Студопедия

КАТЕГОРИИ:


Архитектура-(3434)Астрономия-(809)Биология-(7483)Биотехнологии-(1457)Военное дело-(14632)Высокие технологии-(1363)География-(913)Геология-(1438)Государство-(451)Демография-(1065)Дом-(47672)Журналистика и СМИ-(912)Изобретательство-(14524)Иностранные языки-(4268)Информатика-(17799)Искусство-(1338)История-(13644)Компьютеры-(11121)Косметика-(55)Кулинария-(373)Культура-(8427)Лингвистика-(374)Литература-(1642)Маркетинг-(23702)Математика-(16968)Машиностроение-(1700)Медицина-(12668)Менеджмент-(24684)Механика-(15423)Науковедение-(506)Образование-(11852)Охрана труда-(3308)Педагогика-(5571)Полиграфия-(1312)Политика-(7869)Право-(5454)Приборостроение-(1369)Программирование-(2801)Производство-(97182)Промышленность-(8706)Психология-(18388)Религия-(3217)Связь-(10668)Сельское хозяйство-(299)Социология-(6455)Спорт-(42831)Строительство-(4793)Торговля-(5050)Транспорт-(2929)Туризм-(1568)Физика-(3942)Философия-(17015)Финансы-(26596)Химия-(22929)Экология-(12095)Экономика-(9961)Электроника-(8441)Электротехника-(4623)Энергетика-(12629)Юриспруденция-(1492)Ядерная техника-(1748)

Производство и свойства полиимидоамидов




 

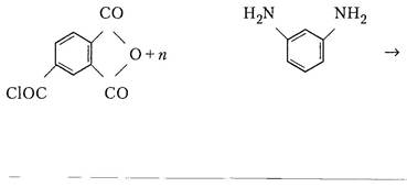
Полиимидоамиды - полимеры, содержащие в основной цепи имидные и амидные группы. Существует несколько способов их получения, но основным является синтез из ангидрида трикарбоновой кислоты и диаминов. Берут хлорангидрид тримеллитового ангидрида и следующие диамины: м- и п -фенилендиамины, 4,4'-диаминодифенилоксид, 4,4'-диаминодифенилметан, бензидин.

Процесс получения полиимидоамидов так же, как и ПИ, состоит из двух стадий. Сначала получают ПАК при температурах от -10 до 20 °С в растворе диметилформамида или диметилацетамида по реакции:

 

 

ПАК данного типа более устойчивы, чем ПАК, получаемые из диангидридов. Затем проводят циклизацию под влиянием нагревания или химических агентов и получают полиимидоамид:

 

 

Полиимидоамиды - аморфные линейные полимеры светло-желтого цвета плотностью 1400 кг/м3. Они растворяются в диметилформамиде и диметилацетамиде с добавкой хлорида лития, в концентрированной серной кислоте. Их температура стеклования 250-275°С, а температура размягчения 420-450 °С, превышающая температуру термоокислительной деструкции; теплостойкость (220°С) ниже теплостойкости ароматических ПИ. Перерабатывают полиимидоамиды при небольшом давле­нии и температурах 315-425°С. Они сохраняют значительную прочность после 1000 ч прогрева при 340°С. Наполненные стекловолокном полиимидоамиды превосходят по прочности алюминий, нержавеющую сталь и сплавы титана при работе в условиях высоких температур.

Ароматические полиимидоамиды пригодны в качестве высокопрочных клеев, пленок, эмалей и покрытий.

Диэлектрические свойства этих полимеров мало изменяются при повышении температуры и являются достаточно высокими даже при температурах, близких к 260 °С.

Полиимидоамиды применяются в самолетостроении и ракетной технике, при изготовлении тепловых щитов, выхлопных сопел ракет, головных частей снарядов, обтекателей радиолокационных антенн, печатных схем и др.

 




Поделиться с друзьями:


Дата добавления: 2013-12-13; Просмотров: 899; Нарушение авторских прав?; Мы поможем в написании вашей работы!


Нам важно ваше мнение! Был ли полезен опубликованный материал? Да | Нет



studopedia.su - Студопедия (2013 - 2026) год. Все материалы представленные на сайте исключительно с целью ознакомления читателями и не преследуют коммерческих целей или нарушение авторских прав! Последнее добавление




Генерация страницы за: 0.013 сек.