Студопедия

КАТЕГОРИИ:


Архитектура-(3434)Астрономия-(809)Биология-(7483)Биотехнологии-(1457)Военное дело-(14632)Высокие технологии-(1363)География-(913)Геология-(1438)Государство-(451)Демография-(1065)Дом-(47672)Журналистика и СМИ-(912)Изобретательство-(14524)Иностранные языки-(4268)Информатика-(17799)Искусство-(1338)История-(13644)Компьютеры-(11121)Косметика-(55)Кулинария-(373)Культура-(8427)Лингвистика-(374)Литература-(1642)Маркетинг-(23702)Математика-(16968)Машиностроение-(1700)Медицина-(12668)Менеджмент-(24684)Механика-(15423)Науковедение-(506)Образование-(11852)Охрана труда-(3308)Педагогика-(5571)Полиграфия-(1312)Политика-(7869)Право-(5454)Приборостроение-(1369)Программирование-(2801)Производство-(97182)Промышленность-(8706)Психология-(18388)Религия-(3217)Связь-(10668)Сельское хозяйство-(299)Социология-(6455)Спорт-(42831)Строительство-(4793)Торговля-(5050)Транспорт-(2929)Туризм-(1568)Физика-(3942)Философия-(17015)Финансы-(26596)Химия-(22929)Экология-(12095)Экономика-(9961)Электроника-(8441)Электротехника-(4623)Энергетика-(12629)Юриспруденция-(1492)Ядерная техника-(1748)

Аналоговые преобразователи параметров напряжений и токов

Измерение постоянных токов. Наиболее высокую точность измерения токов получают с помощью компенсатора постоянного тока, основанного на уравновешивании (компенсации) э. д. с. испытуемого источника и известного падения

Рис. 3. Упрощенная схема компенсатора постоянного тока.

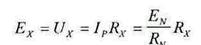
напряжения на точном резисторе. Погрешность измерения с помощью современных компенсаторов обычно не более 0,02%. Упрощенная схема подобного компенсатора показана на рис. 3,а, б. Образцовый резистор RN, декадный магазин сопротивлений регулируемый резистор R0 совместно с вспомогательной батареей Е0 образуют цепь установки рабочего тока Iр. При установке его значения переключатель П находится в положении I и нулевой прибор НП находится под воздействием разности потенциалов нормального элемента EN и падения напряжения UN =Ip * RN. Установка значения Ip производится изменением R0 до выполнения равенства

(6)

После установки Ip переключатель П переводится в положение II и к зажимам Еx подключается измеряемое напряжение, которое сравнивается с падением напряжения UN =Ip * RN, где Rx — часть резистора R, с которого снимается падение напряжения Ux. Используя равенство (6), можно написать (7)

Для того чтобы с помощью компенсатора измерить неизвестный ток Ix, следует получить напряжение Ux, пропорциональное этому току, что возможно с помощью вспомогательной цепи (рис. 3,б), в которой последовательно с нагрузкой Rn включен образцовый резистор R’N >> RH. Тогда измерение тока Ix сведется к измерению падения напряжения на r’N, равного , а отсюда по аналогии с (7) получим

(8)

Компенсаторы постоянного тока применяются для точных измерений токов Ix. На практике такая высокая точность не требуется. В этих случаях измерять ток можно с помощью вольтметра по падению напряжения, создаваемому током Ix на небольшом образцовом резисторе rN.

Погрешность измерения таким способом определяется точностью образцового резистора и используемого вольтметра.

 

Измерение переменных токов. В современной технике для измерения переменных токов применяют различные приборы. Применимость каждого из них определяется прежде всего частотой измеряемого тока. Поэтому рационально разделить наиболее широко используемые измерители тока по частотным диапазонам их применимости, как показано на рис. 4. Из всех типов амперметров,

Рис. 4. Классификационная схема амперметров.

указанных на рисунке, далее рассмотрим только выпрямительные, термоэлектрические и фотоэлектрические.

