Студопедия

КАТЕГОРИИ:


Архитектура-(3434)Астрономия-(809)Биология-(7483)Биотехнологии-(1457)Военное дело-(14632)Высокие технологии-(1363)География-(913)Геология-(1438)Государство-(451)Демография-(1065)Дом-(47672)Журналистика и СМИ-(912)Изобретательство-(14524)Иностранные языки-(4268)Информатика-(17799)Искусство-(1338)История-(13644)Компьютеры-(11121)Косметика-(55)Кулинария-(373)Культура-(8427)Лингвистика-(374)Литература-(1642)Маркетинг-(23702)Математика-(16968)Машиностроение-(1700)Медицина-(12668)Менеджмент-(24684)Механика-(15423)Науковедение-(506)Образование-(11852)Охрана труда-(3308)Педагогика-(5571)Полиграфия-(1312)Политика-(7869)Право-(5454)Приборостроение-(1369)Программирование-(2801)Производство-(97182)Промышленность-(8706)Психология-(18388)Религия-(3217)Связь-(10668)Сельское хозяйство-(299)Социология-(6455)Спорт-(42831)Строительство-(4793)Торговля-(5050)Транспорт-(2929)Туризм-(1568)Физика-(3942)Философия-(17015)Финансы-(26596)Химия-(22929)Экология-(12095)Экономика-(9961)Электроника-(8441)Электротехника-(4623)Энергетика-(12629)Юриспруденция-(1492)Ядерная техника-(1748)

Механика

1.Кинематика поступательного движения

2.Кинематика вращательного движения

3.Импульс тела и системы тел.

4.Системы отсчета. Инерциальные системы отсчета.

5.Первый,второй,третий закон Ньютона

6.Закон сохранения импульса.

7.Центр масс. Закон движения центра масс.

8.Силы трения

9.Работа и энергия, мощность.

10. Закон сохранения энергии

11.Абсолютно упругий и неупругий удары.

Механика-это часть физики, закономерности механического движения и причины изменяющие или вызывающие эти движения.

Классические механические –движение микроскопических тел, скорость их намного меньше скорости света в вакууме.(неизвестное слово)

Механика –закон движения микроспических тел движения со скоростями близкими к скорости света.

Квантовая механика закон движения микроскопических тел: отдельных атомов, частиц.

Кинематика-изучает движения тел не рассматривая причины движения этих тел. Динамика – изучает законы движения тел и причины, которые вызывающие или изменяющие движения.

Статика- изучает законы равновесия тел.

Элементы кинематики: Материальная точка: это тело, обладающее массой, размерами которого можно пренебречь. Система материальных точек – это произвольно макроскопическое тело, поэтому изучение произвольной системы тел сводиться к изучению системы материальных точек.

Абсолютно твердое тело – это тело, которое не при каких условиях не деформируется. Абсолютно упругое тело – это тело деформация которого изучается закону Гука. Абсолютно не упругое тело- это тело, полностью сохраняющееся форму деформирования после снятие внешних сил.

Кинематические уравнения движения материальной точки.

Тело отсчета – это произвольно выбранное тело относительно которого определяется расположение других тел. Система координат связанных с системой отсчета – это система отсчета.

Движение материальной точки определяется системой скалярных уравнений.

Траектория – это линия описываемая движением материальной точкой относительно выбранной системы отсчета и в зависимости от формы траектории бывает: прямолинейным,криволинейным движением. Вектор перемещения (^R вектор)-вектор проведенный из начального положения точки в положение, где он находится.

При прямолинейном перемещение модуль равен пути.

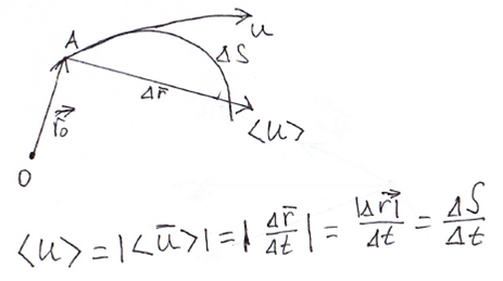
Скорость это векторная величина, определяет быстроту движения и направления.

Средняя скорость - это векторная величина отношений

Мгновенная скорость – это скорость в данный момент времени в данной точки траектории

Вектором мгновенной U направлен по касательной траектории в сторону движения.

Длина пути пройденного материальной точки от t1 до t2 задается интегралами.

Ускорение – оно определяет быстроту изменения скорости по модулю и направлению. Среднее ускорение –есть изменение <a>

Мгновенное ускорение - в данный момент времени в данной точки траектории.

Полное ускорение а- сумма тангенциального ускорения и нормального

Вращательное движение твердого тела – это все точки центр которого удалён равно.

Омега направлена по оси.

