Студопедия

КАТЕГОРИИ:


Архитектура-(3434)Астрономия-(809)Биология-(7483)Биотехнологии-(1457)Военное дело-(14632)Высокие технологии-(1363)География-(913)Геология-(1438)Государство-(451)Демография-(1065)Дом-(47672)Журналистика и СМИ-(912)Изобретательство-(14524)Иностранные языки-(4268)Информатика-(17799)Искусство-(1338)История-(13644)Компьютеры-(11121)Косметика-(55)Кулинария-(373)Культура-(8427)Лингвистика-(374)Литература-(1642)Маркетинг-(23702)Математика-(16968)Машиностроение-(1700)Медицина-(12668)Менеджмент-(24684)Механика-(15423)Науковедение-(506)Образование-(11852)Охрана труда-(3308)Педагогика-(5571)Полиграфия-(1312)Политика-(7869)Право-(5454)Приборостроение-(1369)Программирование-(2801)Производство-(97182)Промышленность-(8706)Психология-(18388)Религия-(3217)Связь-(10668)Сельское хозяйство-(299)Социология-(6455)Спорт-(42831)Строительство-(4793)Торговля-(5050)Транспорт-(2929)Туризм-(1568)Физика-(3942)Философия-(17015)Финансы-(26596)Химия-(22929)Экология-(12095)Экономика-(9961)Электроника-(8441)Электротехника-(4623)Энергетика-(12629)Юриспруденция-(1492)Ядерная техника-(1748)

Взаимодействие рентгеновского излучения с веществом. Ослабление рентгеновского излучения




Рассмотрим некоторые особенности взаимодействия рентгеновского излучения с веществом.

Если имеются рентгеновские кванты относительно небольшой энергии, недостаточной для ионизации атома вещества, то проис­ходит лишь изменение направления распространения квантов без изменения частоты (когерентное рассеяние).

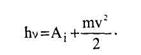
Если энергия рентгеновского кванта больше работы ионизации атома А,, может возникнуть рентгеновский фотоэффект - поглощение рентгено­вского кванта атомом, сопровождающееся «вырыванием» из атома какого-либо электрона. При этом выполняется соотношение:

Последнее слагаемое есть кинетическая энергия вылетевшего электрона.

Если энергия рентгеновского кванта больше работы ионизации атома, может возникнуть и другой эффект, носящий название эф­фекта Комптона. Это взаимодействие квантов рентгеновского из­лучения (или у-излучения) со слабо связанными с ядрами электро­нами внешних орбиталей или со свободными электронами. В дополнение к тому, что происходит при рентгеновском фотоэф­фекте, в данном процессе появляется вторичный рентгеновский квант с частотой, естественно, меньшей, чем у внешнего кванта, взаимодействующего с атомом. Это видно из соотношения, выра­жающего закон сохранения энергии:

где hv — энергия этого вторичного фотона.

Эти эффекты обусловливают ослабление интенсивности рентге­новского излучения в веществе. В простейшем случае закон ослаб­ления имеет вид:

где 10 - интенсивность рентгеновского излучения, падающего на вещество; I, - интенсивность рентгеновского излучения, прошед­шего в веществе слой длины 1; ц - линейный коэффициент ослаб­ления рентгеновского излучения веществом (см. рис. VIII.4, а). Со­ответствующий график приведен на рис. VIII.4, б.

На практике часто используется величина слоя половинного ослабления d0 5 — расстояния, после прохождения которого интен­сивность рентгеновского излучения уменьшается в 2 раза. Исполь­зуя закон ослабления, легко найти связь между толщиной слоя

половинного ослабления d0 5 и линейным коэффициентом ослаб­ления ц:



 


Коэффициент ослабления играет важную роль в диагностике за­болеваний различных внутренних органов при помощи просвечи­вания тела рентгеновскими лучами (рентгенодиагностика). При этом важную роль играет зависимость линейного коэффициента ослаб­ления от свойств тканей и вытекающее из него различное поглоще­ние рентгеновского излучения различными тканями и органами тела. В большинстве случаев этот коэффициент прямо пропорционален средней плотности ткани р, третьей степени длины волны рентге­новского излучения X и, что самое для нас важное, третьей степени порядкового номера атома вещества, составляющего ткань, — Z:

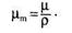
Наряду с линейным вводят понятие массового коэффициента ослабления:

Если принять различие параметра Z для костных и мягких тка­ней равным 2 (ZKOCT~2ZMSirK), то для соотношения массовых коэффи­циентов ослабления получим:

Следовательно, кости значительно сильнее ослабляют рентгено­вское излучение, чем мягкие ткани, поэтому можно получить кон­трастную картину рентгеновского изображения: интенсивность рен­тгеновского излучения, прошедшего некоторый слой мягкой ткани (и падающего на фотопленку), будет гораздо большей, чем интен­сивность излучения, прошедшего такой же толщины слой костной ткани На этом основаны рентгеноскопия (наблюдение органов и тканей в проходящем рентгеновском излучении с помощью флюо­ресцирующего экрана) и рентгенография (получение изображения внутренних органов, просвечиваемых рентгеновскими лучами, на фотопленке, покрытой чувствительной эмульсией). Вследствие сильного поглощения кости на негативном изображении будут очень светлы­ми, а мягкие ткани - более темными.

 




Поделиться с друзьями:


Дата добавления: 2014-01-05; Просмотров: 1609; Нарушение авторских прав?; Мы поможем в написании вашей работы!


Нам важно ваше мнение! Был ли полезен опубликованный материал? Да | Нет



studopedia.su - Студопедия (2013 - 2025) год. Все материалы представленные на сайте исключительно с целью ознакомления читателями и не преследуют коммерческих целей или нарушение авторских прав! Последнее добавление




Генерация страницы за: 0.007 сек.