Студопедия

КАТЕГОРИИ:


Архитектура-(3434)Астрономия-(809)Биология-(7483)Биотехнологии-(1457)Военное дело-(14632)Высокие технологии-(1363)География-(913)Геология-(1438)Государство-(451)Демография-(1065)Дом-(47672)Журналистика и СМИ-(912)Изобретательство-(14524)Иностранные языки-(4268)Информатика-(17799)Искусство-(1338)История-(13644)Компьютеры-(11121)Косметика-(55)Кулинария-(373)Культура-(8427)Лингвистика-(374)Литература-(1642)Маркетинг-(23702)Математика-(16968)Машиностроение-(1700)Медицина-(12668)Менеджмент-(24684)Механика-(15423)Науковедение-(506)Образование-(11852)Охрана труда-(3308)Педагогика-(5571)Полиграфия-(1312)Политика-(7869)Право-(5454)Приборостроение-(1369)Программирование-(2801)Производство-(97182)Промышленность-(8706)Психология-(18388)Религия-(3217)Связь-(10668)Сельское хозяйство-(299)Социология-(6455)Спорт-(42831)Строительство-(4793)Торговля-(5050)Транспорт-(2929)Туризм-(1568)Физика-(3942)Философия-(17015)Финансы-(26596)Химия-(22929)Экология-(12095)Экономика-(9961)Электроника-(8441)Электротехника-(4623)Энергетика-(12629)Юриспруденция-(1492)Ядерная техника-(1748)

Типи підприємств за виробничими функціями




Підприємства автомобільного транспорту за виробничими функціями поді­ляють на автотранспортні, автообслуговуючі й авторемонтні.

Автотранспортні підприємства поділяються на відкриті акціонерні това­риства (ВАТ АТП) і закриті акціонерні товариства (ЗАТ АТП). ВАТ і ЗАТ АТП мають самостійний баланс, наділені широкими гарантованими повноваження­ми і при цьому несуть відповідальність за результати господарської і науково-виробничої діяльності, за додержання державних інтересів. Головне їхнє зав­дання — всебічне задоволення потреб народного господарства і громадян у пе­ревезеннях із високим рівнем якості при мінімальних затратах.

ВАТ і ЗАТ АТП мають повноваження з продажу, здавання в оренду, обміну, надання у тимчасове користування іншим підприємствам транспортних засобів і устаткування, списуванні їх із балансу, а також з інших видів діяльності.

На рис. 3.1 як приклад наведено генеральний план ВАТ АТП на 300 ван­тажних автомобілів.

Автообслуговуючі підприємства, що виконують виробничі функції з ТО і ремонту автомобільної техніки, можуть тимчасово зберігати автомобілі, за­правляти їх автоексплуатаційними матеріалами. Залежно від призначення автообслуговуючі підприємства поділяють на виробничо-технічні комбінати (ВТК), спеціалізовані автоцентри (САД), бази централізованого ТО (БЦТО), станції технічного обслуговування (СТО), стоянки й автозаправні станції (АЗС).

Виробничо-технічні комбінати — це виробничо-господарські комплекси, призначені для централізованого обслуговування автомобілів. ВТК виконують роботи із заміни двигунів та інших агрегатів на спеціалізованих постах, ТО-2, ПР двигунів та інших агрегатів, вузлів, механізмів і систем автомобілів.

Комбінати централізовано приймають автомобілі, що підлягають списан­ню, розбирають їх після списання, оприбутковують зняті агрегати, вузли і де­талі. У ВТК організовують відновлення і виготовлення деталей автомобілів, створюють обмінний фонд агрегатів, вузлів і деталей із нових, що надійшли з автоцентрів, капітально відремонтованих, відновлених і виготовлених не тільки на ВТК, а й на інших промислових підприємствах.

У ВТК навчають водіїв, ремонтно-обслуговуючих робітників та інженерно-технічних працівників (ІТП) особливостей експлуатації автомобілів, а також готують автомобілі до щорічного технічного огляду і до перевезень сільсько­господарських вантажів у період збирання врожаю.