Широко применяемые в электротехнических измерениях, приборы электромагнитной и электродинамической систем имеют малую чувствительность, а их частотный диапазон применимости не выше нескольких сотен герц. Более удобными приборами для измерения токов на частотах до 30-40 кГц являются выпрямительные приборы, представляющие собой комбинацию магнитоэлектрического измерительного механизма с выпрямительным элементом того или иного типа. Приборы этого типа строятся по однополупериодной или двухполупериодной схемам выпрямления измеряемого тока (рис. 5,а, б).

В первой из них диод Д1 проводит ток только в течение положительного полупериода измеряемого тока, следовательно, через рамку прибора И будут протекать периодические импульсы тока в виде полусинусоид, а так как подвижная система магнитоэлектрического прибора обладает большой инерцией, то реагировать она будет только на среднее значение тока I0. Ток

Рис. 5. Схемы миллиамперметров:

а-с однополупериодным;

б-с двуполупериодным выпрямителем

(9)

Полуволна тока обратного направления проходит через диод Д2, в цепь которого для уравнивания сопротивлений ветвей включают дополнительный резистор с сопротивлением, равным сопротивлению подвижной рамки прибора И.

Более высокая чувствительность получается в приборах с двухполупериодным выпрямлением (Рис. 5. б), в которых выпрямительные диоды образуют схему моста, одна его диагональ подключена к входным зажимам, а в цепь второй включен магнитоэлектрический миллиамперметр. В этой схеме в одну половину периода ток протекает через диоды Д1, Д3 и прибор И, а в другую—через диоды Д2, Д4 и прибор И, причем в течение обоих полупериодов в одном направлении. Следовательно, при равных значениях Im и одинаковых параметрах измерителя и диодов чувствительность повышается в два раза.

Погрешность измерения с помощью выпрямительных приборов определяется погрешностью примененного магнитоэлектрического прибора, не идеальностью характеристик диодов, влиянием междуэлектродных емкостей диодов и изменениями температуры внешней среды.

Принцип действия компенсаторов переменного тока основан также на уравновешивании измеряемого напряжения Ux известным напряжением, создаваемым рабочим током на участке сопротивления вспомогательной цепи. Компенсаторы переменного тока обеспечивают меньшую точность измерений, главным образом, из-за отсутствия эталона переменного напряжения, аналогичного нормальному элементу.

Рис. 6. Схема компенсатора переменного тока для измерения тока Ix в полярной системе координат.

В зависимости от способа уравновешивания и представления результата измерения компенсаторы переменного тока делят на два класса. Первые измеряют Ux, в полярной системе координат (рис. 6), вторые - в прямоугольной (рис. 7).

Измеряемый ток Ix, (рис. 6) пропускается через образцовый резистор R0, и падение напряжения на нем Ux = Ix*R0 подаётся на вход компенсатора, последовательно с которым включен вибрационный гальванометр ВГ и калиброванные резисторы R1 и r2. Подбором положения движков резисторов R1 и R2 добиваются равенства по модулю, а управляя фазорегулятором ФР - равенства фазовых сдвигов . Выполнение обоих условий обнаруживается по отсутствию отклонений ВГ.

Прямоугольно-координатный компенсатор имеет две рабочие ветви (рис. 7, а, б). Ветвь I состоит из последовательно соединенных амперметра А, резистора R’p, регулирующего рабочий ток I1, калиброванной проволоки аб с сопротивлением Rаб с отводом от середины д, и первичной обмотки воздушного трансформатора Тр. Ветвь II (рабочая) состоит из последовательно соединенных вторичной обмотки трансформатора Тр, частотно-компенсирующего резистора Rf и калиброванной проволоки вг с сопротивлением (средние точки соединены непосредственно).

Если в ветви I и протекает ток I1, то в ветви II благодаря наличию воздушного трансформатора Тp без потерь будет протекать ток I2, сдвинутый по фазе на 90° относительно I1,

(10)

где —суммарное сопротивление во вторичной обмотке трансформатора Тp.

