Студопедия

КАТЕГОРИИ:


Архитектура-(3434)Астрономия-(809)Биология-(7483)Биотехнологии-(1457)Военное дело-(14632)Высокие технологии-(1363)География-(913)Геология-(1438)Государство-(451)Демография-(1065)Дом-(47672)Журналистика и СМИ-(912)Изобретательство-(14524)Иностранные языки-(4268)Информатика-(17799)Искусство-(1338)История-(13644)Компьютеры-(11121)Косметика-(55)Кулинария-(373)Культура-(8427)Лингвистика-(374)Литература-(1642)Маркетинг-(23702)Математика-(16968)Машиностроение-(1700)Медицина-(12668)Менеджмент-(24684)Механика-(15423)Науковедение-(506)Образование-(11852)Охрана труда-(3308)Педагогика-(5571)Полиграфия-(1312)Политика-(7869)Право-(5454)Приборостроение-(1369)Программирование-(2801)Производство-(97182)Промышленность-(8706)Психология-(18388)Религия-(3217)Связь-(10668)Сельское хозяйство-(299)Социология-(6455)Спорт-(42831)Строительство-(4793)Торговля-(5050)Транспорт-(2929)Туризм-(1568)Физика-(3942)Философия-(17015)Финансы-(26596)Химия-(22929)Экология-(12095)Экономика-(9961)Электроника-(8441)Электротехника-(4623)Энергетика-(12629)Юриспруденция-(1492)Ядерная техника-(1748)

Парокомпрессионные холодильные машины

Компрессионные холодильные машины наиболее распространены и экономичны. В качестве хладагента в них используются аммиак (NH3), диоксид серы (SО2) или диоксид углерода (СО2).

Наименьшие энергетические затраты на получение искусственного холода достигаются в идеальной компрессионной машине, работающей по обратному циклу Карно, представленному на диаграмме ТS (рис. 8.1).

Принцип работы идеальной компрессионной машины (рис. 8.1, а) заключается в следующем. Пары хладагента 1 подаются в компрессор I, где подвергаются сжатию при постоянном значении

 

 


энтропии (адиабата 1 – 2) (рис. 8.1, б). В теплообменнике-конденсаторе II происходит конденсация паров 2 при постоянной температуре (изотерма 2 – 3). Далее жидкий хладагент 3 попадает в детандер III, в котором происходит его расширение (адиабата 3 – 4). Испарение хладагента 4 осуществляется в теплообменнике-испарителе IV при постоянной температуре (изотерма 4 – 1), после чего он возвращается в первоначальное состояние, с которого начиналось рассмотрение процесса.

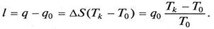
Теплота, отводимая от среды при испарении 1 кг хладагента (удельная холодопроизводительность), графически может изображаться площадью а4 – 1b и равна q0 = Т0*ΔS. Соответственно, теплота, отводимая от 1 кг хладагента при конденсации, изображается площадью b – 2 – 3 – а и определяется как q = TкΔS.

Затраченная механическая работа (компрессор, детандер) составит

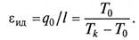
Холодильный коэффициент идеального цикла εид равен отношению получаемой в нем удельной холодопроизводительности к совершенной механической работе

На практике вместо детандера в компрессионных машинах используют дроссельное устройство (рис. 8.2), работающее в изоэнталъпийном режиме (дроссельный эффект Джоуля – Томпсона). Используемый эффект заключается в снижении температуры реального газа (пара) при дросселировании на величину ΔТ, пропорциональную перепаду давлений на входе и выходе из дроссельного устройства

Δр=р1 - р2.

Компрессионные холодильные машины могут работать в режиме «влажного» или «сухого» хода кома рессора.

кл с «влажным» ходом компрессора (рис. 8.3, а) наиболее близок к обратному циклу Карно и поэтому обладает наиболее высокой эффективностью. Отличие заключается в том, что процесс дросселирования осуществляется при постоянной энтальпии (изоэнтальпа 3 – 4). Линия 3' – 3 соответствует возможному переохлаждению среды в теплообменнике-конденсаторе.

Холодильный коэффициент в этом случае определяется отношением удельной хладопроизводительности в теплоо6менникеиспарителе (i1 – i4) к удельной производительности компрессора (i2 – i1)

Несмотря на энергетические преимущества, цикл с влажным ходом компрессора обладает рядом недостатков, таких как большие тепловые потери при контакте хладагента со стенками цилиндра компрессора и наличие гидравлических ударов, вызывающих повреждение внутренней поверхности цилиндра.

Поэтому в компрессионных холодильных установках чаще используют цикл с «сухим» ходом компрессора, при котором сжатию подвергается перегретый (сухой) пар.

Цикл включает следующие стадии (рис. 8.3, б): сжатие сухого пара в компрессоре по адиабате 1 – 2, охлаждение перегретого пара до насыщения по изобаре 2 – 2', конденсация по изотерме 2' – 3', переохлаждение по линии равновесия 3' – 3 (если в этом есть необходимость), дросселирование по изоэнтальпе 3 – 4 и испарение по изотерме 4 – 1.


Основными параметрами, характеризующими работу компрессионной установки в обоих циклах являются:

· удельная холодопроизводительность (Дж/кг)

· удельная объемная холодопроизводительность (Дж/м3)

где ρ – плотность пара хладагента, всасываемого компрессором, кг/м3;

· холодопроизводительность установки (Дж/с, Вт)

где G – расход хладагента, кг/с;

· теоретическая мощность компрессора (Дж/с, Вт)

· коэффициент полезного действия установки (%)

где N – действительная мощность компрессора, Вт;

· холодильный коэффициент (ε).

<== предыдущая лекция | следующая лекция ==>
Хладагенты | Абсорбционные холодильные установки
Поделиться с друзьями:


Дата добавления: 2014-01-04; Просмотров: 1527; Нарушение авторских прав?; Мы поможем в написании вашей работы!


Нам важно ваше мнение! Был ли полезен опубликованный материал? Да | Нет



studopedia.su - Студопедия (2013 - 2026) год. Все материалы представленные на сайте исключительно с целью ознакомления читателями и не преследуют коммерческих целей или нарушение авторских прав! Последнее добавление




Генерация страницы за: 0.01 сек.