Студопедия

КАТЕГОРИИ:


Архитектура-(3434)Астрономия-(809)Биология-(7483)Биотехнологии-(1457)Военное дело-(14632)Высокие технологии-(1363)География-(913)Геология-(1438)Государство-(451)Демография-(1065)Дом-(47672)Журналистика и СМИ-(912)Изобретательство-(14524)Иностранные языки-(4268)Информатика-(17799)Искусство-(1338)История-(13644)Компьютеры-(11121)Косметика-(55)Кулинария-(373)Культура-(8427)Лингвистика-(374)Литература-(1642)Маркетинг-(23702)Математика-(16968)Машиностроение-(1700)Медицина-(12668)Менеджмент-(24684)Механика-(15423)Науковедение-(506)Образование-(11852)Охрана труда-(3308)Педагогика-(5571)Полиграфия-(1312)Политика-(7869)Право-(5454)Приборостроение-(1369)Программирование-(2801)Производство-(97182)Промышленность-(8706)Психология-(18388)Религия-(3217)Связь-(10668)Сельское хозяйство-(299)Социология-(6455)Спорт-(42831)Строительство-(4793)Торговля-(5050)Транспорт-(2929)Туризм-(1568)Физика-(3942)Философия-(17015)Финансы-(26596)Химия-(22929)Экология-(12095)Экономика-(9961)Электроника-(8441)Электротехника-(4623)Энергетика-(12629)Юриспруденция-(1492)Ядерная техника-(1748)

Ввод, вывод и обработка массива

· Если, задана размерность массива и его элементы вводятся, то говорят, что массив задан явно.

· Если элементы массива формируются на заданном интервале, т.е. заданы Xn, Xk, dX (например, -3.5≤Xi≤3.5, dxi=0.5), то говорят, что массив задан неявно.

Ввод массива,заданного явно, происходит в 2 этапа;

1. Сначала вводится размерность массива – N.

2. Затем организуется цикл для поэлементного ввода массива.

 

Элементы вводятся по порядку. В одном цикле вводится 1 элемент массива: сначала 1-ый, затем 2-ой ….N-ый. Т.е. цикл повторяеется N раз. Пусть i –порядковый номер массива. Тогда в i –м цикле вводится i –ый єлемент (рис. 3.33). Вывод массива происходит также поэлементно, анологично вводу - в цикле.

 

       
   
 
 
Рис. 3.33. Ввод массива

 


Рассмотрим пример поэлементного формирования нового массива по вводимому исходному массиву.

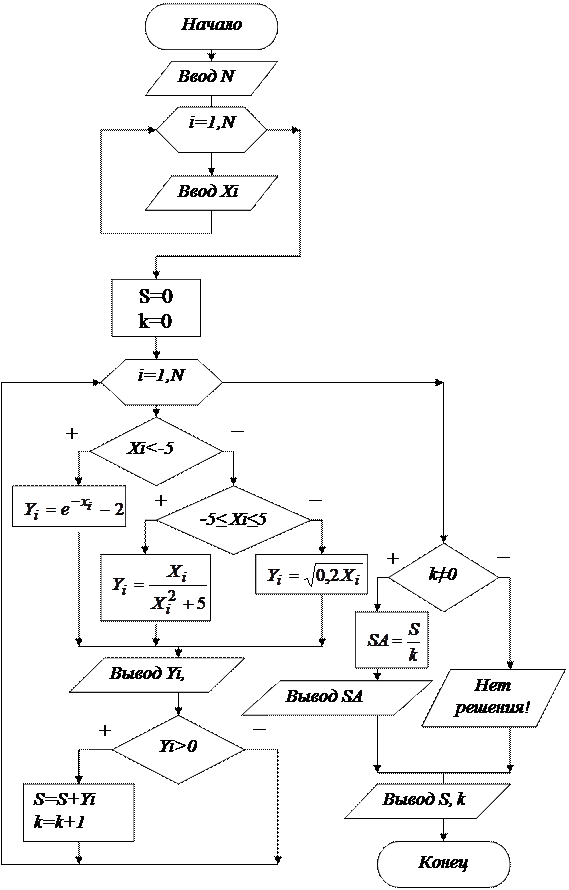
ПРИМЕР 3.21. Задан массив X размерностью N. Сформировать массив Y, если каждый его элемент вычисляется по формуле:

 

где Xi – i-ый элемент заданного массива X, а

Yi – соответствующий элемент формируемого массива Y.

Определить среденее арифметическое положительных элементов массива Y.

Алгоритм приведен на рис. 3.34.

Сначала вводится размерность массива и его элементы. Затем происходит очистка счетчиков. В следующем цикле происходит поєлементное формирование и взвод нового массива Y, а также накопление счетчиков S и k. После завершения цикла происходит анализ значения k: если оно отлично от 0, вычисляется Sr - среднее арифметическое положительных значений массива Y, а иначе выводится сообшение.

 

 

 
 

 


 

 
 
Рис. 3.34. Алгоритм решения примера 3.21


<== предыдущая лекция | следующая лекция ==>
Обработка одномерных массивов | Поиск максимального и минимального элементов массива
Поделиться с друзьями:


Дата добавления: 2014-01-05; Просмотров: 605; Нарушение авторских прав?; Мы поможем в написании вашей работы!


Нам важно ваше мнение! Был ли полезен опубликованный материал? Да | Нет



studopedia.su - Студопедия (2013 - 2026) год. Все материалы представленные на сайте исключительно с целью ознакомления читателями и не преследуют коммерческих целей или нарушение авторских прав! Последнее добавление




Генерация страницы за: 0.015 сек.