Студопедия

КАТЕГОРИИ:


Архитектура-(3434)Астрономия-(809)Биология-(7483)Биотехнологии-(1457)Военное дело-(14632)Высокие технологии-(1363)География-(913)Геология-(1438)Государство-(451)Демография-(1065)Дом-(47672)Журналистика и СМИ-(912)Изобретательство-(14524)Иностранные языки-(4268)Информатика-(17799)Искусство-(1338)История-(13644)Компьютеры-(11121)Косметика-(55)Кулинария-(373)Культура-(8427)Лингвистика-(374)Литература-(1642)Маркетинг-(23702)Математика-(16968)Машиностроение-(1700)Медицина-(12668)Менеджмент-(24684)Механика-(15423)Науковедение-(506)Образование-(11852)Охрана труда-(3308)Педагогика-(5571)Полиграфия-(1312)Политика-(7869)Право-(5454)Приборостроение-(1369)Программирование-(2801)Производство-(97182)Промышленность-(8706)Психология-(18388)Религия-(3217)Связь-(10668)Сельское хозяйство-(299)Социология-(6455)Спорт-(42831)Строительство-(4793)Торговля-(5050)Транспорт-(2929)Туризм-(1568)Физика-(3942)Философия-(17015)Финансы-(26596)Химия-(22929)Экология-(12095)Экономика-(9961)Электроника-(8441)Электротехника-(4623)Энергетика-(12629)Юриспруденция-(1492)Ядерная техника-(1748)

Радіоактивність. Основний закон радіоактивного перетворення атомних ядер

Радіоактивністю називають самовільне (спонтанне) перетворення ядер нестійких ізотопів одних елементів у ядра ізотопів інших елементів, що зумовлено внутрішніми причинами та супроводжується -, -,
-випромінюванням, а також інших частинок (нейтронів, протонів).

До радіоактивних процесів належать:

1. -розпад;

2. -розпад;

3. -випромінювання;

4. спонтанний поділ тяжких ядер;

5. протонна радіоактивність.

Радіоактивність, яка спостерігається у ядер, що існують у природних умовах, називається природною. Радіоактивність ядер, які отримані за допомогою ядерних реакцій, називається штучною. Між природною та штучною радіоактивністю немає принципової різниці.

Природні радіоактивні перетворення ядер, які відбуваються самочинно, називаються радіоактивним розпадом. Ядро, що виникло внаслідок розпаду, називають дочірним ядром, а ядро, яке розпалось, – материнським.

Теорія, яка пояснює це явище, ґрунтується на припущенні, що радіоактивний розпад є спонтанним процесом.

Численні досліди показали, що на швидкість радіоактивного розпаду не впливають ніякі зовнішні зміни температури, тиску, наявність електричних і магнітних полів, вид хімічної сполуки, її агрегатний стан.

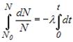
Внаслідок самочинності цього процесу природно припустити, що кількість ядер , які розпадаються за інтервал часу від до , пропорційне проміжку часу і кількості наявних ядер, які ще не розпались на момент часу :

Тут стала величина, яку називають сталою розпаду, або радіоактивною сталою. Знак “–“ вказує на те, що загальна кількість радіоактивних ядер під час розпаду зменшується.

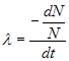
Стала розпаду

дорівнює відносному зменшенню кількості ядер, які зазнають розпаду, за одиницю часу. Стала визначає швидкість радіоактивного розпаду.

Відокремивши в рівнянні змінні та проінтегрувавши, отримуємо:

;

.

Звідси

.

Цей вираз виражає закон радіоактивного розпаду, згідно з яким кількість атомів, які не розпались, зменшується за експонентою. У цій формулі початкова кількість ядер, які не розпались (в момент часу ), кількість ядер, які не розпались в момент часу

Кількість ядер, які розпались за час , визначається виразом

.

Для характеристики стійкості ядер відносно розпаду, для оцінки тривалості життя певного радіоактивного ізотопу вводять поняття про період піврозпаду . Так називається час, протягом якого початкова кількість ядер певної речовини розпадається наполовину.

З визначення випливає

.

Звідси отримуємо

Періоди піврозпаду різних природних ізотопів досить відрізняються один від одного. Так, років для і для

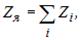
Кількість атомів, що розпадається за одну секунду, називається активністю елемента. Активність описують такими формулами:

Отже, активність обернено пропорційна до періоду піврозпаду і зменшується з часом за експоненціальним законом.

Радіоактивний розпад записують у вигляді рівняння

де материнське радіоактивне ядро, дочірнє ядро (продукт розпаду), – частинка, яка випускається.

При радіоактивному розпаді справджується закон збереження енергії, згідно з яким повна енергія материнського ядра дорівнює повній енергії продуктів розпаду:

тут повна енергія розпаду, яка дорівнює зміні енергії спокою материнського ядра, що перетворюється в кінетичну енергію дочірнього ядра, вилітаючої частинки і -квантів.

При радіоактивному розпаді ядер виконується закон збереження електричних зарядів:

де заряд ядра, яке зазнало розпаду; заряди ядер і частинок, що виникли внаслідок розпаду.

Крім того, виконується правило збереження масових чисел:

Ядро, яке зазнало -розпаду, зміщується на два місця лівіше в періодичній системі елементів. Вилітання -частинки супроводжується зменшенням масового числа на 4 одиниці. При -розпаді позитивний заряд ядра збільшується на одну одиницю і ядро зміщується на одне місце правіше в періодичній системі. При цьому масове число ядра не змінюється.

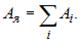
Ядра, які виникають внаслідок радіоактивного розпаду, також можуть бути радіоактивними. Послідовність такого процесу приводить до виникнення ланцюжка радіоактивних перетворень, який закінчується стабільним елементом. Сукупність елементів, яка утворює такий ланцюжок, називається радіоактивним сімейством.

. Ядерні реакції

 

1. Загальні уявлення. Під час взаємодії ядра з частинкою відбувається ядерна реакція, результатом якої може бути новоутворене ядро і нова частинка. Записується рівняння реакції у вигляді

,

або

Y(a,b)X,

де - материнське ядро, - дочірнє ядро, a та b - легкі частинки в якості яких можуть бути a-частинка, протон - р, нейтрон-n, дейтрон-d, -фотон. При ядерних реакціях виконуються закони збереження заряду, масових чисел, енергії, імпульсу та моменту імпульсу. Ядерні реакції можуть бути екзотермічними (виділяють енергію) та ендотермічними (проходять із поглинанням енергії). Наприклад, до екзотермічних відносяться такі реакції

,

,

<== предыдущая лекция | следующая лекция ==>
Энергии связи и массы ядер | А до ендотермічних такі
Поделиться с друзьями:


Дата добавления: 2014-01-05; Просмотров: 1368; Нарушение авторских прав?; Мы поможем в написании вашей работы!


Нам важно ваше мнение! Был ли полезен опубликованный материал? Да | Нет



studopedia.su - Студопедия (2013 - 2025) год. Все материалы представленные на сайте исключительно с целью ознакомления читателями и не преследуют коммерческих целей или нарушение авторских прав! Последнее добавление




Генерация страницы за: 0.009 сек.