

1. Снижение количества отходов уже в процессе производства продукции.

2.Уменьшение отходов за счет их сортировки при сборе.

3.Широкое вторичное использование материалов, полученных из отходов.

4. Удаление остающихся после переработки отходов с минимально возмож­ным риском для окружающей среды и здоровья человека.

 

Утилизация ТБО.

Складирование

При складировании отходы подвергаются захоронению на специально оборудованном полигоне, обеспечивающем защиту от загрязнения воздуха, воды, почвы с высокоинтенсивными технологическими процессами (деление на секции, уплотнение, отведение и циркуляция фильтрата).

Атмосферные осадки, солнечная радиация и выделение тепла в связи с поверхностными, подземными пожарами, возгораниями, способствуют протеканию на полигонах ТБО не предсказуемых физико-химических и био­химических процессов, продуктами которых являются многочисленные токсичные химические соединения в жидком, твердом и газообразном состояниях. Биогенное воздействие ТБО выражается в том, что отходы благоприятны для размножения насекомых, птиц, грызунов, других млекопитающих, микроорганизмов. При этом птицы и насекомые являются разносчиками болезнетворных бактерий и вирусов на большие расстояния. Оптимальными условиями строительства полигонов является:

а) Наличие свободного участка с основанием на водоупорных грунтах;

б) Расположение уровня грунтовых вод ниже 3 м от поверхности площадки;

в) Обеспечение грунтом или инертными отходами для изоляции ТБО;

г) Получение разрешения на высоту складирования ТБО свыше 20 м.

д) Размещение на расстоянии до 15 км от центра сбора ТБО.

Срок полного обезвреживания отходов 50-100 лет. Способ является наиболее дешевым.

Сжигание.

Отходы сжигаются в специальных печах с последующей трехступенчатой очисткой газов (известковая сорбция, электростатический фильтр, мокрый скруббер), с раздельным отведением и инертизацией шлака и золы, а также утилизацией тепловой энергии.

Оптимальными условиями строительства завода по сжиганию ТБО это:

а) Обеспечение гарантированными и круглосуточными потребителями тепловой энергии;

б) Размещение завода в пределах промзоны и радиуса до 7 км от центра сбора ТБО и до 0,5 км от врезки в существующий теплопровод;

в) Наличие шлакоотвала или потребителя шлака в качестве вторичного сырья не далее 10 км от завода;

г) Численность обслуживаемого населения более 350 тыс. человек.

Главное направление утилизации бытовых отходов в Европейских странах – это сжигание их с предварительной весьма тщательной сортировкой. Сжигание сокращает объем мусора на 70-90 %, в зави­симости от состава. Но и в настоящее время в развитых странах сжигаются до 50% всех отходов.

Оставшиеся после сжигания отходы (зола) подлежит захоронению на полигонах. Поэтому мусоросжигание и захоронение отходов применяют как дополнительное друг друга способы обращения с отходами.

 

Компостирование

Это биотермическое обезвреживание отходов с получением компоста и выделением металлов. Полученный компост используют в с/х, а некомпостируемые отходы отправляют в печи.

Оптимальными условиями строительства завода по механизированной переработке ТБО в компост является:

а) Наличие гарантированных потребителей компоста в радиусе 20 км;

б) Размещение завода у границы города на расстоянии до 15 км от центра сбора;

в) Численность обслуживаемого населения более 350 тыс. человек.

 

Утилизация промышленных твердых отходов

Использование хранилищ промышленных отходов

Для захоронения отходов промышленности целесообразно использовать резервуары в геологических формациях: гранит, вулканические породы, туфы, базальты, соляные толщи, гипс, ангидрит, доломит, глина, гнейсы. Такого рода хранилища могут существовать как самостоятельно, так и совместно с горнодобывающими предприятиями на его шахтном поле.

В течение последних 70-ти лет наша страна была и остается сейчас крупнейшим поставщиком разнообразных полезных ископаемых, при добыче которых образуются порядка нескольких миллиардов м3 пустот, непогашенных или постепенно погашаемых выработанных пространств, пригодных в большей или меньшей степени для захоронения промышленных отходов, в том числе радиоактивных. При размещении отходов необходимо соблюдать ряд определенных условий и ограничений:

1. Водонепроницаемость толщ и наличие над и под ними обильных водоносных толщ;

2. Полное исключение возникновения деформаций, способных сделать толщу водопроводящей (сдвиг под действием собственной массы, динамические нагрузки, вызванные землетрясениями, газодинамическими явлениями, наземными взрывами и т.п.);

3. Размещение вдали от населенных пунктов, территорий возможных появлений наводнений, селей, прорыва дамб и плотин, оседание земной поверхности в результате горных работ;

4. Наличие способов и средств, позволяющих при необходимости оперативно и с полной гарантией навечно перекрыть выработки, через которые отходы будут подаваться в выработанные пространства. Подземное захоронение отходов может осуществляться на различных глубинах и гидродинамических зонах литосферы, согласно этому хранилища подразделяются:

• Неглубокие - в зоне аэрации и активного водообмена;

• Среднеглубокие - ниже зоны активного водообмена, в пределах пластовых температур 50 — 70" С,

• Глубокие — на глубине свыше 2000 м.