 

Рис. 3.1. Генеральний план ВАТ АТП на 300 вантажних автомобілів із частково закритою стоянкою: *

1 — виробничий корпус; 2 — адміністративно-побутовий корпус; 3 — контрольно-пропускний пункт; 4 - відкрита площадка; 5 - склад для зберігання кисневих та ацетиленових балонів; 6 - допоміжний корпус (пости ЩО, діагностування, фарбуван­ня); 7 - очисні споруди з оборотним водопостачанням; 8 - відкрита площадка зони зберігання автомобілів, обладнана повітропідігріванням

 

Створюють ВТК, будуючи нові із застосуванням легких металоконструкцій а також реконструюючи і технічно переоснащуючи наявну виробничо-техніч­ну базу. Створення ВТК потребує значних коштів, тому завдання виконують поетапно. Спочатку треба створити пости для централізованої заміни агрегатів і вузлів, розбирання автомобілів після списання, ПР агрегатів і вузлів, а також зберігання обмінного фонду агрегатів і вузлів, потім - для централізованого виконання ТО-2 і діагностування автомобілів, а також ТО електрообладнання акумуляторних батарей, приладів системи живлення та інших робіт, що супроводжують ТО-2. Тільки після цього можна створювати потужності для цен­тралізованого ПР автомобілів, виготовлення і відновлення деталей, проведен­ня зварювальних, бляхарських, арматурних, деревообробних, обойних, маляр­них, ковальсько-ресорних, мідницько-радіаторних та інших супровідних робіт.

Досвід організації ВТК показав, що найефективніша форма створення ком­бінатів — це реконструкція і технічне переоснащення наявних виробничих по­тужностей.

Діпроавтотранс розробив два варіанти технологічного планування вироб­ничих приміщень ВТК для централізованого обслуговування 1000 і 1500 авто­мобілів. Будівництво корпуса для централізованого обслуговування 1000 ав­томобілів — перший етап створення ВТК. Корпус призначений для централі­зованої заміни двигунів, агрегатів і вузлів, розбирання автомобілів після спи­сання, ПР агрегатів і вузлів, а також зберігання обмінного фонду.

Корпус ВТК, розрахований на централізоване обслуговування 1500 авто­мобілів, крім переліченого, призначений також для централізованого виконан­ня ТО-2. Технологічне планування цього корпуса здійснено в трьох варіантах.

Взаємовідносини ВТК із ВАТ АТП та іншими організаціями регулюються шляхом укладання договорів, а також керівними нормативно-технічними до­кументами. Забезпечення матеріалами й інструментом здійснюється в установ­леному порядку через кущові матеріально-технічні склади, а запасними час­тинами — централізовано через систему автоцентрів на весь парк автомобілів територіального (управління).

У структурі ВТК за умов високого рівня концентрації технологічно одно­рідних (щодо предметної форми спеціалізації) робіт закладені великі по­тенційні можливості підвищення ефективності технічної підготовки авто­мобілів до експлуатації. Передусім це стосується організації централізовано­го виконання ТО-2 на потокових лініях при високому рівні механізації робіт. Ведуться роботи, пов'язані із впровадженням маніпуляторів, робототехніки, обчислювальної техніки та інших засобів, які визначають рівень науково-тех­нічного розвитку.

Паралельно з організацією ВТК транспортних управлінь створюється фірмо­ва мережа автотехобслуговування автомобільних заводів.

Спеціалізовані автоцентри — це головні підрозділи фірмової мережі об­слуговування.

Виробнича фірма «КамАЗавтоцентр» виконує роботи з централізованого об­слуговування автомобілів КамАЗ за аналогією з ВТК і забезпечує ВТК необхід­ною кількістю комплектів спеціального інструменту для високоякісного ви­конання розбірно-складальних робіт при ПР, а також технічною літературою; створює у ВТК обмінний фонд агрегатів і вузлів відповідно до встановлених нормативів; узгоджує з ВТК плани-графіки приймання ремонтного фонду і видачі агрегатів після капітального ремонту.

САД Волзького автомобільного заводу виконують увесь комплекс робіт ТО і ремонту автомобілів «Жигули», а також здійснюють передпродажну підго­товку і реалізацію нових автомобілів. Система автотехобслуговування ВАЗ дає змогу аналізувати й систематизувати дані про якість випущених автомобілів,

 

вдосконалення форм і методів ТО та ремонту автомобільної техніки, теоретич­ної і практичної підготовки кадрів для автотехобслуговування.

Розгортається мережа САЦ АвтоЗАЗ-БАКМГОО і автомобілів іноземного ви­робництва.

Невеликий обсяг робіт з ТО і ремонту легкових автомобілів індивідуально­го користування виконують СТО і майстерні різних форм власності. У струк­турі цих послуг переважають кузовні, малярні та інші роботи.

