Студопедия

КАТЕГОРИИ:


Архитектура-(3434)Астрономия-(809)Биология-(7483)Биотехнологии-(1457)Военное дело-(14632)Высокие технологии-(1363)География-(913)Геология-(1438)Государство-(451)Демография-(1065)Дом-(47672)Журналистика и СМИ-(912)Изобретательство-(14524)Иностранные языки-(4268)Информатика-(17799)Искусство-(1338)История-(13644)Компьютеры-(11121)Косметика-(55)Кулинария-(373)Культура-(8427)Лингвистика-(374)Литература-(1642)Маркетинг-(23702)Математика-(16968)Машиностроение-(1700)Медицина-(12668)Менеджмент-(24684)Механика-(15423)Науковедение-(506)Образование-(11852)Охрана труда-(3308)Педагогика-(5571)Полиграфия-(1312)Политика-(7869)Право-(5454)Приборостроение-(1369)Программирование-(2801)Производство-(97182)Промышленность-(8706)Психология-(18388)Религия-(3217)Связь-(10668)Сельское хозяйство-(299)Социология-(6455)Спорт-(42831)Строительство-(4793)Торговля-(5050)Транспорт-(2929)Туризм-(1568)Физика-(3942)Философия-(17015)Финансы-(26596)Химия-(22929)Экология-(12095)Экономика-(9961)Электроника-(8441)Электротехника-(4623)Энергетика-(12629)Юриспруденция-(1492)Ядерная техника-(1748)

Поток жидкости

Поток жидкости представляет собой совокупность элементарных струек жидкости. По этой причине основные кинематические характеристики потока во многом совпадают по своему смыслу с аналогичными характеристиками для элементарной струйки жидко­сти. Тем не менее, различия всё же имеются. Так в отличие от элементарной струйки, ко­торая отделена от остальной жидкости поверхностью трубки тока, образованной линиями тока, поток жидкости имеет реальные границы в виде твёрдой среды, газообразной или жидкой сред. По типу границ потоки можно разделить на следующие виды:

напорные, когда поток ограничен твёрдой средой по всему периметру сече­ния,

безнапорные, когда часть сечения потока представляет собой свободную по­верхность жидкости,

гидравлические струи, когда поток ограничен только жидкой или газообраз­ной средой. Если гидравлическая струя ограничена со всех сторон жидко­стью, то она называется затопленной гидравлической струёй, если гидравли­ческая струя ограничена со всех сторон газовой средой, то такая струя назы­вается незатопленной.

Поперечное сечение потока, расположенное нормально к линиям тока, называется живым сечением потока. Площадь живого сечения потока определяется соотношением:

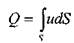
Расход жидкости в потоке определяется как отношение объёма жидкости протекаю­щее через живое сечение потока к интервалу времени или определяется следующим соот­ношением:

Кроме известной размерности расхода в системе СИ м3 имеется целый набор вне­системных единиц для измерения расхода жидкости в потоке: м3/сут, л/чс, л/с, и др.

Средней скоростью в живом сечении потока называ­ется величина:

Смоченным периметром живого сечения потока П называется часть контура живого сечения потока, которая ограничена твёрдой средой. (На рисунке смоченный пери­метр выделен жирной линией).

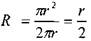
Отношение площади живого сечения потока к длине

смоченного периметра называется гидравлическим радиусом живого сечения.

Величина гидравлического радиуса круглого сечения радиуса г:

равна половине величины его геометрического радиуса. Величина гидравлического радиуса трубы квадратного сечения со стороной а, (полностью заполненной жидкостью)

равна

<== предыдущая лекция | следующая лекция ==>
Элементы кинематики вихревого движения жидкости | Динамика идеальной жидкости
Поделиться с друзьями:


Дата добавления: 2014-01-05; Просмотров: 294; Нарушение авторских прав?; Мы поможем в написании вашей работы!


Нам важно ваше мнение! Был ли полезен опубликованный материал? Да | Нет



studopedia.su - Студопедия (2013 - 2026) год. Все материалы представленные на сайте исключительно с целью ознакомления читателями и не преследуют коммерческих целей или нарушение авторских прав! Последнее добавление




Генерация страницы за: 0.008 сек.