Студопедия

КАТЕГОРИИ:


Архитектура-(3434)Астрономия-(809)Биология-(7483)Биотехнологии-(1457)Военное дело-(14632)Высокие технологии-(1363)География-(913)Геология-(1438)Государство-(451)Демография-(1065)Дом-(47672)Журналистика и СМИ-(912)Изобретательство-(14524)Иностранные языки-(4268)Информатика-(17799)Искусство-(1338)История-(13644)Компьютеры-(11121)Косметика-(55)Кулинария-(373)Культура-(8427)Лингвистика-(374)Литература-(1642)Маркетинг-(23702)Математика-(16968)Машиностроение-(1700)Медицина-(12668)Менеджмент-(24684)Механика-(15423)Науковедение-(506)Образование-(11852)Охрана труда-(3308)Педагогика-(5571)Полиграфия-(1312)Политика-(7869)Право-(5454)Приборостроение-(1369)Программирование-(2801)Производство-(97182)Промышленность-(8706)Психология-(18388)Религия-(3217)Связь-(10668)Сельское хозяйство-(299)Социология-(6455)Спорт-(42831)Строительство-(4793)Торговля-(5050)Транспорт-(2929)Туризм-(1568)Физика-(3942)Философия-(17015)Финансы-(26596)Химия-(22929)Экология-(12095)Экономика-(9961)Электроника-(8441)Электротехника-(4623)Энергетика-(12629)Юриспруденция-(1492)Ядерная техника-(1748)

Идентификация. 1. Реакция диазотирования с последующим азосочетанием

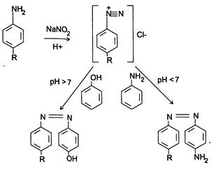
1. Реакция диазотирования с последующим азосочетанием. В основе реакции лежит взаимодействие соединений, содержащих Ar—NH2 с нитритом натрия в кислой среде. В результате образуются бесцветные или слабо-желтого цвета соли диазония. Исключение составляет этакридина лактат, в результате диазотирования которого образуется диазосоединение, имеющее вишнево-красную окраску. Получение диазосоединения сочетают с фенолами (β-нафтолом, фенолом, резорцином) в щелочной среде или ароматическими аминами в кислой среде. При этом образуются азокрасители.

2. Реакции окисления. Ароматические амины легко окисляются даже кислородом воздуха с образованием окрашенных продуктов.

Появление окраски может быть обусловлено не только продуктами окисления, но и веществами, образующимися в результате последующей конденсации с избытком ароматического амина. В качестве окислителей можно применять хлорамин, калия дихромат в кислой среде, хлорную известь и др. Эта реакция рекомендуется для парацетомола после гидролиза и образования п -аминофенола, который окисляется калия дихроматом в хинонимин, последний взаимодействует с непрореагировавшим п -аминофенолом и образует индаминовый краситель фиолетового цвета (родственный индофенолу):

Индофеноловые красители образуются также при окислении сульфаниламидов хлорамином в щелочной среде. В этом случае образуются красители о -хиноидной структуры. Реакции окисления рекомендуются так же при идентификации анестезина (извлекающийся в эфирный слой продукт окисления хлорамином имеет желтый цвет), новокаина (обесцвечивание калия перманганата), уросульфана (рубиново-красное окрашивание при нагревании с натрия нитритом), норсульфазола (желто-розовое окрашивание при окислении перекисью водорода и хлоридом железа).

3. Реакция конденсации с альдегидами. При взаимодействии в кислой среде с ароматическими альдегидами первичные ароматические амины образуют окрашенные в желтый цвет основания Шиффа.

Разновидностью этой реакции является лигниновая проба. На лигнинсодержащий материал (бумагу, древесину) наносят разведенную хлористоводородную кислоту и вещество с первичной ароматической аминогруппой, появляется желто-оранжевое пятно.

4. Реакция галогенирования,в частности, бромирование, основана на электрофильном замещении атомов водорода бензольного кольца в о - и п -положениях на галоген. Образуются аморфные осадки белого или желтоватого цвета, определяют их температуру плавления. Правила бронирования те же, что и у фенолов.

 

<== предыдущая лекция | следующая лекция ==>
Количественное определение. Обладая свойствами сложных эфиров, дают характерные для них реакции: гидролиз и гидроксамовую реакцию | Количественное определение. 1. Нитритометрия. Метод основан на свойстве веществ, содержащих Ar—NH2 диазотироваться натрия нитритом в кислой среде
Поделиться с друзьями:


Дата добавления: 2014-01-04; Просмотров: 2752; Нарушение авторских прав?; Мы поможем в написании вашей работы!


Нам важно ваше мнение! Был ли полезен опубликованный материал? Да | Нет



studopedia.su - Студопедия (2013 - 2026) год. Все материалы представленные на сайте исключительно с целью ознакомления читателями и не преследуют коммерческих целей или нарушение авторских прав! Последнее добавление




Генерация страницы за: 0.008 сек.