Студопедия

КАТЕГОРИИ:


Архитектура-(3434)Астрономия-(809)Биология-(7483)Биотехнологии-(1457)Военное дело-(14632)Высокие технологии-(1363)География-(913)Геология-(1438)Государство-(451)Демография-(1065)Дом-(47672)Журналистика и СМИ-(912)Изобретательство-(14524)Иностранные языки-(4268)Информатика-(17799)Искусство-(1338)История-(13644)Компьютеры-(11121)Косметика-(55)Кулинария-(373)Культура-(8427)Лингвистика-(374)Литература-(1642)Маркетинг-(23702)Математика-(16968)Машиностроение-(1700)Медицина-(12668)Менеджмент-(24684)Механика-(15423)Науковедение-(506)Образование-(11852)Охрана труда-(3308)Педагогика-(5571)Полиграфия-(1312)Политика-(7869)Право-(5454)Приборостроение-(1369)Программирование-(2801)Производство-(97182)Промышленность-(8706)Психология-(18388)Религия-(3217)Связь-(10668)Сельское хозяйство-(299)Социология-(6455)Спорт-(42831)Строительство-(4793)Торговля-(5050)Транспорт-(2929)Туризм-(1568)Физика-(3942)Философия-(17015)Финансы-(26596)Химия-(22929)Экология-(12095)Экономика-(9961)Электроника-(8441)Электротехника-(4623)Энергетика-(12629)Юриспруденция-(1492)Ядерная техника-(1748)

Введение. Термины и определения

Приборов и систем

Основы проектирования

ПЛАН И ОРГАНИЗАЦИОННАЯ СТРУКТУРА ЛЕКЦИИ № 6

№ п/п Основные этапы лекции и ее содержание   Цели и уровни абстракции Тип лекции, методы и способы активации студентов, оборудование Распределение времени в мин.
         
1. Подготовительный этап      
  Проверка присутствующих.      
  Актуальность и мотивация темы.   Приложение 1  
2. Основной этап      
  Изложение лекционного материала (план): β-II Тематическая лекция (текст лекции прилагается).  
  1. Общая характеристика пищевых токсикоинфекций. Ботулизм. β-II    
  2. Этиология и эпидемиология ПТИ и ботулизма. β-II    
  3. Основы патогенеза ПТИ и ботулизма. β-II    
  4.Клинические признаки. Значение клинического и эпидемиологического анамнеза в диагностике ПТИ и ботулизма. β-II Таблица. Клинические проявления заболевания. Приложение 2  
  5.Значение данных лабораторных исследований диагностики в диагностике пищевых токсикоинфекций и ботулизма.. β-II Таблица. Методика взятия материала (крови, мочи, кала) для исследования. Постановка биологической пробы.  
  6. Противоботулиническая сыворотка, правила введения ее. β-II Демонстрация препаратов  
  7.Дифференциальная диагностика. β-II    
  8. Неотложная помощь больным на доврачебном этапе. β-II    
  9. Правила выписки из стационара, диспансерное наблюдение за переболевшими. β-II    
  10. Принципы лечения ПТИ и ботулизма. Уход за больными. Профилактика. β-II    
3. Заключительный этап      
  Резюме лекции, общие выводы      
  Тесты для закрепления лекции      
  Ответы на поступившие вопросы      
  Задание для самостоятельной подготовки студента и самоконтроля   1. Инфекционные болезни/Под ред. Титова М.Б. — К.: Выща школа, 1995.; 2. Чорновил А.В., Грицко Р.Ю. Клиническое медсестринство в инфектологии с элементами эпидемиологии. — Киев: Здоровье, 2002.  

 

Преподаватель _________________ Михайлова О.И.

 

 

конспект лекций

 

 

Уфа 2011

 

Решение задач повышения качества и надежности изделий приборостроения осуществляется в процессе проектирования, когда на основе исследований и расчетов, накопленного опыта и учета прогрессивных технологических процессов, разрабатывают конструкцию прибора или системы, выбирают материалы, определяют наиболее рациональные формы и размеры, решают вопросы точности, надежности.

Необходимо предусматривать защиту проектируемого устройства от внешних воздействий (механических и др.), защиту окружающей среды, включая человека, от нежелательных воздействий со стороны прибора или системы.

Здесь мы столкнулись с понятием «прибор» и «система».

Под приборами понимают устройства, служащие для выполнения функций измерения, контроля, регулирования, управления и т.д.

В соответствии с этим, различают измерительные контрольные, регулирующие, управляющие и др. приборы.

Достаточно широкое распространение имеют измерительные приборы, поэтому рассмотрим их поподробнее, придерживаясь определений ГОСТ 16263-70.

Под измерительным прибором понимается средство измерений, предназначенное для выработки сигнала измерительной информации в форме, доступной для непосредственного восприятия наблюдателем.

При этом средства измерений называют средства, используемые при измерениях и имеющих нормированные метрологические свойства (характеристики).

