Студопедия

КАТЕГОРИИ:


Архитектура-(3434)Астрономия-(809)Биология-(7483)Биотехнологии-(1457)Военное дело-(14632)Высокие технологии-(1363)География-(913)Геология-(1438)Государство-(451)Демография-(1065)Дом-(47672)Журналистика и СМИ-(912)Изобретательство-(14524)Иностранные языки-(4268)Информатика-(17799)Искусство-(1338)История-(13644)Компьютеры-(11121)Косметика-(55)Кулинария-(373)Культура-(8427)Лингвистика-(374)Литература-(1642)Маркетинг-(23702)Математика-(16968)Машиностроение-(1700)Медицина-(12668)Менеджмент-(24684)Механика-(15423)Науковедение-(506)Образование-(11852)Охрана труда-(3308)Педагогика-(5571)Полиграфия-(1312)Политика-(7869)Право-(5454)Приборостроение-(1369)Программирование-(2801)Производство-(97182)Промышленность-(8706)Психология-(18388)Религия-(3217)Связь-(10668)Сельское хозяйство-(299)Социология-(6455)Спорт-(42831)Строительство-(4793)Торговля-(5050)Транспорт-(2929)Туризм-(1568)Физика-(3942)Философия-(17015)Финансы-(26596)Химия-(22929)Экология-(12095)Экономика-(9961)Электроника-(8441)Электротехника-(4623)Энергетика-(12629)Юриспруденция-(1492)Ядерная техника-(1748)

Решение. 1. Обозначим фигуры номерами и выпишем из таблиц необхо­димые данные:

1. Обозначим фигуры номерами и выпишем из таблиц необхо­димые данные:

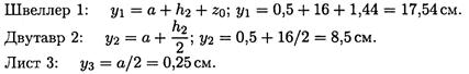
1 — швеллер № 10 (ГОСТ 8240-89); высота h = 100 мм; ширина полки b = 46 мм; площадь сечения А1 = 10,9 см2;

2 — двутавр № 16 (ГОСТ 8239-89); высота 160 мм; ширина полки 81 мм; площадь сечения А2 — 20,2 см2;

3 — лист 5x100; толщина 5 мм; ширина 100мм; площадь сечения A3 = 0,5 • 10 = 5 см2.

 

2. Координаты центров тяжести каждой фигуры можно опреде­лить по чертежу.

Составное сечение симметрично, поэтому центр тяжести нахо­дится на оси симметрии и координата х С = 0.

 

3. Определение центра тяжести составного сечения:

 

Пример 4. Определить координаты центра тяжести сечения, по­казанного на рис. 8, а. Сечение состоит из двух уголков 56x4 и швеллера № 18. Выполнить проверку правильности определения положения центра тяжести. Указать его положение на сечении.

 

<== предыдущая лекция | следующая лекция ==>
Решение. Так как ферма симметричная, то ее центр тяжести лежит на оси симметрии DF | Решение. 1. Разобьем сечение на профили проката: два уголка 56 х 4 и швеллер № 18
Поделиться с друзьями:


Дата добавления: 2014-01-05; Просмотров: 879; Нарушение авторских прав?; Мы поможем в написании вашей работы!


Нам важно ваше мнение! Был ли полезен опубликованный материал? Да | Нет



studopedia.su - Студопедия (2013 - 2026) год. Все материалы представленные на сайте исключительно с целью ознакомления читателями и не преследуют коммерческих целей или нарушение авторских прав! Последнее добавление




Генерация страницы за: 0.011 сек.