Падение напряжения на резисторах Rаб и Rвг при протекании через них сдвинутых по фазе токов I1 и I2 используется для уравновешивания напряжения Ux, образующегося на образцовом резисторе R0 при пропускании через него измеряемого тока Ix.

Рис. 7. Схема прямоугольно-координатного компенсатора переменного тока.

Отчеты, снимаемые со шкал резисторов RАБ и Rвг, позволяют определить и модуль, и фазу измеряемого тока Ix (рис. 7,б).

Из формулы (10) видно, что значение тока I2 зависит от частоты. Устранить эту зависимость можно изменением сопротивления Rf так, чтобы отношение было бы постоянным.

Измерение токов высокой частоты. Из всех известных способов и приборов измерения высокочастотных токов наиболее часто на практике используются термоэлектрические и фотоэлектрические амперметры, частотный диапазон применимости которых простирается вплоть до 2000-2500 МГц.

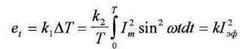
Термоэлектрический амперметр состоит из магнитоэлектрического измерителя, непосредственно измеряющего термо - э. д. с. et одной или группы термопар. Значение et в этом случае определяется температурой подогревателя, обтекаемого измеряемым током. Конструктивно термопары в подобных приборах выполняются по вариантам, показанным на рис. 8, а - в.

Рис. 8. Термопары, применяемые в измерителях тока:

а - «термокрест»; б - термопара с прямым подогревом; в - термопара с косвенным подогревом.

Известно, что термо-э. д. с., развиваемая термопарой при постоянной температуре холодного спая, является практически линейной функцией температуры горячего спая. Но температура подогревателя обусловливается количеством тепла выделяющимся при протекании через него измеряемого тока I=Im sint, следовательно, температура горячего спая и et в этом случае будут пропорциональны квадрату эффективного (действующего) значения измеряемого тока:

(11)

 

где k—для конкретного прибора величина постоянная: Т-приращение температуры спая, Т-период тока.

Таким образом, шкалу магнитоэлектрического прибора непосредственно измеряющего et, можно проградуировать в эффективных значениях измеряемого тока.

Погрешности измерения термоамперметрами определяются классом точности используемого индикатора, изменениями внешней температуры и в значительной степени влиянием поверхностного эффекта. Некоторого снижения температурной погрешности удается добиться применением в качестве подогревателей материалов с малым температурным коэффициентом сопротивления или введением термокорректирующих цепей в схему индикатора.

Рис. 9. Упрощенная схема фотоамперметра

Для измерения токов с частотами дециметрового диапазона применяются также фотоэлектрические амперметры. Принцип действия фотоамперметров заключается в том, что тонкая нить измерительной лампы Л нагревается измеряемым током, и световой поток, излучаемый ею, измеряется с помощью фотоэлемента ФЭ включенного на вход усилителя У (рис. 9). Выходной ток этого устройства регистрируется с помощью магнитоэлектрического прибора И, проградуированного в, миллиамперах или амперах.

Недостатком фотоамперметров является необходимость их частой градуировки, так как чувствительность фотоэлементов обычно существенно изменяется во времени.

Одно из достоинств фотоамперметров заключается в возможности его градуировки на постоянном токе или токе низкой частоты, если нить накаливания лампы Л выполнена с учетом неравенств d<2zэ, 1</(8¸10), где d,l — диаметр и длина нити накаливания; —длина волны; zэ —эффективная глубина проникновения тока в проводник.

Измерение постоянных напряжений. Для измерения напряжений в сильноточных цепях применяют вольтметры на основе электромагнитных и электродинамических измерительных механизмов, а в слаботочных - чаще применяют магнитоэлектрические приборы. Но все указанные типы приборов непосредственно являются измерителя тока, и для создания на их основе вольтметра необходимо брать измерительный механизм с возможно меньшим значением тока, отклоняющего подвижную систему на всю шкалу (Iп), и включать последовательно с ним добавочный резистор Rд, чтобы удовлетворялось равенство

Uх=Iп(R п +R д ) (14)

где Rп — омическое сопротивление рамки прибора;

UXmax - наибольшее значение измеряемого напряжения.