Следует еще отметить, что измерительные приборы и измерительные преобразователи вместе взятые называются измерительными устройствами.

Измерительный преобразователь, в отличие от прибора, вырабатывает сигнал в форме, удобной для дальнейшей передачи, преобразования, обработки и хранения, но не поддающейся непосредственному восприятию наблюдателем.

Измерительные приборы делят на аналоговые и цифровые.

В аналоговом приборе показания являются непрерывной функцией измеряемой величины. Из приборов механического типа такими являются практически все приборы линейных измерений (индикаторы, измерительные головки, микрометры и т.д.), а из приборов электрического типа – обычные вольтметры, амперметры, омметры и подобные им приборы.

В цифровых измерительных приборах автоматически вырабатываются дискретные сигналы измерительной информации и показания этих приборов представляются в цифровой форме.

Рассмотрение прибора (общего типа) можно начать со следующей абстракции, представленной на рисунке.

Схема прибора.

 

Прибор здесь представлен в виде «черного ящика», содержание которого неизвестно.

На вход подается сигнал , а на выходе снимается сигнал .Внутри этого «ящика» можем выделить 3 блока:

· Первичный измерительный преобразователь

· Промежуточный измерительный преобразователь

· Измерительный механизм с отсчетным или регистрирующим устройством.

Структурная схема измерительного прибора.

Первичный измерительный преобразователь является первым, который воспринимает входной сигнал – измеряемую физическую величину. В качестве входных сигналов используются перемещения, измерения давления, силы, температуры и т.д. Первичный преобразователь вырабатывает соответствующий сигнал , который передается на промежуточный преобразователь. При этом в зависимости от типа прибора, сигнал , может быть механического, электрического, пневматического или другого типа.

Промежуточный преобразователь (один или несколько) преобразует сигнал в другой сигнал . Для отсчета или регистрации измеряемой величины служит измерительный механизм, связанный с отсчетным или регистрирующим устройством, который выдает уже выходной сигнал .

 

 

В качестве примера рассмотрим пружинный манометр, кинематическая схема которого представлена на рис.

 

Входным сигналов в манометре является давление, которое подается на первичный преобразователь – трубчатую пружину 1. По мере изменения давления свободный конец трубки совершает перемещение, который подается на промежуточный преобразователь, состоящий из рычага 2, зубчатого сектора 3 и колеса 4. Роль измерительного механизма здесь выполняет стрелки 5 и шкала 6, позволяющие отсчитывать конкретное значение давления. Выходным сигналом в данном случае является перемещение конца стрелки прибора.

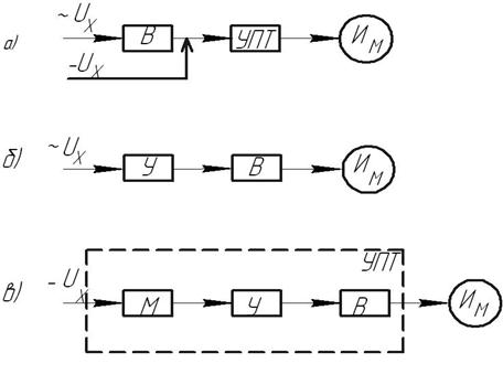
Электрические аналоговые приборы:

В – выпрямитель

У – усилитель

М – модулятор.

Согласно ГОСТ 8.009-84 – функция преобразования измерительного преобразователя (или прибора) называется зависимость выходного сигнала преобразователя (прибора) от параметра его входного сигнала.

1 – линейная функция преобразования

2 – нелинейная функция преобразования

Следует отметить, что форма и вид представления функции преобразования зависит от вида режима работы (измерений): статического или динамического.

Статическим режимом работы прибора называется такой режим, при котором выходной сигнал прибора постоянен во времени, а динамическим режимом – режим, при котором выходной сигнал меняется.

При статическом режиме работы функцию преобразования можно представить в виде функциональной зависимости, связывающий входной и выходной сигналы, а при динамическом режиме – дифференциальным уравнением.

При статическом режиме работы функцию преобразования еще называют статической или градуировочной характеристикой прибора.

Качество продукции – совокупность свойств продукции, обуславливающих ее пригодность удовлетворять определенные потребности в соответствии с ее назначением (ГОСТ 15467-75). Из этого определения следует, что не все свойства изделия входят в понятие качества, а только те, которые определяются потребностью общества в соответствии с назначением этого изделия.

Понятие «система» как и ряд других системных понятий, в литературе истолковывается неоднозначно. Наиболее полной представляется следующая формулировка:

1. система представляет собой целостный комплекс взаимосвязанных элементов.

2. она образует особое единство со средой.

3. как правило, любая исследуемая система представляет собой элемент системы более высокого порядка.

4. элементы любой исследуемой системы, в свою очередь, обычно выступают как системы более низкого порядка. Характерной чертой является наличие у всей системы какой-либо общей цели общего назначения.