Наземные полигоны

Наземные полигоны для хранения промышленных отходов являются и должны использоваться в качестве временных, промежуточных пунктов на пути в хранилища. Согласно действующим положениям по проектированию и созданию наземных полигонов их размещение запрещено:

- Вблизи месторождений пресных подземных вод и их водоохранных зон;

- Вблизи месторождений минеральных лечебных и промышленных вод;

- На территории зон охраны курортов

- На территории заповедников

- В пределах селитебных и рекреационных зон населенных пунктов.

Термическое обезвреживание токсичных промышленных отходов

Данный метод используется для сокращения количества не утилизируемых отходов, которые имеют сложный химический состав, и, как правило, их переработка в полезные продукты или весьма затруднительна на современном этапе, или экономически нецелесообразна.

Пиролиз промышленных отходов

Существует два различных типа пиролиза токсичных промышленных отходов.

Окислительный пиролиз.

Окислительный пиролиз - процесс термического разложения промышленных отходов при их частичном сжигании или непосредственном контакте с продуктами сгорания топлива. Данный метод применим для обезвреживания многих отходов, в том числе «неудобных» для сжигания или газификации: вязких, пастообразных отходов, влажных осадков, пластмасс, шламов с большим содержанием золы, загрязненную мазутом, маслами и другими соединениями землю, сильно пылящих отходов. Кроме этого, окислительному пиролизу могут подвергаться отходы, содержащие металлы и их соли, которые плавятся и возгорают при нормальных температурах сжигания, отработанные шины, кабели в измельченном состоянии, автомобильный скрап и др.

Сухой пиролиз

Сухой пиролиз - процесс термического разложения без доступа кислорода. В результате образуется пиролизный газ с высокой теплотой сгорания, жидкий продукт и твердый углеродистый остаток.

В зависимости от температуры, при которой протекает пиролиз, различается:

1. Низкотемпературный пиролиз или полукоксование (450 - 550° С).

2. Среднетемпературный пиролиз или среднетемпературное коксование (до 800° С).

3. Высокотемпературный пиролиз или коксование (900 - 1050° С).

Утилизация радиоактивных отходов

Безвредных для биосферы ядерных технологий в настоящее время не существует и пока не решена проблема радиоактивных отходов. Сейчас используется безнадежно устаревшие методы обращения с радиоактивными отходами: высокоактивные отходы концентрируются и изолируются, средне и низкоактивные отходы разбавляются и распыляются, загрязняя окружающую среду. Наиболее приемлемый вариант это захоронение их на значительную глубину не менее 600 м в земную кору, так чаще всего хранят в шахтах, штольнях, преимущественно в залежах каменной соли, скважинах, в монолитных скальных породах.

Многие страны, имеющие выход к морю, производят морское захороне­ние различных материалов и веществ, в частности грунта, вынутого при дноуг­лубительных работах, бурового шлака, отходов промышленности, строитель­ного мусора, твердых отходов, взрывчатых и химических веществ, радиоактив­ных отходов. Объем захоронений составил около 10% от всей массы загрязняю­щих веществ, поступающих в Мировой океан, но дампинг (сброс отходов в море) рассматривается как вы­нужденная мера, временная дань общества несовершенству технологии.

На территории России есть крупные центры по утилизации жидких радиоактивных отходов и их захоронению всего их около 20 (Челябинск, Красноярск, Радон в 100 км от Москвы), где используют такие методы обезвреживания: цементирование, остекловывание, битумизация, сжигание твердых радиоактивных отходов и т.д.

В России сформировали два основных направления по утилизации радиоактивных отходов:

Удалить их навечно в космическое пространство.

Ликвидировать физические радиоактивные изотопы, резкое ускорение их превращения в стабильные.

 

 

Экологическая рекультивация

Комплекс работ, направленных на воспроизводство и улучшение всего нарушенного природно-территориального комплекса в целом называется – рекультивация.

Нарушение происходит в основном при строительстве и при горно-добывающих работах.

Объектами рекультивации являются:

- карьерно-отвальные комплексы (карьерные выемки, отвалы, наспи)

- земли, нарушенные при строительных работах,

- территории полигонов твердых отходов,

- земли, нарушенные в результате загрязнения их твердыми, жидкими и газообразными отходами.

В процессе рекультивации различают 2 основных этапа: горнотехнический и биологический.