Так как вольтметр включается параллельно исследуемой цепи, желательно, чтобы его входное сопротивление Rвх было достаточно велико. Обычно Rвх оценивают по числу омов входного сопротивления на один вольт предельного измеряемого напряжения.

Измерение переменных напряжений. Для измерения напряжения переменного тока промышленной частоты обычно применяют вольтметры электромагнитной, электродинамической и электростатической систем, которые, так же как и вольтметры постоянного тока, состоят из измерительного механизма высокой чувствительности с добавочным резистором Rд.

Вольтметры для измерения на повышенных и высоких частотах строятся исключительно на основе магнитоэлектрических измерительных механизмов в сочетании с тем или иным типом преобразователя переменного тока в постоянный, преимуществом из которых пользуются полупроводниковые (или ламповые) диоды, электронные лампы или полупроводниковые триоды. Каждый из этих преобразователей имеет свои достоинства и недостатки и свою область применения.

 

Рис. 16. Схемы выпрямительных вольтметров:

а-с однополупериодным;

б-с двуполупериодным выпрямителем.

 

Вольтметры с диодными выпрямителями представляют собой комбинацию магнитоэлектрического микроамперметра и одно ИЛИ двухполупериодного выпрямителя на кремниевых или германиевых диодах. Они применяются главным образом для измерения в области звуковых частот. Схемы таких вольтметров, приведенные на рис. 16, отличаются от аналогичных схем выпрямительных амперметров только наличием добавочного резистора Rд. Основной источник погрешности измерения в подобных вольтметрах определяется наличием емкостей, шунтирующих выпрямительные диоды, через которые часть тока минует выпрямительный элемент. Для уменьшения влияния частоты на точность измерения применяют схемы последовательной (рис. 17, а) или параллельной частотной коррекции. Сущность работы этих схем заключается в том, что с ростом частоты увеличивается ток, притекающий к основной выпрямительной части, что возмещает утечку тока через емкости Сд выпрямителей.

Приборы описанного типа часто предпочитают другим ввиду их простоты и компактности, отсутствия необходимости внешних источников питания, большого входного сопротивления и высокой надежности. Частотная область применимости выпрямительных вольтметров ограничивается диапазоном частот до 30 — 40 кГц.

Электронные вольтметры (ЭВ) представляют собой электронное детектирующее устройство того или иного типа, работающее непосредственно или через вспомогательный усилитель на выходной указывающий прибор магнитоэлектрической системы. ЭВ широко распространены в измерительной технике для измерения напряжений разных форм и частот.

Рис. 17. Схемы частотной коррекции в выпрямительных вольтметрах:

а - схема последовательной; б - схема параллельной коррекции

 

В технике наиболее часто приходится измерять напряжения четырех основных форм, показанных на рис. 18, а — г, постоянное, синусоидальное, пульсирующее и импульсное. Кроме того, синусоидальное напряжение может характеризоваться амплитудным Um, эффективным (действующим) Uэф, и средневыпрямленным Uср значениями, а пульсирующее напряжение—величинами Umax, амплитудами Um1 и Um2 положительной и отрицательной полуволной переменной составляющей и U0 — средним значением за период. Поэтому отдельные типы ЭВ будут несколько, различаться схемами в зависимости от конкретно фиксируемого параметра, измеряемого напряжения и частотного диапазона применения.

 

 

<== предыдущая лекция | следующая лекция ==>
Структурные схемы приборов | Цифровые преобразователи и приборы
Поделиться с друзьями:


Дата добавления: 2014-01-04; Просмотров: 953; Нарушение авторских прав?; Мы поможем в написании вашей работы!


Нам важно ваше мнение! Был ли полезен опубликованный материал? Да | Нет



studopedia.su - Студопедия (2013 - 2025) год. Все материалы представленные на сайте исключительно с целью ознакомления читателями и не преследуют коммерческих целей или нарушение авторских прав! Последнее добавление




Генерация страницы за: 0.014 сек.