Студопедия

КАТЕГОРИИ:


Архитектура-(3434)Астрономия-(809)Биология-(7483)Биотехнологии-(1457)Военное дело-(14632)Высокие технологии-(1363)География-(913)Геология-(1438)Государство-(451)Демография-(1065)Дом-(47672)Журналистика и СМИ-(912)Изобретательство-(14524)Иностранные языки-(4268)Информатика-(17799)Искусство-(1338)История-(13644)Компьютеры-(11121)Косметика-(55)Кулинария-(373)Культура-(8427)Лингвистика-(374)Литература-(1642)Маркетинг-(23702)Математика-(16968)Машиностроение-(1700)Медицина-(12668)Менеджмент-(24684)Механика-(15423)Науковедение-(506)Образование-(11852)Охрана труда-(3308)Педагогика-(5571)Полиграфия-(1312)Политика-(7869)Право-(5454)Приборостроение-(1369)Программирование-(2801)Производство-(97182)Промышленность-(8706)Психология-(18388)Религия-(3217)Связь-(10668)Сельское хозяйство-(299)Социология-(6455)Спорт-(42831)Строительство-(4793)Торговля-(5050)Транспорт-(2929)Туризм-(1568)Физика-(3942)Философия-(17015)Финансы-(26596)Химия-(22929)Экология-(12095)Экономика-(9961)Электроника-(8441)Электротехника-(4623)Энергетика-(12629)Юриспруденция-(1492)Ядерная техника-(1748)

Поверхностные интегралы первого рода




Поверхностные интегралы

В разных физических вопросах часто встречаются функции, заданные на той или иной поверхности. Примерами таких функций могут служить плоскость распределения зарядов на поверхности проводника, освещенность поверхности, скорость жидкости, протекающей через некоторую поверхность, и т.д.

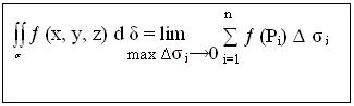
Пусть в каждой точке некоторой поверхности σ, ограниченной линией L определена функция ƒ(p). Разобьем поверхность σ произвольными кривыми на части ∆σ1, ∆σ2, ..., ∆σn. Площадь каждой из них обозначим так же

∆σ 1, ∆δ2, ..., ∆δn. Выбрав в каждой из них произвольную точку Рi составим сумму

n

∑ ƒ (Рi) ∆δi, которую называют интегральной суммой.

i=1

Предел этой суммы при max ∆σi→0 называют поверхностным интегралом первого рода и обозначают или ,

при этом переменные x, y, z связаны условием: точка (x, y, z) лежит на поверхности σ.

 

 

Его вычисление сводится к вычислению двойного интеграла.

Поверхность σ задана уравнением z = z(x, y) и проектируется на плоскость xoy в области D.

Площадь поверхности

где (xi*, yi*) – некоторая точка, лежащая в области D (т.∆Si)

где ∆Si – площадь площадки ∆Si.

т. Pi ∆ σ i

Pi = P(xi, yi, zi)

 

z

 
 

 

 


0 y

Д

 

Вычисляя предел левой и правой части при max ∆σi→0 (maxΔSi→0) получим в левой части поверхностный интеграл, а в правой части двойной интеграл по области D.

 

 

Замечание. Если поверхность σ задана уравнением: x=x(y,z) или y = y(x,z),

то поверхностные интегралы вычисляются аналогично по формулам:

 

Пример (Б.3876) Вычислитьƒ(z + 2x + 4/3 y) dσ,

где σ – часть плоскости x/2 + y/3 + z/4 = 1, лежащая в первом октанте.

 

z

4 z = 4(1 – x/2 – y/3)

 

 

0 3

2 y

 

x

 

область D, т.е. ее проекция на пл. xoy

 

y

 

3

 

x/2 + y/3 = 1

       
 
   
 

 

 


0 2 x

 

2 3(1-x/2)

∫∫ (z + 2x + 4/3y)dδ = ∫ dx ∫ (4(1 – x/2 – y/3) + 2x + 4/3y) =

σ 0 0

2 3(1-x/2) 2 3(1-x/2) 2 2

∫ dx ∫ 4dy = 4∫ y│ dx = 4*3 ∫ (1-x/2) dx = 12(x – x3/4)│ = 12(2 – 4/4) = 12

0 0 0 0 0 0

 




Поделиться с друзьями:


Дата добавления: 2013-12-13; Просмотров: 448; Нарушение авторских прав?; Мы поможем в написании вашей работы!


Нам важно ваше мнение! Был ли полезен опубликованный материал? Да | Нет



studopedia.su - Студопедия (2013 - 2026) год. Все материалы представленные на сайте исключительно с целью ознакомления читателями и не преследуют коммерческих целей или нарушение авторских прав! Последнее добавление




Генерация страницы за: 0.01 сек.