Задачей 1 этапа является предварительная подготовка территорий (планировка поверхностей, придание откосам нужной формы, снятие, транспортировка и покрытие их плодородными грунтами, подготовка участков для последующего освоения и т.п.).

2 этап охватывает мероприятия по восстановлению плодородия нарушенных земель и созданию благоприятных для жизнедеятельности человека ландшафтов, т.е. восстанавливают продуктивность нарушенных земель, формируют зеленый ландшафт.

Восстановление территорий осуществляется по различным направлениям предполагаемого использования:

- для нужд сельского производства – земледелие и садоводство.

- для лесонасаждения.

- в целях создания водоемов различного назначения – рыборазведение, водоснабжения ит.д.

- под жилищное и промышленное строительство.

 

Оценка качества и эффективности рекультивации

Под качеством рекультивации следует понимать совокупность свойств восстановленных земель, обуславливающих их пригодность удовлетворять определенным требованиям в соответствии с целевым назначением. Качество рекультивации зависит от качества функционирования производственного процесса восстановления нарушенных земель со всеми его элементами и качества труда исполнителей.

Для характеристики качества рекультивационных работ используют следующие виды показателей.

а) технические – включают тип и марки машин и механизмов;

б) технологические – способы планировки, методы создания почвенного слоя, средства защиты от эрозии и т.д.

в) надежность – свойства объекта непрерывно сохранять работоспособность в течении времени полного восстановления плодородия почв.

г) экономические – полнота использования снятых почв, трудоемкость, себестоимость работ.

д) биологические – период восстановления почвенного плодородия.

 

 

Экологический мониторинг

Секретариат ООН по окружающей среде определил экологический мониторинг как систему повторных наблюдений за элементами окружающей среды в пространстве и во времени с определенными целями в соответствии с заранее подготовленными программами.

Цель мониторинга – не только пассивная констатация фактов, но и проведение экспериментов, моделирование процессов в качестве основы прогнозирования.

Экологический мониторинг включает звенья разного уровня.

Глобальный мониторинг – это система наблюдений за общепланетарными изменениями атмосферы, гидросферы, растительного и почвенного покрова, животного мира. Базой СГМ считается космическая и вычислительная техника., которая позволяет получить такую информацию, которую трудно добыть на в результате наземных наблюдений.

Национальный мониторинг – слежение за взаимодействием природы и человека в зональных биосферных заповедниках на территории государства для получения об изменениях качества среды. Необходимы постоянные исследования фоновых характеристик состояния природной среды, наблюдения за экосистемами для определения предельно допустимого воздействия деятельности человека на них.

Региональный мониторинг – система наблюдений на региональном уровне за изменениями окружающей среды в процессе природопользования, особенно в интенсивно осваиваемых районах. Этот мониторинг осуществляют работники гидрометеорологической, гидрохимической, агрохимической и др. служб. Объектами мониторинга служат исчезающие виды растений и животных, агро- и природные экосистемы.

Локальный (санитарно-гигиенический) мониторинг предполагает контроль за уровнем содержания в природных средах токсичных для человека загрязняющих веществ. Он включает наблюдения за отдельными изменениями компонентов природной среды в результате воздействия конкретных загрязнителей (загрязнение воздуха, воды, почв, растительность).

Экологический мониторинг включает в себя следующие этапы.

1. Диагностика экологического состояния окружающей среды.

2. Санитарно-гигиеническая оценка вклада различных источников загрязнения в общую экологическую нагрузку на окружающую среду и оценка ее прогнозируемого состояния.

3. Выдача практических рекомендаций по оздоровлению окружающей среды.

На 1 этапе экологического мониторинга используют данные, собранные на земле (сбор образцов, анализ химическими, спектральными, хроматографическими и др. методами), с воздуха (систематические разведывательные полеты на легких самолетах) и из космоса. Данные, характеризующие состояние природной среды, полученные в результате наблюдений или прогноза, должны оцениваться в зависимости от того, в какой области человеческой деятельности они используются (с помощью специально выбранных или выработанных критериев). Оценка подразумевает, с одной стороны, определение ущерба от воздействия, с другой - выбор оптимальных условий для человеческой деятельности, определение существующих экологических резервов. При такого рода оценках рассчитываются возможные значения допустимых нагрузок на окружающую природную среду.

Для оценки результатов необходимо использовать методы математического моделирования, которые позволяют провести расчет полей средних и максимальных концентраций, примесей химических соединений, являющихся основными характеристиками качества атмосферного воздуха, почвы, воды. Оценка вклада различных по интенсивности источников загрязнения, а также отдельных особо токсичных примесей в общий уровень загрязнения проводится путем сравнения максимальных, разовых и среднесуточных их концентраций, повторяемости веществ, превышающих норм ПДК в среднегодовом и суммарном загрязнении окружающей среды.