Бази централізованого ТО централізовано виконують складні види ТО і ре­монту автомобілів, що експлуатуються некомплексними ВАТ АТП, розташо­ваними поблизу баз. Найпоширеніші БЦТО розраховані на обслуговування від 1000 до 2000 і більше одиниць рухомого складу. Залежно від типу приписаної автомобільної техніки БЦТО можуть бути призначені для обслуговування ав­тобусів, вантажних або легкових автомобілів.

Як приклад розглянемо організацію роботи одного з вантажних ВАТ АТП, у складі якого п'ять філій. Ця база централізувала виконання робіт з ТО-2 і ПР автомобілів. Оперативне управління ТО-2 і ПР здійснює центр управління ви­робництвом (ЦУВ).

Для забезпечення ритмічної роботи централізованих зон ТО і ПР автомобілів обладнано проміжний склад. Кількість і номенклатура обмінного фонду на складі визначаються на основі аналізу роботи БЦТО і надійності агрегатів ав­томобілів. Обмінний фонд поповнюється за рахунок агрегатів, знятих зі списа­них автомобілів і відновлених на авторемонтному заводі та в цехах БЦТО. З авторемонтного заводу агрегати надходять на БЦТО централізовано за пого­дженими графіками. Доставка рухомого складу філіалів на БЦТО і назад здійснюється водієм-перегонщиком.

Централізація ТО-2 і ПР дала змогу підвищити технічну готовність і ви­пуск автомобілів, збільшити виробіток вантажних автомобілів, скоротити про­стої в ПР, підвищити його якість, вивільнити водіїв від участі в ремонті, зни­зити трудомісткість ПР автомобілів.

Станції технічного обслуговування призначені для проведення профі­лактичних і ремонтних робіт автомобілів (що належать в основному індивіду­альним власникам) у будь-якому обсязі, для забезпечення їх запасними части­нами, знаряддями й експлуатаційними матеріалами, для обслуговування клієнтів і продажу автомобілів. Виробничу потужність СТО, як і БЦТО, оці­нюють відповідно до кількості робочих постів для виконання ТО і ремонту ав­томобілів (тобто кількості одночасно обслуговуваних автомобілів), обсягом ви­робленої на станції продукції (у люд.-год або грн), кількості прикріплених на обслуговування автомобілів і виконавців робіт та ін.

За принципом розміщення СТО поділяють на міські (для обслуговування в основному автомобілів в місті) і дорожні (для обслуговування автомобілів у дорозі).

За потужністю СТО поділяють на малі (до 10 робочих постів), середні (від 10 до 25 робочих постів), великі (від 25 до 50 робочих постів) і дуже великі (понад 50 робочих постів).

 

Технологічні характеристики основних СТО залежать від перспективної наявності автомобілів, що підлягають обслуговуванню в цьому регіоні. У великих містах збудовані й будуються СТО автомобілів на 50, 75, 100 і більше робочих постів. На таких великих СТО є умови для застосування сучасних технологічних процесів і високого рівня організації виробництва. Це значно підвищує продуктивність праці виконавців робіт і якість профілактичних та ремонтних робіт. Порівняно зі станціями на 15—25 робочих постів термін окупності СТО на 50—100 робочих постів у два рази мен­ший (5 років).

 

 

На СТО з кількістю робочих постів понад 50 допускається виконання КР агрегатів. У проектах СТО з 15—25 постами заплановані дільниці самообслу­говування, де власник може усунути незначні несправності. На всіх СТО здійснюється продаж запасних частин, а на СТО з кількістю робочих постів понад 25 виконується комплекс робіт передпродажної підготовки і продаж ав­томобілів.

За індивідуальними проектами будують СТО на 100—250 робочих постів (рис. 3.2). Такі станції використовують як головні центри розгалуженої мережі підприємств для обслуговування автомобілів. У зв'язку з цим на станціях по­ряд із ТО і ремонтом автомобілів передбачається організація і розробка нових, досконаліших методів і форм автосервісу, а також підготовка спеціалістів у галузі автотехобслуговування. На території СТО передбачений паливозаправ-ний комплекс. Будівництво таких СТО дало змогу вибрати найбільш оптимальні архітектурно-планувальні рішення щодо місцевих умов кожного промислово­го центру з метою впровадження прогресивних методів ТО і ремонту авто­мобілів.

Для обслуговування автомобілів створені також пересувні станції техніч­ного обслуговування (ПСТО) двопостові, що розташовані в автопоїзді і мають велику мобільність. На ПСТО виконується нескладний гарантійний ремонт і обслуговування, а коли потреби в цих операціях немає — дрібний післягаран-

 

 

 

тійний ремонт. ПСТО використовують у дорожніх умовах і в місцях масового відпочинку населення.