Измерительная информационная система, которая в соответствии с ГОСТ 8.437-81 представляет собой совокупность функционально объединенных измерительных, вычислительных и других вспомогательных технических средств для получения измерительной информации, ее преобразования, обработки с целью представления потребителю (в том числе для АСУ) в требуемом виде, либо автоматического осуществления логических функций контроля, диагностики, идентификации.

В зависимости от выполняемых функций ИИС реализуется в виде измерительных систем (ИС), систем автоматического контроля (САК), технической диагностики (СТД), распознавания (идентификации)

образцов (СРО). В СТД, САК и СРО измерительная система входит как подсистема.

Информация, характеризующая объект измерения, воспринимается ИИС, обрабатывается по некоторому алгоритму, в результате чего на выходе системы получается количественная информация (и только информация), отражающая состояние данного объекта.

При проектировании и создании ИИС большое внимание уделяется проблеме повышения достоверности выходной информации и снижения вероятностей возникновения (или даже исключения) нежелательных ситуации. Это можно достичь, если на ИИС возложить функции самоконтроля, в результате чего ИИС способна осуществить текстовые проверки работоспособности средств системы и тем самым, сохранять метрологические характеристики тракта прохождения входных сигналов, поверять достоверность результатов обработки информации, полученной посредством измерительных преобразований и ее представления.

Все более широкое развитие получают системы, предусматривающие автоматическую коррекцию своих характеристик – самонастраивающаяся (самокорректирующиеся) системы.

 

Обобщенная структура ИИС.

 

 

Перечисленные группы ИИС, как правило используют цепочку из аппаратных модулей (измерительных, управляющих, интерфейсных, обрабатывающих).Для объяснения назначения функциональных частей и элементов, входящих в состав ИИС, для описания их взаимосвязи в системе рассмотрим обобщенную структуру ИИС.

 

1 – первичные преобразователи;

2 – преобразователи (промежуточные);

3 – АЦП;

4 – цифровые устройства;

5 – устройства вывода регистрации и отображения информации;

6 – ЦАП;

7 – интерфейсные узлы;

8 – система шин;

9 – устройства управления;

10 – исполнительные устройства;

ИФУ – интерфейсные устройства;

ОИ – объект исследования.

Т.О. обобщенная структурная схема ИИС содержит:

· множество различных первичных измерительных преобразователей 1, размещенных в определенных точках пространства стационарно или перемещающихся в пространстве по определенному закону;

· множество измерительных преобразователей 2, которое может состоять из преобразователей аналоговых сигналов, коммутаторов аналоговых сигналов, аналоговых вычислительных устройств, аналоговых устройств памяти, устройств сравнения аналоговых сигналов, аналоговых каналов связи, аналоговых показывающих и регистрирующих измерительных приборов;

· группу аналогово-цифровых преобразователей3, а также аналоговых устройств допускового контроля;

· множество цифровых устройств 4, содержащие формирователи импульсов, преобразователи кодов, коммутаторы, специализированные цифровые вычислительные устройства, устройства памяти, устройства сравнения кодов, каналы цифровой связи, универсальные программируемые вычислительные устройства – микропроцессоры, микро ЭВМ и др.

· группу цифровых устройств вывода, отображения и регистрации 5, которая содержит формирователи кодоимпульсных сигналов, печатающие устройства записи на перфоленту и считывание с перфоленты, накопители информации на магнитной ленте, на магнитных дисках и на гибких магнитных дисках, дисплеи, сигнализаторы, цифровые индикаторы;

· множество цифроаналоговых преобразователей 6;

Указанные функциональные блоки соединяются между собой через стандартные интерфейсы или устанавливаются жесткие связи. Под интерфейсом (сопряжением) понимают совокупность схемотехнических средств, обеспечивающих непосредственное взаимодействие составных элементов ИИС (ГОСТ 15971-74). Устройства подсоединяются к системе сопряжения и объединяются в ИИС по определенным правилам, относящим к физической реализации сопряжений.

Интерфейсные устройства (ИФУ), содержащие подсистемы шин 8, интерфейсные узлы 7 и интерфейсные устройства аналоговых блоков, служащие главным образом для приема командных сигналов и передачи информации о состоянии блоков. Например, через интерфейсные устройства могут передаваться команды на изменение режима работы, на подключение заданной цепи с помощью коммутатора;

· Устройства управления 9, формирующие командную информацию, принимает информацию от функциональных блоков и подает команды на исполнительные устройства 10 для формирования воздействия на объект исследования (ОИ).

 

<== предыдущая лекция | следующая лекция ==>
 | Общие сведения о проектировании
Поделиться с друзьями:


Дата добавления: 2014-01-05; Просмотров: 659; Нарушение авторских прав?; Мы поможем в написании вашей работы!


Нам важно ваше мнение! Был ли полезен опубликованный материал? Да | Нет



studopedia.su - Студопедия (2013 - 2026) год. Все материалы представленные на сайте исключительно с целью ознакомления читателями и не преследуют коммерческих целей или нарушение авторских прав! Последнее добавление




Генерация страницы за: 0.013 сек.