Период вращения.T- период –время полного поворота

T=2ПW

Модуль вектора = углу поворота а его направление совпадает с направлением (по правилу винта)


 

Динамика

Инерциальные системы отсчета – это системы движущихся прямолинейно или равномерно или покоящиеся.

Не И.С.О. Это системы связанные с телами движущихся не равномерно

Для инерциальных системы отсчета справедливы законы Ньютона.

1-Закон Ньютона в ИСО тела движутся прямолинейно и равномерно или покоятся.

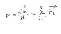
2-Закон Ньютона ускорение приобретаемое материальной точкой пропорционально сумму всех сил действующих на тело и обратно пропорционально масса тела.

Импульс равен произведению массы тела на скорость.

3-Закон Ньютона.

Сила с которыми действуют тела друг на друга противоположны направлены и действуют вдоль прямой соединяющей центр этих тел. Позволяет сделать переход от динамики материальной точке к системе точек F1=-F2

Силы действующие в механической системе.

Внутренние силы- силы которые на систему механического тела.

Замкнутые силы – силы действуют из вне на них на них не действуют механические силы.

Физические свойства системы не зависят от выбора начала И.С.О

Центр массы СИО – это воображаемая точка положение которой характеризует распределение массы этой системы, ее радиус вектор

Закон движения центра масс системы – движется так мат.точка в которой сосредоточена масса всей системы и на которую действует сила равная векторной сумме всех внешних сил, действующих на систему.

КОНСПЕКТ.

Сила трения.

Внешним трением называется трение, возникающее в плоскости касания двух соприкасающихся тел при их относительном перемещении. Если соприкасающиеся тела неподвижны друг друга, говорят о трении покоя, если же происходит относительное перемещение этих тел, то в зависимости от характера их относительного движения говорят о трении скольжения, качения или вращения.

Внутренним трением называется трение между частями одного и того же тела, например между различными слоями жидкости или газа, скорости которых меняются от слоя к слою. Если тела скользят относительно друг друга и разделены прослойкой вязкой жидкости (смазки), то трение происходит в слое смазки. В таком случае говорят о гидродинамическом трении (слой достаточно толстый и граничным трением толщина прослойки ~0,1 мкм и меньше)

Сила трения скольжения Fтр пропорционально силе N нормального давления с которой одно тело действует на другое.

Коэффициент трения равен тангенсу угла Aо. при котором начинается скольжения тела при наклонной плоскости.

Радикальный способ уменьшения силы трения является замена трения скольжения трением качения.

Fтр кач. Определяется по закону:

 

 


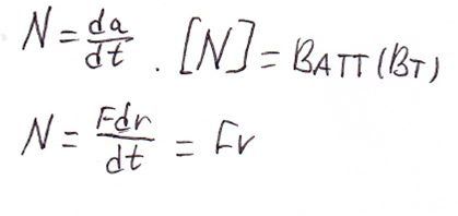
Работа.Энергия.Мощность.

Энергия универсальная мера различных форм движение и вращение.

Энергия, отданная одним телом другому телу, равна энергии, полученной последним телом.

Работа силы – качественная характеристика процесса обмена энергией между взаимодействий телами.

Элементарной работой силы F на перемещение dr называется скалярная величина.

dA*Fdr-Fcos hds-Fsds, где

 

 

 

Чтобы охарактеризовать о совершения работы, вводят мощность.

Абсолютно упругий и неупругий удары.

Удар это столкновение двух или более тел, при котором взаимодействие длиться очень короткое время.

Отношение нормальных составляющий относительной скорости тел после и до удара показывается коэффициентом восстановления:

 

Если E>0, то такие тела называются абсолютно неупругими, если E>1- абсолютно упругими.

Абсолютно упругий удар –столкновения двух тел в результате которого в обоих взаимодействующих телах не останется никаких деформаций и вся кинетическая энергия которой обладали тела до удара, после удара снова превращаются в кинетическую энергию.

Абсолютно неупругий удар- столкновение двух тел, в результате которого тела объединяются,двигаясь дальше как одно целое.

<== предыдущая лекция | следующая лекция ==>
Понятие информатики и информации, свойства информации, количество и качество информации, энтропия, меры информации, сообщения и сигналы | Сущность денег. Первые попытки теоретически осмыслить природу денег были сделаны еще выдающимися мыслителями древности — Ксенофонтом, Платоном и особенно Аристотелем,
Поделиться с друзьями:


Дата добавления: 2013-12-13; Просмотров: 426; Нарушение авторских прав?; Мы поможем в написании вашей работы!


Нам важно ваше мнение! Был ли полезен опубликованный материал? Да | Нет



studopedia.su - Студопедия (2013 - 2026) год. Все материалы представленные на сайте исключительно с целью ознакомления читателями и не преследуют коммерческих целей или нарушение авторских прав! Последнее добавление




Генерация страницы за: 0.008 сек.