У зв'язку з тим, що в останні роки в Україну завезено дуже багато інозем­них легкових автомобілів і виникла потреба в їх обслуговуванні, по всій тери­торії країни організована ціла мережа СТО офіційних компаній-імпортерів за марками автомобілів: ACURA, AUDI, AVIA, BMW, BUICK, CADILLAC, CITROEN, CHEVROLET, CHRYSLER, DAEWOO, DAF, FIAT, FORD, GEO, HONDA, HYUNDAI, IVECO, KIA, LAND ROVER, LINCOLN, MAZDA, MERCEDES, MAN, MITSUBISHI, NISSAN, OLDSMOBILE, OPEL, PEUGEOT, PONTIAC, RENAULT, ROVER, SCANIA, SEAT, SKODA, SUZUKI, TOYOTA, VOLVO, VW та ін.

Стоянки призначені для зберігання автомобілів (переважно індивідуальних власників), іноді здійснюють функції ТО автомобілів і постачання експлуатацій­них матеріалів. Стоянки бувають домові, квартальні й районні. їх влаштовують у вигляді спеціальних будівель або відкритих площадок. Стоянки останнього типу будують також для тимчасового зберігання автомобілів у місцях великого скуп­чення їх і для розвантаження вулиць і площ міста (наприклад, біля стадіонів, вок­залів). До стоянок відносять також стаціонарні типи автоготелів (мотелі), що фун­кціонують поблизу великих міст; літнього типу автотабори (кемпінги), дислоко­вані в місцях масового відпочинку населення на жвавих автотрасах.

Мотелі — готелі для автотуристів. У готелях такого типу автомобіль збері­гаються безпосередньо поблизу власника. Тут береться до уваги і психологія ав­толюбителя, і зручності для нього (адже автомобіль часто є не тільки транспорт­ним засобом, а й складом потрібних предметів, іноді навіть джерелом енергії).

Найпоширенішими є мотелі, розташовані в одноповерховій будівлі, всі номе­ри якої мають зовнішні двері, а за ними під навісом або в боксах стоять авто­мобілі. Тому для мотелів характерне планування, що утворює великий пери­метр. Місткість мотелів — 12—18 автомобілів. Останнім часом намітилась тен­денція будівництва мотелів більш ніж на 100 місць. Мотелі будують там, де можна добре відпочити (у мальовничих місцях, біля водоймищ тощо), подалі від великих міст, магістралей, промислових підприємств (рис. 3.3).

Кемпінги і табори автомобілістів мають таке саме призначення, як і мо­телі, але послуг тут надається значно більше. Місткість кемпінгів — 100—200 машино-місць.

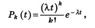
Точніше визначити потрібну місткість стоянок автомобілів різних типів можна натурними спостереженнями за автомобілями, що прибувають на стоян­ку. Дослідження показують, що цей потік можна вважати пауссонівським, за якого ймовірність прибуття кількості автомобілів к на стоянку за проміжок часу і визначається формулою

ш 9г т

де А,>0 — щільність потоку (кількість автомобілів, що прибувають, за про­міжок часу і).

Автостоянка — система, що задовольняє попит на паркування транспорт­них засобів, можливості якої для задоволення цього попиту обмежені. Стоян-

 

Рис. 3.3. Генеральний план автоготелю (мотелю) на 200 місць:

1 — будівля готелю; 2 — зона відпочинку; 3 — гараж; 4 — станція ТО автомобілів; 5 — котельня; 6 — площадка для зберігання автомобілів; 7 — заправна станція; 8 — стоянка автомобілів

ку і процес паркування можна розглядати як систему масового обслуговуван­ня, де одне місце для паркування є каналом обслуговування, а автомобілі, що надходять на стоянку — вхідним потоком вимог. Кількість місць для стоянки в такій системі називають кількістю обслуговуючих каналів. Теорія масового обслуговування дає змогу кількісно оцінити можливість кожної вимоги наді­йти на обслуговування, тобто повнодоступність.

Стоянка автомобілів — система масового обслуговування із втратами. Особ­ливістю функціонування такої системи є те, що будь-яка вимога, що надійшла до системи в якийсь момент часу, відразу обслуговується або втрачається, якщо в момент її надходження всі обслуговуючі канали зайняті, тобто автомобіль, що прибув на стоянку, за відсутності вільного місця шукає стоянку в іншому місці, а ця стоянка зазнає втрат.

