Студопедия

КАТЕГОРИИ:


Архитектура-(3434)Астрономия-(809)Биология-(7483)Биотехнологии-(1457)Военное дело-(14632)Высокие технологии-(1363)География-(913)Геология-(1438)Государство-(451)Демография-(1065)Дом-(47672)Журналистика и СМИ-(912)Изобретательство-(14524)Иностранные языки-(4268)Информатика-(17799)Искусство-(1338)История-(13644)Компьютеры-(11121)Косметика-(55)Кулинария-(373)Культура-(8427)Лингвистика-(374)Литература-(1642)Маркетинг-(23702)Математика-(16968)Машиностроение-(1700)Медицина-(12668)Менеджмент-(24684)Механика-(15423)Науковедение-(506)Образование-(11852)Охрана труда-(3308)Педагогика-(5571)Полиграфия-(1312)Политика-(7869)Право-(5454)Приборостроение-(1369)Программирование-(2801)Производство-(97182)Промышленность-(8706)Психология-(18388)Религия-(3217)Связь-(10668)Сельское хозяйство-(299)Социология-(6455)Спорт-(42831)Строительство-(4793)Торговля-(5050)Транспорт-(2929)Туризм-(1568)Физика-(3942)Философия-(17015)Финансы-(26596)Химия-(22929)Экология-(12095)Экономика-(9961)Электроника-(8441)Электротехника-(4623)Энергетика-(12629)Юриспруденция-(1492)Ядерная техника-(1748)

Идентификация. 1. Реакция окисления.Альдегиды окисляются до карбоновых кислот с тем же числом атомов углерода, что и исходный альдегид




1. Реакция окисления. Альдегиды окисляются до карбоновых кислот с тем же числом атомов углерода, что и исходный альдегид. Окисление происходит даже под действием слабых окислителей: йода, растворов комплексных соединений серебра, меди, ртути в щелочной среде при нагревании. Ионы этих металлов восстанавливаются до свободных металлов или их оксидов, образуя окрашенные осадки, а раствор йода обесцвечивается.

1) Реакция с аммиачным раствором нитрата серебра (реакция серебряного зеркала):

Формальдегид, окисляясь до аммонийной соли муравьиной кислоты, восстанавливает аммиачный раствор нитрата серебра до металлического серебра, которое осаждается на стенках пробирки в виде «зеркала» или серого осадка.

2) Реакция с реактивом Несслера (щелочной раствор тетрайодомеркурата калия). Формальдегид восстанавливает тетрайодмеркурат-ион до металлической ртути - осадок темно-серого цвета:

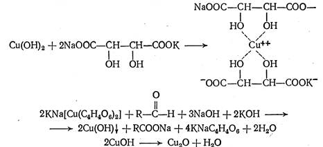
3) Реакция с реактивом Фелинга. Этот реактив представляет собой смесь двух отдельно приготовленных растворов: раствора меди сульфата и раствора соли винной кислоты и натрия гидроксида. При смешивании этих растворов с альдегидами после нагревания образуется вначале желтый осадок гидроксида меди (I), а затем кирпично-красный осадок оксида меди (I):

2. Реакции конденсации.

1) С фенолами. В присутствие концентрированной серной кислоты образуется бесцветный продукт конденсации при последующим окислении которого получаются интенсивно окрашенные соединения хиноидной структуры. В качестве реактивов используются салициловая кислота или хромотроповая (1,8-диоксинафталин-3,6-дисульфоновая кислота):

2) С аминами или их производными. В качестве реактивов используются соединения с первичной ароматической аминогруппой. При этом образуются соединения с азометиновой связью - основания Шиффа, которые характеризуются желтой окраской.




Поделиться с друзьями:


Дата добавления: 2014-01-04; Просмотров: 466; Нарушение авторских прав?; Мы поможем в написании вашей работы!


Нам важно ваше мнение! Был ли полезен опубликованный материал? Да | Нет



studopedia.su - Студопедия (2013 - 2026) год. Все материалы представленные на сайте исключительно с целью ознакомления читателями и не преследуют коммерческих целей или нарушение авторских прав! Последнее добавление




Генерация страницы за: 0.008 сек.