Наблюдения за состоянием окружающей природной среды должны включать наблюдения за источниками и факторами воздействия (в том числе источниками загрязнений, излучений и т.п.).

Таким образом, система мониторингов, необходимая для учета, анализа, оценки и прогноза изменения состояния природной среды на различных уровнях, позволяет принимать меры по достижению и сохранению стабильного равновесного состояния жизненной среды.

 

Экологический паспорт

Экологический паспорт промышленного предприятия является основным нормативно-технологическим документом, включающим данные об использовании ресурсов и воздействии его на окружающую среду. Экологический паспорт является документом, в котором должны быть отражены:

- сведения об используемых предприятием технологиях;

- количественные и качественные характеристики используемых ресурсов;

- количественные характеристики выпускаемой продукции;

- количественные и качественные характеристики выбросов загрязняющих веществ от предприятия;

- результаты сравнения используемых предприятием технологий с лучшими отечественными и зарубежными технологиями.

· оценка влияния выбросов (сбросов, отходов) загрязняющих веществ и выпускаемой продукции на окружающую среду и здоровье населения, и определение размера платы за природопользование;

· установление предприятию предельно допустимых норм выбросов (сбросов) загрязняющих веществ в окружающую среду;

· планирование предприятием природоохранных мероприятий и оценка их эффективности;

· экспертиза проектов реконструкции предприятия;

· контроль за соблюдением предприятием законодательства в области охраны природной среды;

· повышение эффективности использования природных и материальных ресурсов, энергии и вторичных продуктов.

Паспорт составляется соответствующими подразделениями предприятия во главе с отделом по охране природы. Руководитель, утвердивший ЭП, несет персональную ответственность за правильность его составления, достоверность содержащихся в нем данных. Экологический паспорт заполняется в двух экземпляров: один хранится на предприятии, второй - в местном комитете по охране природы с грифом «для служебного пользования»

ЭП является не только одной из форм экологического контроля, но также служит информационной основой для паспортизации территорий, регионов в целом.

 

 

Экологическая экспертиза

Это система комплексной оценки состояния территории, охватывающая все виды хозяйственной деятельности. Это определение соответствия или несоответствия сложившейся структуры использования территории потенциальным природным возможностям.

Одна из главных функций при проведении экспертизы — составление проекта экологического прогноза наближайшую и отдаленную перспективы. Это может быть сделано в форме научно обоснованных заключений, картографических и математических моделей, других материалов, характеризующих возможный режим использования хозяйственных систем региона при намечаемых планах его социально-экономического развития.

Его цели – разработка рекомендаций по сохранению экологического равновесия.

Различают государственную и негосударственную экспертизы. Государственную экологическую экспертизу осуществляют Государственный комитет РФ по охране окружающей среды и Министерство природных ресурсов РФ, создающие специальные экспертные комиссии.

Объектами экологической экспертизы могут быть документы, предшествующие хозяйственной деятельности, негативно воздействующей на природную среду, сама вышеназванная деятельность и ее продукты.

Временная инструкция по экологическому обоснованию хозяйственной деятельности в предпроектных и проектных материалах (Минприроды России, 16 июля 1992г) называет 15 экологически опасных видов хозяйственной деятельности, требующих особого внимания, проведения специальных исследований, дополнительных научных и проектных работ. В их числе атомная промышленность, энергетика, металлургия, нефтехимия, нефте- и газопереработка, химическая промышленность, добыча полезных ископаемых; транспортировка нефти и газа, продуктов их переработки, производство целлюлозы, бумаги и картона; производство, хранение, транспортировка и уничтожение боеприпасов, взрывчатых веществ и ракетного топлива; транспортировка, хранение, утилизация, захоронение токсичных и ядовитых отходов; животноводческие комплексы, птицефабрики, мелиоративные системы; крупные склады для хранения нефтяных, химических продуктов, ядохимикатов и пестицидов.

Все проекты, отраслевые схемы, планы, программы добывающей промышленности, энергетики, агропромышленного и лесохозяйственного комплексов, других отраслей хозяйства подлежат обязательной государственной экспертизе.

При экспертизе проектов размещения крупных промышленных комплексов необходимо определить их возможное отрицательное влияние в радиусе 20-30 км.

Утверждение проектов, планов и программ не допускается без проведения экологической экспертизы. Порядок проведения экспертизы регламентируется действующими нормативно-правовыми актами.

 




Поделиться с друзьями:


Дата добавления: 2013-12-12; Просмотров: 1305; Нарушение авторских прав?; Мы поможем в написании вашей работы!


Нам важно ваше мнение! Был ли полезен опубликованный материал? Да | Нет



studopedia.su - Студопедия (2013 - 2026) год. Все материалы представленные на сайте исключительно с целью ознакомления читателями и не преследуют коммерческих целей или нарушение авторских прав! Последнее добавление




Генерация страницы за: 0.014 сек.