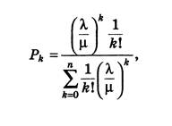
Оцінити функціонування такої системи дає змогу формула Ерланга, за якою ймовірність того, що обслуговуванням зайняті к каналів, дорівнює:

 

де X — щільність потоку заявок (інтенсивність прибуття автомобілів); |і = 1/^обсл — параметр обслуговування; іфсп — середній термін обслуговуван­ня вимоги в системі (тривалість паркування); п — кількість каналів (кількість місць для стоянки).

При розрахунках дуже часто використовують параметр а = А/М- • Формула Ерланга дає змогу визначити й окремі випадки:

— імовірність того, що всі обслуговуючі канали зайняті:

— імовірність того, що всі обслуговуючі канали вільні:

За формулою (3.1) визначають також імовірність відмовлення в обслугову­ванні вимоги, що надійшла до системи.

На практиці часто визначають:

— середню кількість каналів, вільних від обслуговування:

— середню кількість зайнятих обслуговуванням каналів:

— коефіцієнт простою апаратів:

кп=М0/п.

Приклад. Треба оцінити якість функціонування стоянки для 100 автомобілів (лег­кових), якщо відомо, що інтенсивність прибуття автомобілів 20 автомобілів за годину

(Я = 20), а середня тривалість паркування — 12 хв (і = 0,2 год).

Розв'язання. Використаємо рівняння Ерланга. Імовірність, що стоянка буде порожньою, становить:

 

       
   
 
   
 
 


Імовірність, що всі місця, будуть зайняті, дорівнює:

Середня кількість автомобілів на стоянці становить:

Стоянка функціонуватиме нормально.

Територію кемпінгу поділяють на такі зони: обслуговування людей; авто­мобілів; житлових причепів; наметів; автомобілів, у яких сплять туристи; тури­стичних автобусів та ін. З розвитком автомобілізації критерієм вибору місця і форми обслуговування дедалі більшою стає можливість зручно і дешево поста­вити автомобіль. Це одна з причин віддаляння від центру міста житлових райо­нів, торговельних центрів. Дуже важлива умова життєздатності такого центру — достатня кількість зручних стоянок. У таких місцях доцільно обладнувати кіно­театри просто неба, паркові дороги, біля яких розташовувати придорожні ка­в'ярні та ін. Обладнані місця стоянки індивідуальних автомобілів, таким чи­ном, можуть бути використані і людьми, які їдуть на громадському транспорті.

Автозаправні станції — спеціалізовані підприємства для заправки авто­мобілів паливно-мастильними матеріалами, повітрям, охолодною рідиною та ін. їх спеціалізують за родом автомобільного палива. На АЗС можуть продава­тись автоексплуатаційні матеріали. Потужність АЗС визначається її пропуск­ною здатністю, тобто кількістю автомобілезаправок за годину або добу, і зале­жить від типу та кількості паливороздавальних колонок (рис. 3.4). АЗС по­діляють на міські (500—2000 заправок на добу) і придорожні (500—1000 запра­вок на добу). На АЗС на під'їзді до станції та на її території використовують надання ефективної візуальної інформації водієві про наявність палива і мас­тила, про обсяг послуг, що надаються АЗС. Застосовують дистанційне керу­вання колонками з виносними заправними пістолетами.

Авторемонтні підприємства — це спеціалізовані підприємства, що здійсню­ють ремонт (відновлення) автомобільної техніки. На авторемонтних підприєм­ствах створено умови для виконання трудомісткого ремонту (в основному КР) автомобільної техніки.

 

Рис. 3.4. Приклади генеральних планів АЗС:

а — міська АЗС на 200 заправок на добу; б — придорожня АЗС на 750 заправок на добу з послідовним розташуванням заправочних острівців; в і г — придорожні АЗС на 1000 заправок на добу з паралельним розташуванням заправочних острівців: 1 — будів­ля станції; 2 — підземні резервуари для палива; 3 — заправні острівці; 4 — площадка для заправляння мотоциклів і мопедів; 5 — естакада для заливання масла; 6 — очисні споруди; 7 — площадка для накопичення автомобілів





Поделиться с друзьями:


Дата добавления: 2014-01-04; Просмотров: 1638; Нарушение авторских прав?; Мы поможем в написании вашей работы!


Нам важно ваше мнение! Был ли полезен опубликованный материал? Да | Нет



studopedia.su - Студопедия (2013 - 2026) год. Все материалы представленные на сайте исключительно с целью ознакомления читателями и не преследуют коммерческих целей или нарушение авторских прав! Последнее добавление




Генерация страницы за: 0.012 сек.