Студопедия

КАТЕГОРИИ:


Архитектура-(3434)Астрономия-(809)Биология-(7483)Биотехнологии-(1457)Военное дело-(14632)Высокие технологии-(1363)География-(913)Геология-(1438)Государство-(451)Демография-(1065)Дом-(47672)Журналистика и СМИ-(912)Изобретательство-(14524)Иностранные языки-(4268)Информатика-(17799)Искусство-(1338)История-(13644)Компьютеры-(11121)Косметика-(55)Кулинария-(373)Культура-(8427)Лингвистика-(374)Литература-(1642)Маркетинг-(23702)Математика-(16968)Машиностроение-(1700)Медицина-(12668)Менеджмент-(24684)Механика-(15423)Науковедение-(506)Образование-(11852)Охрана труда-(3308)Педагогика-(5571)Полиграфия-(1312)Политика-(7869)Право-(5454)Приборостроение-(1369)Программирование-(2801)Производство-(97182)Промышленность-(8706)Психология-(18388)Религия-(3217)Связь-(10668)Сельское хозяйство-(299)Социология-(6455)Спорт-(42831)Строительство-(4793)Торговля-(5050)Транспорт-(2929)Туризм-(1568)Физика-(3942)Философия-(17015)Финансы-(26596)Химия-(22929)Экология-(12095)Экономика-(9961)Электроника-(8441)Электротехника-(4623)Энергетика-(12629)Юриспруденция-(1492)Ядерная техника-(1748)

Воздействие переменным магнитным полем




Терапевтический контур в целях безопасности больного индуктивно связан с контуром генератора, так как индуктивная связь исключает возможность случайного попадания больного под высокое постоянное напряжение, которое практически всегда имеется в генераторах колебаний.

Терапевтический контур

Аппарат электрохирургии высокочастотный

 

Принцип действия аппарата основан на воздействии токов высокой частоты на мягкие биологические ткани.

При протекании тока через мягкие ткани осуществляется их резание и коагуляция кровеносных сосудов. Резание тканей производится синусоидальным немодулированным током частотой 1,76 мГц. При касании электродом мягкой ткани, вследствие высокой плотности входного тока, происходит мгновенный нагрев клеток и испарение внутриклеточной жидкости, что приводит к разрыву клеток в зоне касания, таким образом, осуществляется разрез ткани.

При коагуляции кровеносных сосудов используется как синусоидальный (режим "Резание"), так и амплитудномодулированный ток (режим "Коагуляция") той же частоты 1,76 мГц. Применяется тепловое действие тока меньшей, чем при резании тканей, плотности. Вблизи электрода происходит обезвоживание клеток и обеспечивается коагуляция сосудов.

 

 

Генератор электрических колебаний составляет основу многих физиотерапевтических аппаратов. Существенной особенностью этих аппаратов является отдельный колебательный контур, к которому подключаются электроды, накладываемые на больного. Этот контур называют терапевтическим.

 

 

 

 


В связи с тем, что в терапевтический контур включаются различные объекты, например различные части тела больного, и его электрические параметры могут соответственно изменяться, этот контур должен подстраиваться в резонанс при каждой процедуре. Для этого в нем имеется конденсатор переменной ёмкости.

Они позволяют прижигать, «сваривать» ткани (диатермокоагуляция) или рассекать их (диатермотомия).

При диатермокоагуляции применяют ток плотностью 6— 10 мА/мм2, в результате чего температура ткани повышается и ткань коагулирует. При диатермотомии плотность тока доводят до 40 мА/мм2, в результате чего острым электродом (электроножом) удается рассечь ткань. Электрохирургическое воздействие имеет определенные преимущества перед обычным хирургическим вмешательством.

В проводящих телах, находящихся в переменном магнитном поле, вследствие электромагнитной индукции возникают токи, которые принято называть вихревыми.

Эти токи могут использоваться для прогревания биологических тканей и органов. Такой лечебный метод — индуктотермия — имеет ряд преимуществ перед методом, изложенным в § 15.2.

Рассмотрим, от каких факторов зависит степень нагревания тканей при индуктотермии. Схема воздействия показана на рис. 15.6. Согласно основному закону электромагнитной индукции в контуре при изменении магнитного потока возникает ЭДС, равная

 

где Ф — магнитный поток, пронизывающий контур, S — площадь площадки, охватываемой контуром, В — магнитная индукция во всех точках этой площадки [см. (13.7); предполагается, что a = 0]. Из последней формулы на основании закона Ома можно записать выражение для силы тока в контуре:

Используя формулу R = r l/S для сопротивления, получаем

(15.3)

где kl — некоторый коэффициент, учитывающий геометрические размеры образца (ткани). Предположим, что магнитная индукция изменяется по гармоническому закону
В = В m cos w t, тогда

(15.4)

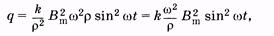
Подставляя в (15.2) вместо плотности тока силу тока из (15.3) и учитывая (15.4), находим

(15.5)

где k — коэффициент, зависящий от размеров образца.

Таким образом, при индуктотермии количество теплоты, выделяющееся в тканях, пропорционально квадратам частоты и индукции переменного магнитного поля и обратно пропорционально удельному сопротивлению. Поэтому сильнее будут нагреваться ткани, богатые сосудами, например мышцы, чем такие ткани, как жир. Обычно при индуктотермии применяют местное воздействие переменного магнитного поля, используя спирали или плоские свернутые кабели.

Лечение вихревыми токами возможно также при общей дарсонвализации. В этом случае пациента помещают в клетку-соленоид, по виткам которого пропускают импульсный ток высокой частоты.

 




Поделиться с друзьями:


Дата добавления: 2014-01-04; Просмотров: 757; Нарушение авторских прав?; Мы поможем в написании вашей работы!


Нам важно ваше мнение! Был ли полезен опубликованный материал? Да | Нет



studopedia.su - Студопедия (2013 - 2025) год. Все материалы представленные на сайте исключительно с целью ознакомления читателями и не преследуют коммерческих целей или нарушение авторских прав! Последнее добавление




Генерация страницы за: 0.011 сек.